Logo Header
  1. Môn Toán
  2. bộ đề kiểm tra chương 2 giải tích 12 có đáp án và lời giải chi tiết

bộ đề kiểm tra chương 2 giải tích 12 có đáp án và lời giải chi tiết

Bạn đang xem tài liệu bộ đề kiểm tra chương 2 giải tích 12 có đáp án và lời giải chi tiết được biên soạn theo toán học mới nhất. Tài liệu này hệ thống hóa kiến thức một cách khoa học, phù hợp cho mọi lộ trình học từ cơ bản đến nâng cao. Hãy khai thác triệt để nội dung để bứt phá điểm số và tự tin chinh phục mọi kỳ thi nhé!

Tuyển tập đề kiểm tra Giải tích 12 Chương 2: Hàm số lũy thừa, hàm số mũ và hàm số logarit – Đánh giá chi tiết và phân tích cấu trúc

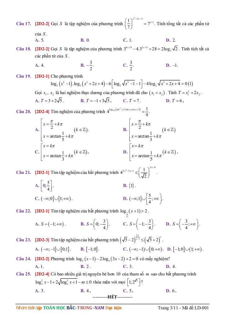
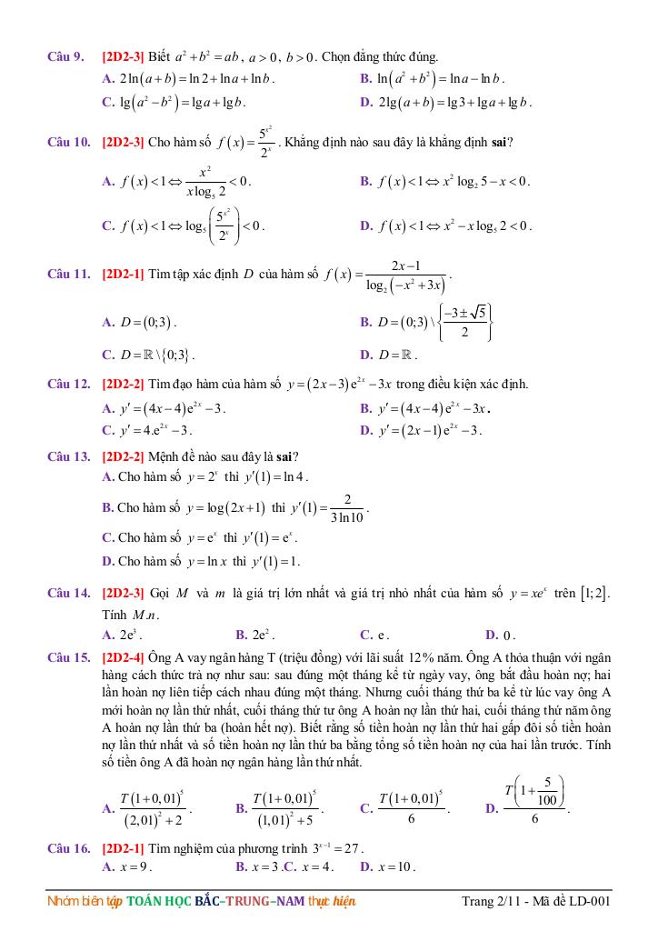
Tài liệu học tập này, với độ dày 106 trang, là kết quả công sức biên soạn của tập thể các thầy cô giáo nhóm Toán học Bắc Trung Nam. Đây là một nguồn tài liệu vô cùng giá trị dành cho học sinh lớp 12 đang ôn luyện chương 2 môn Giải tích, tập trung vào các chủ đề hàm số lũy thừa, hàm số mũ và hàm số logarit. Điểm nổi bật của tài liệu là tuyển chọn 11 đề kiểm tra có đáp án và lời giải chi tiết, được sử dụng thực tế trong các kỳ kiểm tra định kỳ, kiểm tra tập trung, kiểm tra 1 tiết và kiểm tra 45 phút.

Cấu trúc đề thi và tính thực tiễn:

Tất cả các đề thi trong bộ tài liệu này đều tuân theo một cấu trúc thống nhất, phản ánh xu hướng đề thi hiện hành: mỗi đề gồm 25 câu hỏi trắc nghiệm khách quan, được thiết kế trong thời gian làm bài 45 phút. Cấu trúc này giúp học sinh làm quen với áp lực thời gian và rèn luyện kỹ năng làm bài thi trắc nghiệm một cách hiệu quả. Việc bám sát cấu trúc đề thi phổ biến cũng giúp giáo viên dễ dàng sử dụng tài liệu để xây dựng kế hoạch ôn tập và đánh giá năng lực học sinh.

