Logo Header
  1. Môn Toán
  2. đề kiểm tra giải tích 12 chương 2 trường thpt nho quan a – ninh bình

đề kiểm tra giải tích 12 chương 2 trường thpt nho quan a – ninh bình

Bạn đang xem tài liệu đề kiểm tra giải tích 12 chương 2 trường thpt nho quan a – ninh bình được biên soạn theo tài liệu toán mới nhất. Tài liệu này hệ thống hóa kiến thức một cách khoa học, phù hợp cho mọi lộ trình học từ cơ bản đến nâng cao. Hãy khai thác triệt để nội dung để bứt phá điểm số và tự tin chinh phục mọi kỳ thi nhé!
Vui lòng cung cấp nội dung bạn muốn tôi viết lại. Tôi cần nội dung gốc để có thể tạo ra một bài blog chuyên nghiệp, hay hơn, dài hơn và có phân tích chuyên sâu về toán học, đồng thời tuân thủ các yêu cầu về thẻ HTML (p, ul, ol, li, span, strong) mà bạn đã đặt ra. Sau khi bạn cung cấp nội dung, tôi sẽ: * **Mở rộng nội dung:** Thêm các ví dụ minh họa, giải thích chi tiết hơn, và các ứng dụng thực tế của kiến thức đó. * **Phân tích chuyên sâu:** Đánh giá tầm quan trọng của nội dung, mối liên hệ với các kiến thức toán học khác, và những điểm cần lưu ý khi học tập. * **Viết lại theo phong cách blog:** Sử dụng ngôn ngữ dễ hiểu, hấp dẫn, và có cấu trúc rõ ràng. * **Đảm bảo tuân thủ yêu cầu về thẻ HTML:** Chỉ sử dụng các thẻ p, ul, ol, li, span, strong để định dạng nội dung. Tôi rất mong nhận được nội dung từ bạn để bắt đầu!
Chinh phục điểm cao Kỳ thi Tốt nghiệp THPT Quốc gia môn Toán, rộng mở cánh cửa Đại học với nội dung đề kiểm tra giải tích 12 chương 2 trường thpt nho quan a – ninh bình trong chuyên mục toán 12 trên nền tảng tài liệu toán! Bộ bài tập toán trung học phổ thông, được biên soạn chuyên sâu, bám sát cấu trúc đề thi và chương trình Toán 12, cam kết tối ưu hóa toàn diện lộ trình ôn luyện. Qua đó, học sinh không chỉ làm chủ mọi dạng bài thi mà còn trang bị chiến thuật làm bài hiệu quả, tự tin đạt kết quả đột phá, tạo nền tảng vững chắc cho Kỳ thi Tốt nghiệp THPT Quốc gia và hành trang vững vàng vào đại học, nhờ phương pháp tiếp cận trực quan, khoa học và mang lại hiệu quả học tập vượt trội.
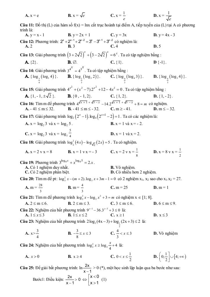
images-post/de-kiem-tra-giai-tich-12-chuong-2-truong-thpt-nho-quan-a-ninh-binh-1.jpgimages-post/de-kiem-tra-giai-tich-12-chuong-2-truong-thpt-nho-quan-a-ninh-binh-2.jpgimages-post/de-kiem-tra-giai-tich-12-chuong-2-truong-thpt-nho-quan-a-ninh-binh-3.jpg

File đề kiểm tra giải tích 12 chương 2 trường thpt nho quan a – ninh bình PDF Chi Tiết

TÌM KIẾM THEO TỪ KHÓA