Logo Header
  1. Môn Toán
  2. đề kiểm tra 1 tiết đại số 10 chương 4 trường thpt phú xuyên a – hà nội

đề kiểm tra 1 tiết đại số 10 chương 4 trường thpt phú xuyên a – hà nội

Bạn đang xem tài liệu đề kiểm tra 1 tiết đại số 10 chương 4 trường thpt phú xuyên a – hà nội được biên soạn theo học toán mới nhất. Tài liệu này hệ thống hóa kiến thức một cách khoa học, phù hợp cho mọi lộ trình học từ cơ bản đến nâng cao. Hãy khai thác triệt để nội dung để bứt phá điểm số và tự tin chinh phục mọi kỳ thi nhé!

giaibaitoan.com xin giới thiệu đến quý thầy cô giáo và các em học sinh đề kiểm tra 1 tiết môn Đại số 10, chương 4 của trường THPT Phú Xuyên A, Hà Nội. Đề kiểm tra tập trung vào chủ đề Bất đẳng thức và Bất phương trình – một trong những nội dung trọng tâm của chương trình học kỳ I lớp 10.

Đề thi có cấu trúc gồm 25 câu trắc nghiệm khách quan, được trình bày trên 3 trang, đòi hỏi học sinh nắm vững kiến thức lý thuyết và kỹ năng giải quyết bài tập một cách nhanh chóng và chính xác. Thời gian làm bài là 45 phút, do đó, việc rèn luyện tốc độ giải đề cũng là một yếu tố quan trọng để đạt kết quả tốt.

Đánh giá chung về đề thi:

  • Đề thi có độ khó tương đối, phân loại rõ ràng học sinh nắm vững kiến thức cơ bản và học sinh có khả năng vận dụng.
  • Các câu hỏi trắc nghiệm được xây dựng đa dạng, bao gồm các dạng bài tập về:
    • Giải bất phương trình bậc nhất một ẩn.
    • Xác định dấu của nhị thức bậc nhất.
    • Biểu diễn miền nghiệm của hệ bất phương trình trên mặt phẳng tọa độ.
    • Ứng dụng bất đẳng thức để giải quyết các bài toán thực tế (dạng này có thể xuất hiện ở các câu hỏi nâng cao).
  • Việc cung cấp đáp án đi kèm là một điểm cộng lớn, giúp học sinh tự đánh giá kết quả và rút kinh nghiệm sau khi làm bài.

Phân tích một số câu hỏi tiêu biểu:

  1. Câu hỏi về bất phương trình tương đương: "Bất phương trình nào sau đây tương đương với bất phương trình x – 3 > 0?" – Câu hỏi này kiểm tra khả năng hiểu rõ các phép biến đổi tương đương bất phương trình, như cộng hoặc trừ hai vế với cùng một số. Học sinh cần nắm vững quy tắc này để tránh sai sót.
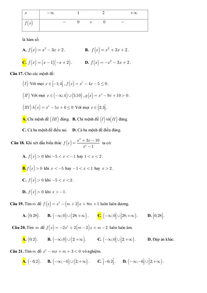
  2. Câu hỏi về dấu của nhị thức: "Nhị thức f(x) = 2x – 4 luôn âm trong khoảng nào sau đây?" – Câu hỏi này yêu cầu học sinh xác định nghiệm của nhị thức và xét dấu của nó trên các khoảng xác định. Đây là một kỹ năng quan trọng trong việc giải bất phương trình bậc nhất.
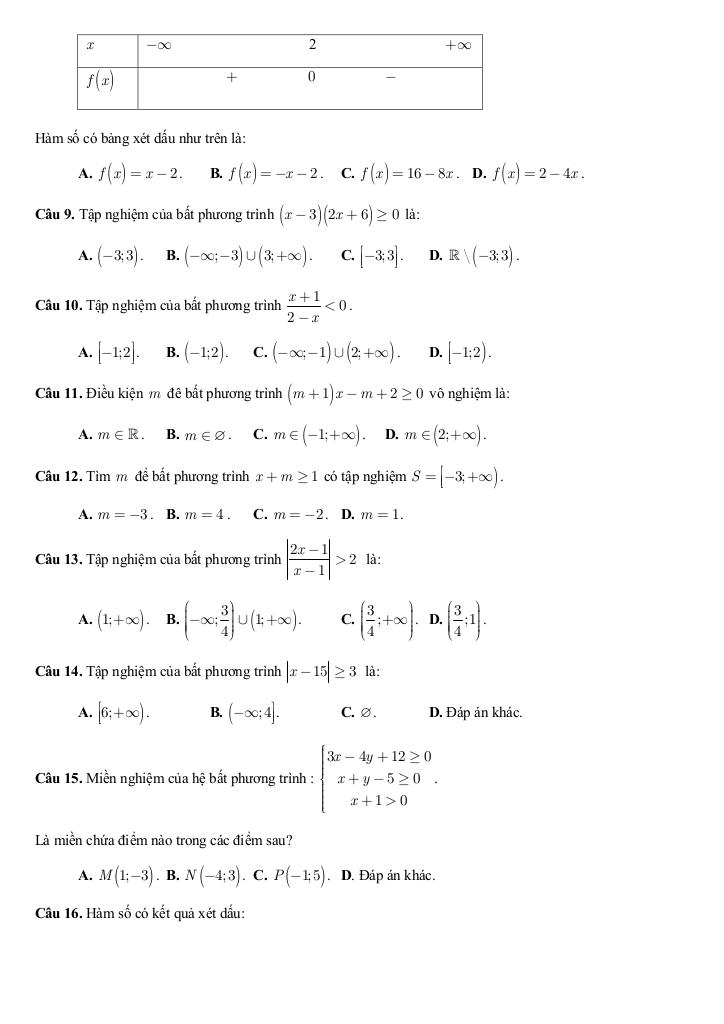
  3. Câu hỏi về miền nghiệm của hệ bất phương trình: "Miền nghiệm của hệ bất phương trình là miền chứa điểm nào trong các điểm sau?" – Câu hỏi này kiểm tra khả năng biểu diễn bất phương trình trên mặt phẳng tọa độ và xác định miền nghiệm dựa trên các điều kiện đã cho. Học sinh cần hiểu rõ cách vẽ đường thẳng biên và xác định miền nghiệm phù hợp.

