Logo Header
  1. Môn Toán
  2. đề kiểm tra giải tích 12 chương 2 (mũ – logarit) trường thpt cây dương – kiên giang

đề kiểm tra giải tích 12 chương 2 (mũ – logarit) trường thpt cây dương – kiên giang

Bạn đang xem tài liệu đề kiểm tra giải tích 12 chương 2 (mũ – logarit) trường thpt cây dương – kiên giang được biên soạn theo học toán mới nhất. Tài liệu này hệ thống hóa kiến thức một cách khoa học, phù hợp cho mọi lộ trình học từ cơ bản đến nâng cao. Hãy khai thác triệt để nội dung để bứt phá điểm số và tự tin chinh phục mọi kỳ thi nhé!

Phân tích Đề Kiểm Tra Giải Tích 12 – Chương Hàm Số Lũy Thừa, Hàm Số Mũ và Hàm Số Logarit (THPT Cây Dương, Kiên Giang)

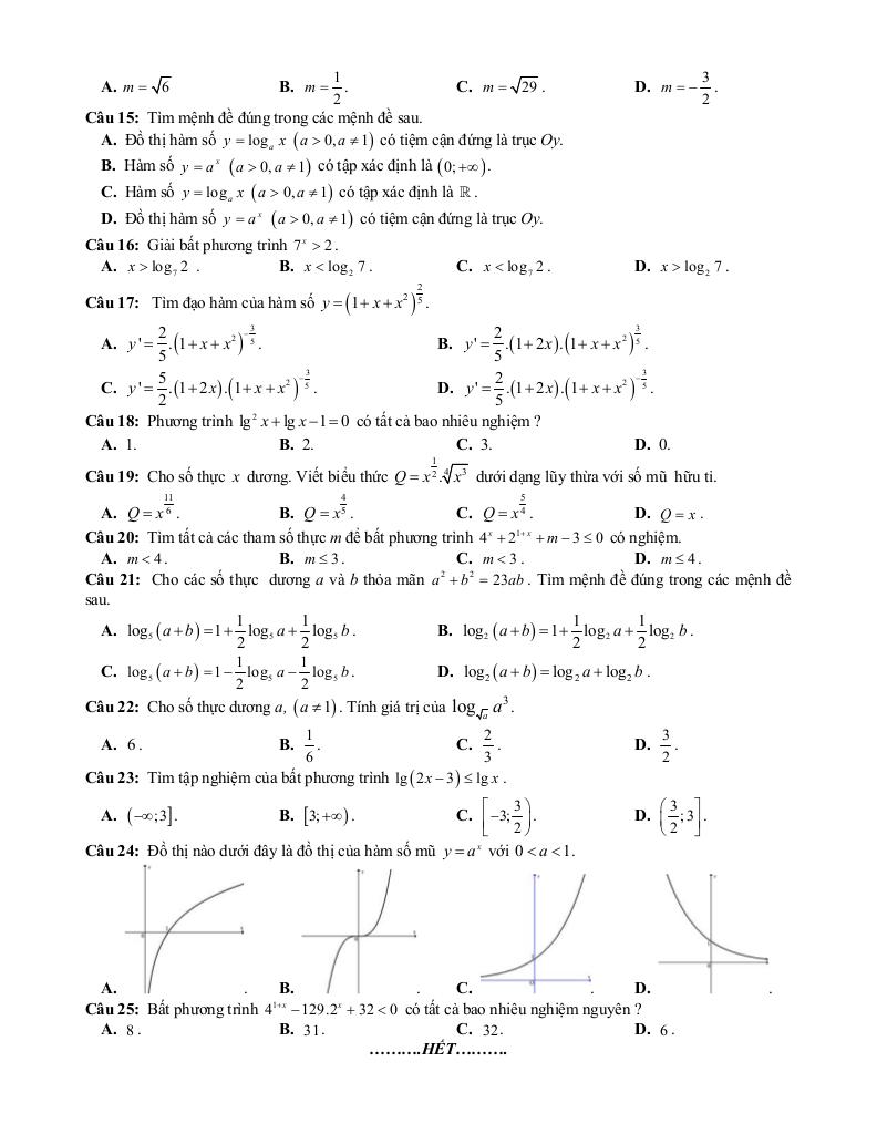
Đề kiểm tra Giải tích 12 chương 2 của trường THPT Cây Dương, tỉnh Kiên Giang là một đề thi trắc nghiệm với cấu trúc quen thuộc, bao gồm 25 câu hỏi được thiết kế trong thời gian 45 phút. Đề tập trung đánh giá mức độ nắm vững kiến thức về hàm số lũy thừa, hàm số mũ và hàm số logarit – những chủ đề trọng tâm của chương trình Giải tích lớp 12. Việc lựa chọn hình thức trắc nghiệm giúp giáo viên nhanh chóng kiểm tra được kiến thức cơ bản và khả năng vận dụng của học sinh.

