Phân tích Đề Kiểm Tra 45 Phút Giải Tích 12 – Chương 2 (THPT Đông Thọ, Tuyên Quang): Hàm Số Lũy Thừa, Hàm Số Mũ và Hàm Số Logarit
Đề kiểm tra 45 phút Giải tích 12 của trường THPT Đông Thọ – Tuyên Quang, tập trung vào chương 2, đánh giá mức độ nắm vững kiến thức của học sinh về hàm số lũy thừa, hàm số mũ và hàm số logarit. Đề thi có cấu trúc gồm 4 mã đề, mỗi đề 25 câu hỏi trắc nghiệm, với thời gian làm bài 1 tiết (45 phút). Đây là một hình thức kiểm tra phổ biến, giúp giáo viên nhanh chóng đánh giá năng lực của học sinh trên diện rộng.
Đánh giá chung về nội dung đề thi:
Đề thi có sự phân bổ hợp lý giữa các chủ đề hàm số lũy thừa, hàm số mũ và hàm số logarit. Các câu hỏi được thiết kế đa dạng, bao gồm cả việc kiểm tra kiến thức lý thuyết cơ bản và khả năng vận dụng vào giải quyết các bài toán thực tế. Nhìn chung, đề thi có độ khó vừa phải, phù hợp với trình độ học sinh trung bình khá. Tuy nhiên, để đạt điểm cao, học sinh cần nắm vững các định nghĩa, tính chất, công thức và phương pháp giải các bài toán liên quan đến các loại hàm số này.
Phân tích một số câu hỏi trích dẫn:
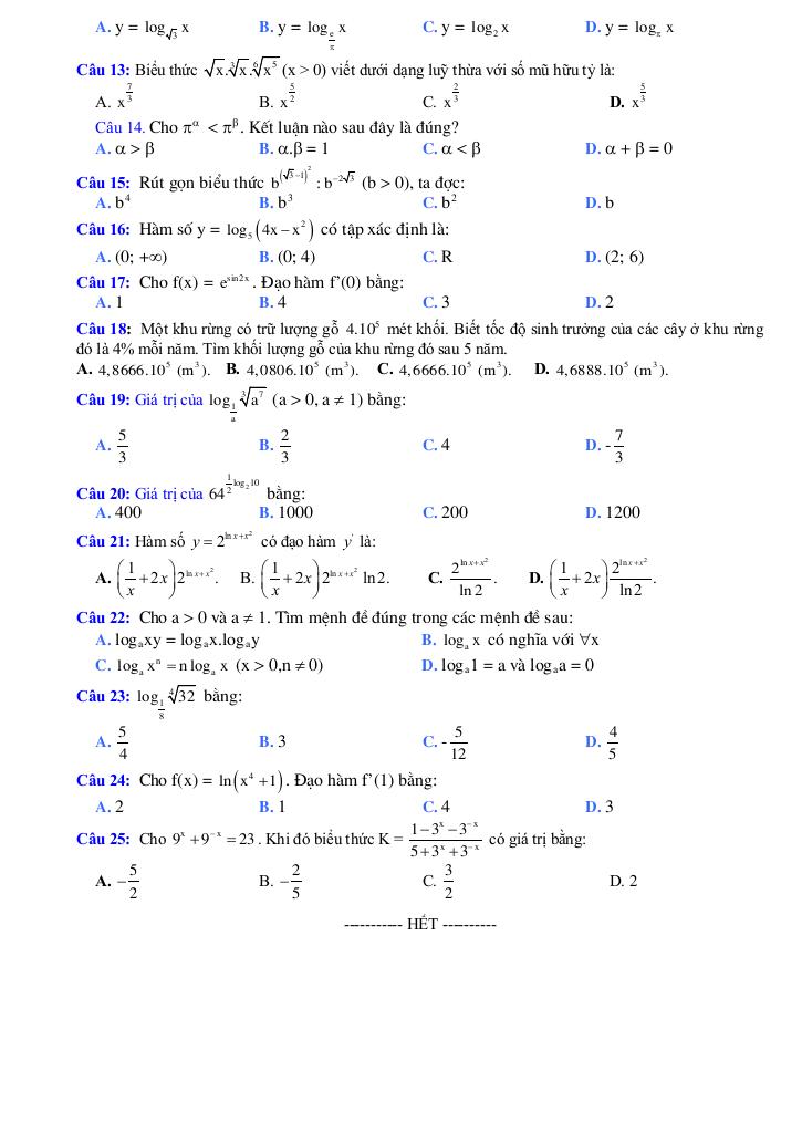
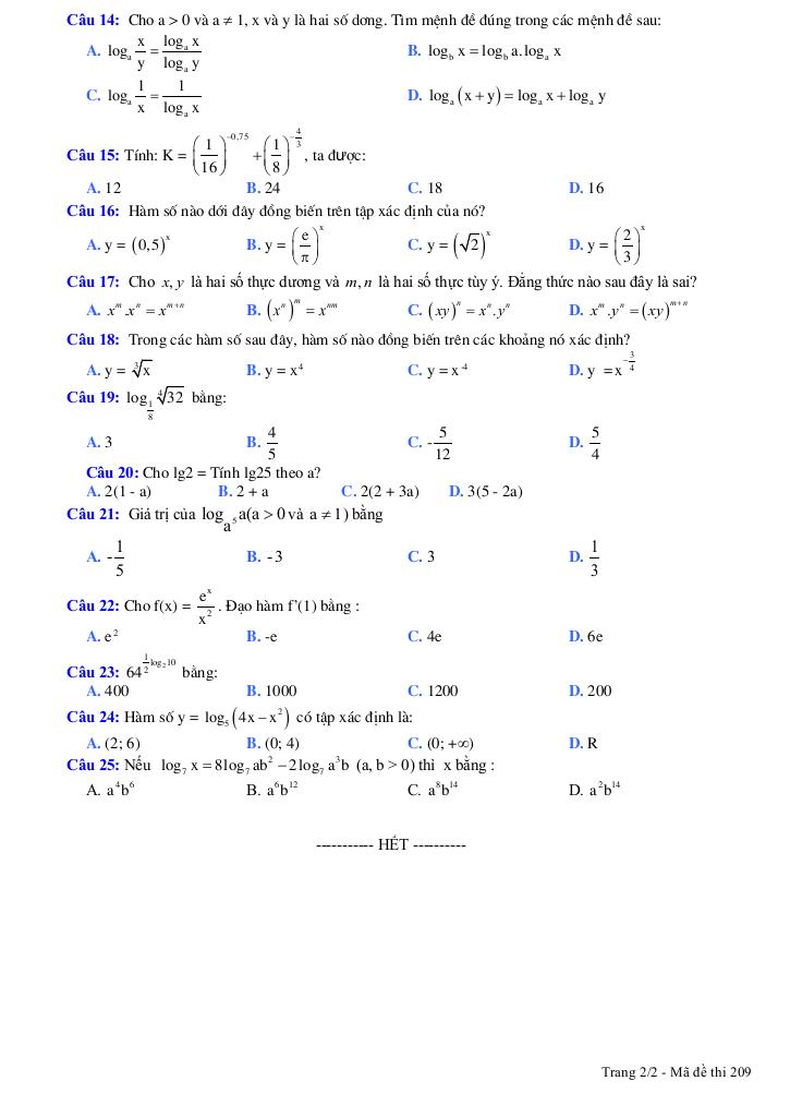
Câu 1: "Cho a > 0 và a ≠ 1. Tìm mệnh đề đúng trong các mệnh đề sau:" Câu hỏi này tập trung vào việc kiểm tra kiến thức lý thuyết về các tính chất của logarit. Cụ thể, học sinh cần phân biệt được các công thức đúng và sai. Đáp án đúng là C. loga x^n = giaibaitoan.com x (x > 0, n ≠ 0). Các đáp án còn lại đều sai, thể hiện sự hiểu lầm về các tính chất của logarit (ví dụ: loga xy ≠ loga giaibaitoan.com y, loga x chỉ có nghĩa khi x > 0, loga 1 = 0, loga a = 1).
