Ôn tập Giải tích 12 Chương 2: Đề kiểm tra 1 tiết THPT Ông Ích Khiêm – Đà Nẵng (Mã 783)
Nhằm hỗ trợ học sinh lớp 12 trong quá trình ôn luyện, củng cố kiến thức chuẩn bị cho kỳ kiểm tra 1 tiết môn Giải tích 12 Chương 2, giaibaitoan.com xin giới thiệu đề kiểm tra 1 tiết của trường THPT Ông Ích Khiêm – Đà Nẵng (mã đề 783). Đề thi có cấu trúc trắc nghiệm khách quan với 25 câu hỏi, được thiết kế trong thời gian làm bài 45 phút. Nội dung tập trung vào các chủ đề quan trọng: hàm số lũy thừa, hàm số mũ và hàm số logarit. Điểm đặc biệt, đề thi này đi kèm với đáp án chi tiết, giúp học sinh tự đánh giá năng lực và rà soát lại kiến thức.
Đánh giá chung về đề thi:
Đề thi được đánh giá là bám sát chương trình học, tập trung vào các kiến thức cốt lõi và các dạng bài tập thường gặp trong chương trình Giải tích 12. Hình thức trắc nghiệm giúp học sinh làm quen với phương pháp kiểm tra phổ biến, đồng thời tiết kiệm thời gian. Thời gian làm bài 45 phút đòi hỏi học sinh phải nắm vững kiến thức, kỹ năng giải nhanh và chính xác.
Phân tích một số câu hỏi tiêu biểu:
Ví dụ 1: Cho hàm số y = log3 x. Khẳng định nào sau đây là ĐÚNG:
Nhận xét: Câu hỏi này kiểm tra kiến thức cơ bản về đồ thị hàm số logarit. Học sinh cần nắm vững các đặc điểm của đồ thị hàm số y = loga x (a > 0, a ≠ 1), đặc biệt là điểm đi qua (1;0) và tiệm cận đứng x = 0. Đáp án đúng là A, vì khi x = 1 thì y = log3 1 = 0, do đó đồ thị đi qua điểm (1;0), không phải (1;3) như đáp án A. Cần cẩn thận khi xét các đáp án.
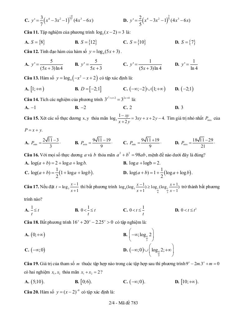
Ví dụ 2: Giá trị của tham số m thuộc tập hợp nào trong các tập hợp sau thì phương trình 9x – 2m.3x + m = 0 có hai nghiệm x1, x2 thỏa mãn x1 + x2 = 2?
Nhận xét: Đây là một câu hỏi điển hình về phương trình mũ, đòi hỏi học sinh phải biến đổi về phương trình bậc hai đối với 3x và sử dụng các điều kiện về nghiệm của phương trình bậc hai (tổng và tích của nghiệm).
Ví dụ 3: Với mọi số thực dương a và b thỏa mãn a2 + b2 = 98ab, mệnh đề nào dưới đây là đúng?
Nhận xét: Câu hỏi này kiểm tra khả năng vận dụng các tính chất của lũy thừa và bất đẳng thức. Học sinh cần biến đổi biểu thức a2 + b2 = 98ab để tìm ra mối quan hệ giữa a và b, từ đó suy ra mệnh đề đúng.
Tài liệu hỗ trợ:
Để phục vụ công tác giảng dạy và ôn tập, giaibaitoan.com cung cấp file WORD của đề thi này. Quý thầy cô có thể tải về tại:
File WORD (dành cho quý thầy, cô): TẢI XUỐNG
Hy vọng đề thi này sẽ là tài liệu hữu ích giúp học sinh lớp 12 ôn tập hiệu quả và đạt kết quả tốt trong kỳ kiểm tra sắp tới.