Lời khuyên:

Để đạt kết quả tốt trong các bài kiểm tra về bất đẳng thức và bất phương trình, các em học sinh nên:

  • Nắm vững định nghĩa và các tính chất của bất đẳng thức.
  • Thành thạo các phép biến đổi tương đương bất phương trình.
  • Luyện tập giải nhiều dạng bài tập khác nhau để làm quen với các kỹ năng cần thiết.
  • Rèn luyện tốc độ giải đề để hoàn thành bài kiểm tra trong thời gian quy định.

Hy vọng đề kiểm tra này sẽ là tài liệu hữu ích cho quý thầy cô và các em học sinh trong quá trình ôn tập và chuẩn bị cho các kỳ thi sắp tới.

Khởi đầu hành trình Toán THPT vững vàng với nội dung đề kiểm tra 1 tiết đại số 10 chương 4 trường thpt phú xuyên a – hà nội trong chuyên mục bài tập toán 10 trên nền tảng học toán! Bộ bài tập toán trung học phổ thông, được biên soạn chuyên sâu và bám sát chặt chẽ chương trình Toán lớp 10 hiện hành, cam kết tối ưu hóa toàn diện quá trình ôn luyện. Qua đó, học sinh không chỉ củng cố kiến thức cốt lõi mà còn xây dựng nền tảng vững chắc cho các năm học tiếp theo và định hướng đại học, nhờ phương pháp tiếp cận trực quan, logic và mang lại hiệu quả học tập vượt trội.
images-post/de-kiem-tra-1-tiet-dai-so-10-chuong-4-truong-thpt-phu-xuyen-a-ha-noi-1.jpgimages-post/de-kiem-tra-1-tiet-dai-so-10-chuong-4-truong-thpt-phu-xuyen-a-ha-noi-2.jpgimages-post/de-kiem-tra-1-tiet-dai-so-10-chuong-4-truong-thpt-phu-xuyen-a-ha-noi-3.jpgimages-post/de-kiem-tra-1-tiet-dai-so-10-chuong-4-truong-thpt-phu-xuyen-a-ha-noi-4.jpgimages-post/de-kiem-tra-1-tiet-dai-so-10-chuong-4-truong-thpt-phu-xuyen-a-ha-noi-5.jpgimages-post/de-kiem-tra-1-tiet-dai-so-10-chuong-4-truong-thpt-phu-xuyen-a-ha-noi-6.jpgimages-post/de-kiem-tra-1-tiet-dai-so-10-chuong-4-truong-thpt-phu-xuyen-a-ha-noi-7.jpgimages-post/de-kiem-tra-1-tiet-dai-so-10-chuong-4-truong-thpt-phu-xuyen-a-ha-noi-8.jpg

File đề kiểm tra 1 tiết đại số 10 chương 4 trường thpt phú xuyên a – hà nội PDF Chi Tiết