Câu 2: "Một khu rừng có trữ lượng gỗ 4.10^5 mét khối. Biết tốc độ sinh trưởng của các cây ở khu rừng đó là 4% mỗi năm. Tìm khối lượng gỗ của khu rừng đó sau 5 năm." Đây là một bài toán ứng dụng hàm số mũ vào thực tế. Học sinh cần hiểu được công thức tính lãi kép (hay trong trường hợp này là tăng trưởng) và áp dụng vào giải bài toán. Công thức sử dụng là: A = P(1 + r)^t, trong đó A là số lượng sau t năm, P là số lượng ban đầu, r là lãi suất (tốc độ tăng trưởng) và t là số năm. Đáp án đúng là A. 4,8666.10^5 (m3). Bài toán này đòi hỏi học sinh phải chú ý đến đơn vị và làm tròn kết quả hợp lý.
Câu 3: "Cho π^α < π^β. Kết luận nào sau đây đúng?" Câu hỏi này kiểm tra khả năng so sánh các lũy thừa có cùng cơ số. Khi cơ số lớn hơn 1 (trong trường hợp này là π > 1), lũy thừa nào có số mũ lớn hơn thì lớn hơn. Do đó, nếu π^α < π^β thì α < β. Đáp án đúng là C. α < β. Câu hỏi này giúp học sinh củng cố kiến thức về tính chất đơn điệu của hàm số mũ.
Tài liệu hỗ trợ:
Đề thi được cung cấp kèm theo file WORD (dành cho giáo viên) để thuận tiện cho việc sử dụng và chỉnh sửa.
Kết luận:
Đề kiểm tra 45 phút này là một công cụ hữu ích để đánh giá kiến thức và kỹ năng của học sinh về hàm số lũy thừa, hàm số mũ và hàm số logarit. Việc phân tích kỹ các câu hỏi trong đề thi sẽ giúp học sinh và giáo viên xác định được những điểm mạnh, điểm yếu và có kế hoạch ôn tập, giảng dạy phù hợp.