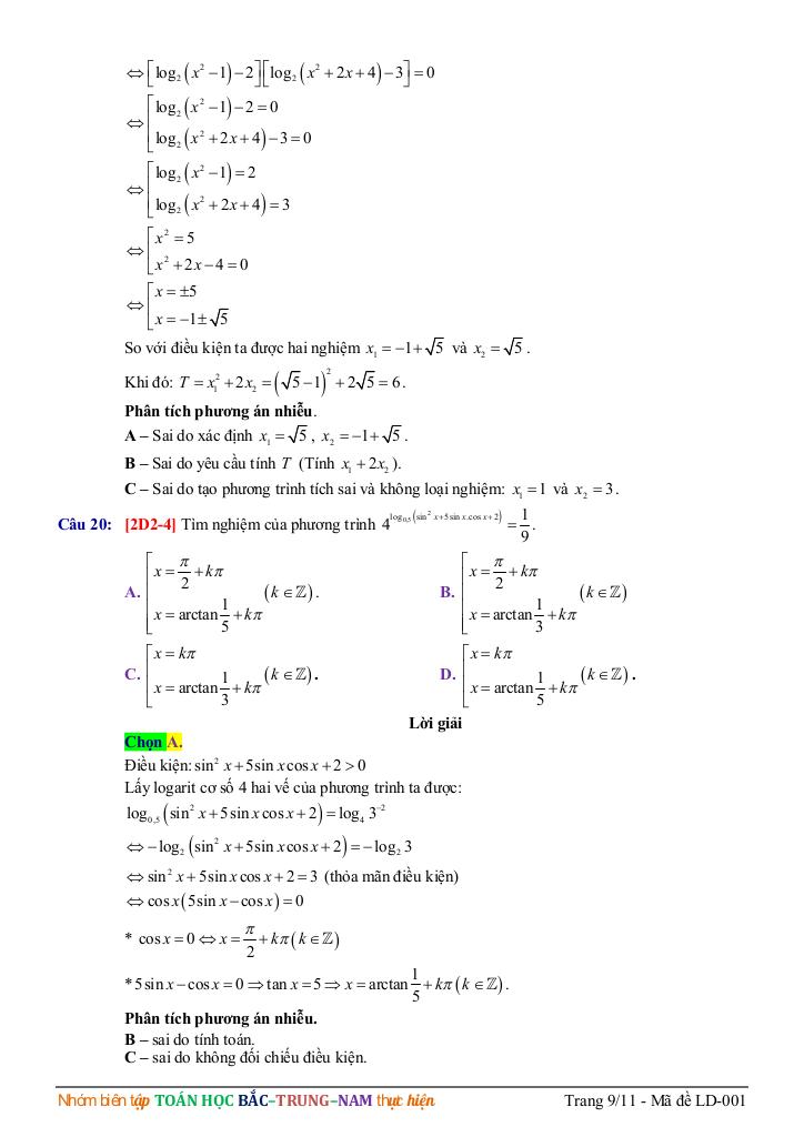
Điểm mạnh của phần lời giải chi tiết:

Điểm khác biệt và giá trị lớn nhất của tài liệu nằm ở phần lời giải chi tiết. Các lời giải không chỉ cung cấp đáp án đúng mà còn trình bày một cách tỉ mỉ, logic các bước giải, giúp học sinh hiểu rõ bản chất của vấn đề. Đặc biệt, tài liệu chú trọng phân tích các phương án nhiễu, chỉ ra những lỗi sai thường gặp mà học sinh dễ mắc phải. Điều này không chỉ giúp học sinh củng cố kiến thức mà còn rèn luyện kỹ năng phân tích, loại trừ và đưa ra lựa chọn đúng trong các bài thi trắc nghiệm.

Minh họa nội dung đề thi:

Để bạn đọc có cái nhìn rõ hơn về nội dung và độ khó của các đề thi, dưới đây là một số ví dụ:

  1. Câu hỏi về đẳng thức: “Cho các số thực dương a, b thỏa mãn a > b và a2 – 3ab + b2 = 0. Trong các đẳng thức sau, đẳng thức nào đúng?” – Câu hỏi này đòi hỏi học sinh phải vận dụng linh hoạt các tính chất của bất đẳng thức và biến đổi đại số để tìm ra đáp án chính xác.
  2. Câu hỏi về đồ thị hàm số: “Hình bên là đồ thị của ba hàm số y = ax, y = bx, y = cx (0 < a, b, c ≠ 1) được vẽ trên cùng một hệ trục tọa độ. Khẳng định nào sau đây là khẳng định đúng?” – Câu hỏi này kiểm tra khả năng đọc hiểu đồ thị hàm số và liên hệ giữa đồ thị với các yếu tố của hàm số (ví dụ: cơ số, tính chất tăng giảm).
  3. Câu hỏi về bất phương trình logarit: “Tìm tập hợp X gồm tất cả các giá trị của tham số thực m để bất phương trình 1 + log5 (x2 + 1) ≥ log5 (mx2 + 4x + m) có tập nghiệm là R.” – Đây là một bài toán đòi hỏi học sinh phải nắm vững các quy tắc biến đổi bất phương trình logarit, điều kiện xác định của logarit và kỹ năng xét dấu.
  4. Câu hỏi về phương trình logarit: “Phương trình log3 (x2 + 4x + 12) = 2. Chọn phương án đúng?” – Bài toán này yêu cầu học sinh giải phương trình logarit và xác định số lượng nghiệm, đồng thời phân biệt các loại nghiệm (dương, âm, trái dấu).
  5. Câu hỏi về phương trình mũ: “Biết rằng phương trình 32018 + 2(giaibaitoan.com8 9) = 0 có nghiệm duy nhất x = x0. Khẳng định nào sau đây là đúng?” – Bài toán này đòi hỏi học sinh phải biến đổi phương trình mũ về dạng đơn giản hơn, tìm nghiệm và kiểm tra các khẳng định cho trước.

Kết luận:

Bộ đề kiểm tra chương 2 Giải tích 12 này là một tài liệu tham khảo hữu ích và đáng tin cậy cho cả học sinh và giáo viên. Với cấu trúc đề thi bám sát thực tế, lời giải chi tiết và phân tích phương án nhiễu, tài liệu này sẽ giúp học sinh tự tin hơn trong quá trình ôn tập và làm bài thi. Đồng thời, tài liệu cũng là một công cụ hỗ trợ đắc lực cho giáo viên trong việc xây dựng kế hoạch giảng dạy và đánh giá năng lực học sinh.

Chinh phục điểm cao Kỳ thi Tốt nghiệp THPT Quốc gia môn Toán, rộng mở cánh cửa Đại học với nội dung bộ đề kiểm tra chương 2 giải tích 12 có đáp án và lời giải chi tiết trong chuyên mục bài tập toán 12 trên nền tảng toán học! Bộ bài tập toán thpt, được biên soạn chuyên sâu, bám sát cấu trúc đề thi và chương trình Toán 12, cam kết tối ưu hóa toàn diện lộ trình ôn luyện. Qua đó, học sinh không chỉ làm chủ mọi dạng bài thi mà còn trang bị chiến thuật làm bài hiệu quả, tự tin đạt kết quả đột phá, tạo nền tảng vững chắc cho Kỳ thi Tốt nghiệp THPT Quốc gia và hành trang vững vàng vào đại học, nhờ phương pháp tiếp cận trực quan, khoa học và mang lại hiệu quả học tập vượt trội.
images-post/bo-de-kiem-tra-chuong-2-giai-tich-12-co-dap-an-va-loi-giai-chi-tiet-001.jpgimages-post/bo-de-kiem-tra-chuong-2-giai-tich-12-co-dap-an-va-loi-giai-chi-tiet-002.jpgimages-post/bo-de-kiem-tra-chuong-2-giai-tich-12-co-dap-an-va-loi-giai-chi-tiet-003.jpgimages-post/bo-de-kiem-tra-chuong-2-giai-tich-12-co-dap-an-va-loi-giai-chi-tiet-004.jpgimages-post/bo-de-kiem-tra-chuong-2-giai-tich-12-co-dap-an-va-loi-giai-chi-tiet-005.jpgimages-post/bo-de-kiem-tra-chuong-2-giai-tich-12-co-dap-an-va-loi-giai-chi-tiet-006.jpgimages-post/bo-de-kiem-tra-chuong-2-giai-tich-12-co-dap-an-va-loi-giai-chi-tiet-007.jpgimages-post/bo-de-kiem-tra-chuong-2-giai-tich-12-co-dap-an-va-loi-giai-chi-tiet-008.jpgimages-post/bo-de-kiem-tra-chuong-2-giai-tich-12-co-dap-an-va-loi-giai-chi-tiet-009.jpgimages-post/bo-de-kiem-tra-chuong-2-giai-tich-12-co-dap-an-va-loi-giai-chi-tiet-010.jpg

File bộ đề kiểm tra chương 2 giải tích 12 có đáp án và lời giải chi tiết PDF Chi Tiết

TÌM KIẾM THEO TỪ KHÓA