Logo Header
  1. Môn Toán
  2. đề khảo sát toán 9 năm 2024 – 2025 phòng gd&đt thạch thất – hà nội

đề khảo sát toán 9 năm 2024 – 2025 phòng gd&đt thạch thất – hà nội

Bạn đang xem tài liệu đề khảo sát toán 9 năm 2024 – 2025 phòng gd&đt thạch thất – hà nội được biên soạn theo soạn toán mới nhất. Tài liệu này hệ thống hóa kiến thức một cách khoa học, phù hợp cho mọi lộ trình học từ cơ bản đến nâng cao. Hãy khai thác triệt để nội dung để bứt phá điểm số và tự tin chinh phục mọi kỳ thi nhé!

giaibaitoan.com xin giới thiệu đến quý thầy cô giáo và các em học sinh lớp 9 đề khảo sát chất lượng môn Toán 9 năm học 2024 – 2025 do Phòng Giáo dục và Đào tạo UBND huyện Thạch Thất, thành phố Hà Nội tổ chức. Đề thi được cung cấp kèm theo đáp án chi tiết, lời giải bài toán và hướng dẫn chấm điểm, hỗ trợ tối đa cho quá trình ôn tập và tự học.

Đề khảo sát Toán 9 Thạch Thất – Hà Nội năm nay được đánh giá là có độ khó phù hợp, bám sát chương trình học lớp 9, đồng thời có tính phân loại học sinh rõ ràng. Các câu hỏi không chỉ kiểm tra kiến thức cơ bản mà còn đòi hỏi học sinh phải vận dụng linh hoạt các kỹ năng giải quyết vấn đề, đặc biệt là trong bối cảnh thực tế.

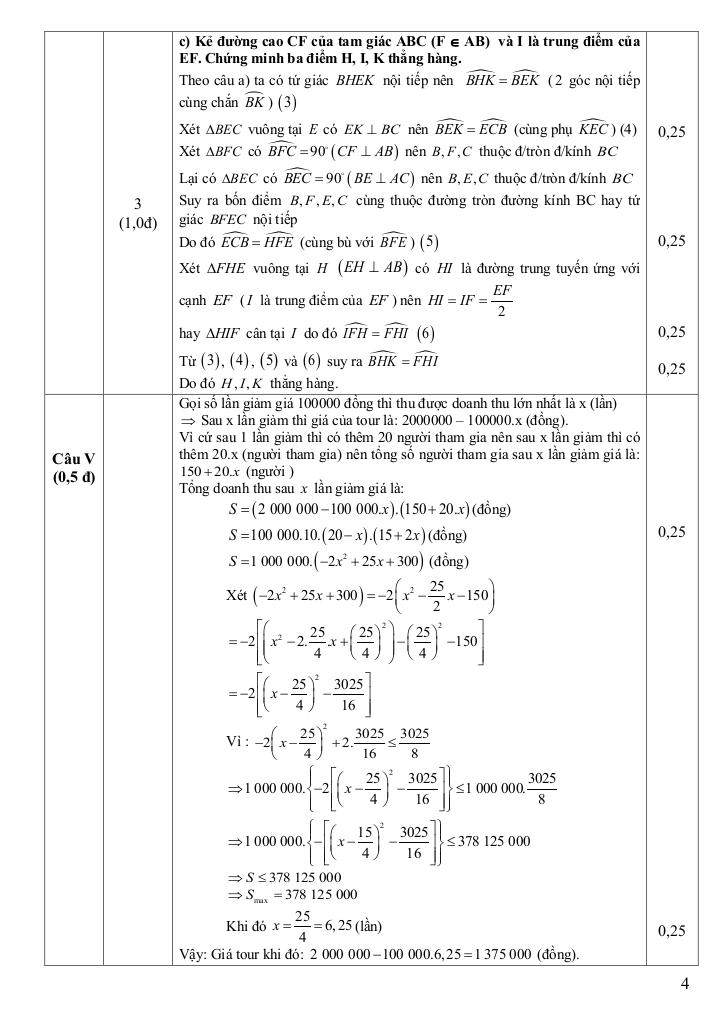
Cụ thể, đề thi bao gồm các dạng bài tập sau:

