Phân tích Đề Kiểm Tra 1 Tiết Đại Số 10 – Chương Bất Đẳng Thức và Bất Phương Trình (Trường THPT Trần Cao Vân, Khánh Hòa – Năm học 2017-2018, Mã đề 011)
Đề kiểm tra 1 tiết Đại số 10 chương 4 của trường THPT Trần Cao Vân, Khánh Hòa (năm học 2017-2018, mã đề 011) là một đề thi trắc nghiệm với cấu trúc khá phổ biến, bao gồm 24 câu hỏi, được thiết kế trong thời gian làm bài 45 phút. Đề thi tập trung đánh giá kiến thức và kỹ năng của học sinh về chủ đề bất đẳng thức và bất phương trình – một trong những nội dung trọng tâm của chương trình Đại số 10. Điểm đáng chú ý là đề thi được cung cấp kèm đáp án, tạo điều kiện thuận lợi cho việc tự học, ôn tập và đánh giá kết quả của học sinh.
Cấu trúc đề thi trắc nghiệm đòi hỏi học sinh không chỉ nắm vững lý thuyết mà còn cần có khả năng vận dụng linh hoạt các kiến thức đã học để giải quyết các bài toán một cách nhanh chóng và chính xác. Việc lựa chọn đáp án đúng trong thời gian giới hạn đòi hỏi học sinh phải có tư duy logic, kỹ năng loại trừ và khả năng tính toán nhanh nhạy.
Dưới đây là phân tích chi tiết hơn về một số câu hỏi trích dẫn từ đề thi:
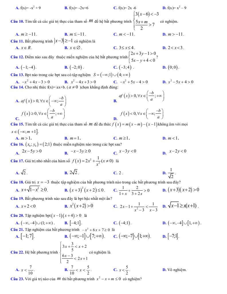
Câu hỏi yêu cầu xác định điểm thuộc miền nghiệm của hệ bất phương trình:
2x + 3y – 1 > 0
5x – y + 4 < 0
Đây là một dạng bài tập cơ bản, kiểm tra khả năng hiểu và vận dụng định nghĩa về miền nghiệm của hệ bất phương trình. Học sinh cần thay tọa độ các điểm đã cho vào từng bất phương trình để kiểm tra xem điểm nào thỏa mãn tất cả các bất phương trình trong hệ.
Câu hỏi yêu cầu tìm tất cả các giá trị thực của tham số m để đa thức f(x) = m(x – m) – (x – 1) không âm với mọi x ∈ (-∞; m + 1].
Đây là một bài toán nâng cao hơn, đòi hỏi học sinh phải hiểu rõ về điều kiện để một đa thức bậc hai không âm trên một khoảng xác định. Học sinh cần biến đổi đa thức về dạng chuẩn, sau đó sử dụng các điều kiện về hệ số để đảm bảo đa thức luôn không âm trên khoảng cho trước.
Câu hỏi yêu cầu tìm các giá trị dương của m để mọi x ∈ [-1; 1] đều là nghiệm của bất phương trình 3x^2 – 2(m + 5)x – m^2 + 2m + 8 ≤ 0.
Đây là một bài toán khó, đòi hỏi học sinh phải kết hợp nhiều kiến thức về bất phương trình bậc hai, điều kiện có nghiệm và tính chất của hàm số bậc hai. Học sinh cần xét dấu của tam thức bậc hai trên khoảng [-1; 1] và sử dụng các điều kiện về hệ số để đảm bảo bất phương trình luôn đúng trên khoảng này.
Đánh giá chung:
Nhìn chung, đề kiểm tra 1 tiết này có độ khó tương đối, bao gồm các câu hỏi từ cơ bản đến nâng cao, giúp đánh giá toàn diện kiến thức và kỹ năng của học sinh về chủ đề bất đẳng thức và bất phương trình. Việc có đáp án đi kèm là một lợi thế lớn, giúp học sinh tự đánh giá và cải thiện kết quả học tập của mình. Đề thi này có thể được sử dụng làm tài liệu tham khảo hữu ích cho học sinh và giáo viên trong quá trình dạy và học.



