Logo Header
  1. Môn Toán
  2. đề kiểm tra giải tích 12 chương 2 năm 2018 – 2019 trường đoàn thượng – hải dương

đề kiểm tra giải tích 12 chương 2 năm 2018 – 2019 trường đoàn thượng – hải dương

Bạn đang xem tài liệu đề kiểm tra giải tích 12 chương 2 năm 2018 – 2019 trường đoàn thượng – hải dương được biên soạn theo toán mới nhất. Tài liệu này hệ thống hóa kiến thức một cách khoa học, phù hợp cho mọi lộ trình học từ cơ bản đến nâng cao. Hãy khai thác triệt để nội dung để bứt phá điểm số và tự tin chinh phục mọi kỳ thi nhé!
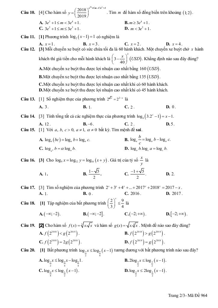
## Phân tích Đề Kiểm Tra Giải Tích 12 – Chương Hàm Số (2018-2019, Đoàn Thượng, Hải Dương) Bài viết này sẽ đi sâu vào phân tích đề kiểm tra Giải tích 12 chương 2 năm học 2018-2019 của trường THPT Đoàn Thượng, Hải Dương (mã đề 964). Đề thi này, với hình thức trắc nghiệm khách quan, tập trung đánh giá mức độ nắm vững kiến thức về hàm số lũy thừa, hàm số mũ và hàm số logarit – những chủ đề trọng tâm của chương trình Giải tích lớp 12.

Đề kiểm tra có tổng cộng 25 câu hỏi, được thiết kế trong thời gian 45 phút, đòi hỏi học sinh phải có khả năng vận dụng linh hoạt các công thức, tính chất và phương pháp giải quyết bài toán một cách nhanh chóng và chính xác.

Dưới đây là phân tích chi tiết một số câu hỏi tiêu biểu trong đề thi:

  • Câu 1: Bài toán lãi kép. Đề bài đưa ra một tình huống thực tế về gửi tiền tiết kiệm với lãi suất cố định và tính lãi kép. Đây là một ứng dụng quan trọng của hàm số mũ trong tài chính. Học sinh cần hiểu rõ công thức tính lãi kép để giải quyết bài toán này. Việc làm tròn kết quả đến hàng triệu đồng cũng đòi hỏi học sinh có kỹ năng ước lượng và xử lý số liệu.
  • Câu 2: Tìm giá trị lớn nhất và nhỏ nhất của hàm số. Bài toán yêu cầu tìm giá trị lớn nhất (a) và nhỏ nhất (b) của hàm số y = x2 + log3(x – 1) trên đoạn [-2; 0]. Đây là một dạng bài tập thường gặp, đòi hỏi học sinh phải nắm vững kiến thức về đạo hàm, điều kiện xác định của hàm logarit và kỹ năng xét dấu đạo hàm để tìm cực trị. Lưu ý rằng, do điều kiện xác định của logarit, miền xác định của hàm số trên đoạn [-2;0] sẽ bị thu hẹp.
  • Câu 3: Bài toán tối ưu hóa. Bài toán về chuyến xe buýt với số hành khách và giá vé phụ thuộc vào số lượng hành khách là một ví dụ điển hình về ứng dụng của hàm số bậc hai trong thực tế. Học sinh cần xây dựng được hàm số biểu diễn lợi nhuận của chuyến xe buýt và sử dụng các phương pháp tìm giá trị lớn nhất của hàm số bậc hai (ví dụ: tìm hoành độ đỉnh của parabol) để xác định số hành khách tối ưu. Các phương án trả lời được đưa ra đòi hỏi học sinh phải tính toán cẩn thận và phân tích kết quả.

Đánh giá chung về đề thi:

Đề thi có độ khó tương đối, phân loại rõ ràng học sinh. Các câu hỏi không chỉ kiểm tra kiến thức lý thuyết mà còn đánh giá khả năng vận dụng kiến thức vào giải quyết các bài toán thực tế. Việc kết hợp các chủ đề hàm số lũy thừa, hàm số mũ và hàm số logarit trong cùng một đề thi đòi hỏi học sinh phải có sự hiểu biết toàn diện và khả năng liên kết các kiến thức khác nhau.

Lợi ích từ việc phân tích đề thi:

  • Giúp học sinh hiểu rõ hơn về cấu trúc đề thi và các dạng bài tập thường gặp.
  • Cung cấp phương pháp giải quyết các bài toán cụ thể.
  • Nhấn mạnh tầm quan trọng của việc nắm vững kiến thức lý thuyết và kỹ năng tính toán.
  • Góp phần nâng cao hiệu quả ôn tập và chuẩn bị cho các kỳ thi sắp tới.

Đề thi này, cùng với đáp án (có sẵn dưới dạng file WORD cho giáo viên), là một tài liệu tham khảo hữu ích cho cả học sinh và giáo viên trong quá trình dạy và học môn Giải tích lớp 12.

Chinh phục điểm cao Kỳ thi Tốt nghiệp THPT Quốc gia môn Toán, rộng mở cánh cửa Đại học với nội dung đề kiểm tra giải tích 12 chương 2 năm 2018 – 2019 trường đoàn thượng – hải dương trong chuyên mục sgk toán 12 trên nền tảng toán! Bộ bài tập toán trung học phổ thông, được biên soạn chuyên sâu, bám sát cấu trúc đề thi và chương trình Toán 12, cam kết tối ưu hóa toàn diện lộ trình ôn luyện. Qua đó, học sinh không chỉ làm chủ mọi dạng bài thi mà còn trang bị chiến thuật làm bài hiệu quả, tự tin đạt kết quả đột phá, tạo nền tảng vững chắc cho Kỳ thi Tốt nghiệp THPT Quốc gia và hành trang vững vàng vào đại học, nhờ phương pháp tiếp cận trực quan, khoa học và mang lại hiệu quả học tập vượt trội.
images-post/de-kiem-tra-giai-tich-12-chuong-2-nam-2018-2019-truong-doan-thuong-hai-duong-1.jpgimages-post/de-kiem-tra-giai-tich-12-chuong-2-nam-2018-2019-truong-doan-thuong-hai-duong-2.jpgimages-post/de-kiem-tra-giai-tich-12-chuong-2-nam-2018-2019-truong-doan-thuong-hai-duong-3.jpgimages-post/de-kiem-tra-giai-tich-12-chuong-2-nam-2018-2019-truong-doan-thuong-hai-duong-4.jpg

File đề kiểm tra giải tích 12 chương 2 năm 2018 – 2019 trường đoàn thượng – hải dương PDF Chi Tiết

TÌM KIẾM THEO TỪ KHÓA