Dưới đây là phân tích chi tiết một số câu hỏi tiêu biểu trong đề:

  1. Câu hỏi ứng dụng lãi kép: “Một người mỗi tháng đều đặn gởi vào ngân hàng cùng một số tiền là 10 triệu đồng vào một ngày cố định của mỗi tháng với lãi suất kép 7%/năm. Hỏi sau ít nhất bao lâu thì người đó thu được cả vốn và lãi là 1 tỷ đồng? Giả sử trong quá trình gởi người đó không rút tiền ra và lãi suất không thay đổi.”
  2. Đây là một bài toán thực tế, đòi hỏi học sinh phải vận dụng kiến thức về cấp số nhân và lãi kép để giải quyết. Để giải bài toán này, học sinh cần:

    • Xác định được đây là một dãy số với số hạng đầu là 10 triệu đồng và công bội là lãi suất hàng tháng (tính theo lãi suất năm).
    • Sử dụng công thức tính tổng của cấp số nhân để tìm số tháng cần thiết để đạt được số tiền 1 tỷ đồng.
    • Đổi số tháng ra năm, tháng để đưa ra đáp án phù hợp.

    Bài toán này đánh giá khả năng liên hệ kiến thức toán học với các tình huống thực tế, một kỹ năng quan trọng trong chương trình học.

  3. Câu hỏi về tính chất của hàm số logarit: “Tìm mệnh đề đúng trong các mệnh đề sau:
    A. Đồ thị hàm số y = loga x (a > 0, a ≠ 1) có tiệm cận đứng là trục Oy
    B. Hàm số y = a^x (a > 0, a ≠ 1) có tập xác định là (0; +∞)
    C. Hàm số y = loga x (a > 0, a ≠ 1) có tập xác định là R
    D. Đồ thị hàm số y = a^x (a > 0, a ≠ 1) có tiệm cận đứng là trục Oy”
  4. Câu hỏi này kiểm tra sự hiểu biết của học sinh về các tính chất cơ bản của hàm số logarit và hàm số mũ, đặc biệt là về tiệm cận đứng và tập xác định. Đáp án đúng là lựa chọn A. Học sinh cần nắm vững:

    • Hàm số y = loga x có tiệm cận đứng là x = 0 (trục Oy).
    • Hàm số y = a^x có tập xác định là R.
    • Hàm số y = loga x có tập xác định là (0; +∞).
  5. Câu hỏi về biến đổi logarit: “Cho các số thực dương a và b thỏa mãn a^2 + b^2 = 23ab. Tìm mệnh đề đúng trong các mệnh đề sau:
    A. log5 (a + b) = 1 + 1/giaibaitoan.com5 a + 1/giaibaitoan.com5 b
    B. log2 (a + b) = 1 + 1/giaibaitoan.com2 a + 1/giaibaitoan.com2 b
    C. log5 (a + b) = 1 – 1/giaibaitoan.com5 a – 1/giaibaitoan.com5 b
    D. log2 (a + b) = log2 a + log2 b”
  6. Câu hỏi này yêu cầu học sinh phải vận dụng các tính chất của logarit để biến đổi biểu thức và tìm ra đáp án đúng. Để giải quyết, học sinh cần:

    • Biến đổi biểu thức a^2 + b^2 = 23ab thành (a + b)^2 = 25ab.
    • Sử dụng logarit để biến đổi biểu thức trên thành log5 (a + b) = log5 (5√ab) = log5 5 + log5 √ab = 1 + 1/2 (log5 a + log5 b).

    Đáp án đúng là A. Câu hỏi này kiểm tra khả năng tư duy logic và vận dụng linh hoạt các công thức logarit.

Nhìn chung, đề kiểm tra này có độ khó vừa phải, bao gồm cả các câu hỏi lý thuyết và câu hỏi ứng dụng. Đề thi phù hợp để đánh giá mức độ hiểu bài và khả năng vận dụng kiến thức của học sinh trong chương Hàm số lũy thừa, hàm số mũ và hàm số logarit.

Lưu ý: Đề thi trắc nghiệm này có thể được sử dụng làm tài liệu tham khảo cho học sinh và giáo viên trong quá trình ôn tập và giảng dạy.

Chinh phục điểm cao Kỳ thi Tốt nghiệp THPT Quốc gia môn Toán, rộng mở cánh cửa Đại học với nội dung đề kiểm tra giải tích 12 chương 2 (mũ – logarit) trường thpt cây dương – kiên giang trong chuyên mục toán 12 trên nền tảng học toán! Bộ bài tập lý thuyết toán thpt, được biên soạn chuyên sâu, bám sát cấu trúc đề thi và chương trình Toán 12, cam kết tối ưu hóa toàn diện lộ trình ôn luyện. Qua đó, học sinh không chỉ làm chủ mọi dạng bài thi mà còn trang bị chiến thuật làm bài hiệu quả, tự tin đạt kết quả đột phá, tạo nền tảng vững chắc cho Kỳ thi Tốt nghiệp THPT Quốc gia và hành trang vững vàng vào đại học, nhờ phương pháp tiếp cận trực quan, khoa học và mang lại hiệu quả học tập vượt trội.
images-post/de-kiem-tra-giai-tich-12-chuong-2-mu-logarit-truong-thpt-cay-duong-kien-giang-1.jpgimages-post/de-kiem-tra-giai-tich-12-chuong-2-mu-logarit-truong-thpt-cay-duong-kien-giang-2.jpg

File đề kiểm tra giải tích 12 chương 2 (mũ – logarit) trường thpt cây dương – kiên giang PDF Chi Tiết

TÌM KIẾM THEO TỪ KHÓA