  1. Bài toán thực tế về hàm số bậc nhất: Bài toán về công ty du lịch dự định tổ chức tour xuyên Việt, yêu cầu học sinh xây dựng hàm số biểu diễn doanh thu theo giá tour và tìm giá trị lớn nhất của hàm số đó. Đây là một dạng bài toán quen thuộc nhưng đòi hỏi học sinh phải nắm vững kiến thức về hàm số, đặc biệt là cách xác định đỉnh của parabol.
  2. Bài toán về hệ phương trình: Bài toán về siêu thị giảm giá hai mặt hàng A và B, yêu cầu học sinh thiết lập và giải hệ phương trình để tìm giá niêm yết của mỗi mặt hàng. Bài toán này kiểm tra khả năng đọc hiểu đề bài, chuyển đổi bài toán thực tế thành bài toán toán học và giải hệ phương trình một cách chính xác.
  3. Bài toán thống kê: Bài toán về ngân hàng thống kê số tiền vay của các hộ gia đình, yêu cầu học sinh lập bảng tần số tương đối ghép nhóm. Đây là một dạng bài toán quan trọng trong chương trình thống kê, giúp học sinh hiểu rõ hơn về cách biểu diễn và phân tích dữ liệu.

Nhận xét chung:

  • Đề thi có cấu trúc rõ ràng, các câu hỏi được sắp xếp theo mức độ khó tăng dần.
  • Các bài toán được thiết kế gần gũi với thực tế, giúp học sinh thấy được ứng dụng của môn Toán trong cuộc sống.
  • Đáp án và lời giải chi tiết giúp học sinh tự đánh giá năng lực và rút kinh nghiệm cho các bài thi sắp tới.

File WORD (dành cho quý thầy, cô): TẢI XUỐNG

giaibaitoan.com hy vọng đề thi này sẽ là tài liệu hữu ích cho quý thầy cô và các em học sinh trong quá trình ôn tập và chuẩn bị cho các kỳ thi sắp tới.

Chinh phục các kỳ thi Toán lớp 9 quan trọng với nội dung đề khảo sát toán 9 năm 2024 – 2025 phòng gd&đt thạch thất – hà nội trong chuyên mục giải sgk toán 9 trên nền tảng soạn toán! Bộ bài tập toán trung học cơ sở, được biên soạn chuyên sâu, bám sát cấu trúc đề thi và chương trình sách giáo khoa hiện hành, cam kết tối ưu hóa toàn diện lộ trình ôn luyện. Qua đó, học sinh không chỉ củng cố vững chắc kiến thức mà còn thuần thục các dạng bài thi, tự tin đạt điểm cao, nhờ phương pháp tiếp cận trực quan, khoa học và mang lại hiệu quả học tập vượt trội.
images-post/de-khao-sat-toan-9-nam-2024-2025-phong-gd-dt-thach-that-ha-noi-1.jpgimages-post/de-khao-sat-toan-9-nam-2024-2025-phong-gd-dt-thach-that-ha-noi-2.jpgimages-post/de-khao-sat-toan-9-nam-2024-2025-phong-gd-dt-thach-that-ha-noi-3.jpgimages-post/de-khao-sat-toan-9-nam-2024-2025-phong-gd-dt-thach-that-ha-noi-4.jpgimages-post/de-khao-sat-toan-9-nam-2024-2025-phong-gd-dt-thach-that-ha-noi-5.jpgimages-post/de-khao-sat-toan-9-nam-2024-2025-phong-gd-dt-thach-that-ha-noi-6.jpgimages-post/de-khao-sat-toan-9-nam-2024-2025-phong-gd-dt-thach-that-ha-noi-7.jpgimages-post/de-khao-sat-toan-9-nam-2024-2025-phong-gd-dt-thach-that-ha-noi-8.jpg

File đề khảo sát toán 9 năm 2024 – 2025 phòng gd&đt thạch thất – hà nội PDF Chi Tiết