Logo Header
  1. Môn Toán
  2. đề kiểm tra giải tích 12 chương 2 năm 2019 – 2020 trường nguyễn bỉnh khiêm – gia lai

đề kiểm tra giải tích 12 chương 2 năm 2019 – 2020 trường nguyễn bỉnh khiêm – gia lai

Bạn đang xem tài liệu đề kiểm tra giải tích 12 chương 2 năm 2019 – 2020 trường nguyễn bỉnh khiêm – gia lai được biên soạn theo đề thi toán mới nhất. Tài liệu này hệ thống hóa kiến thức một cách khoa học, phù hợp cho mọi lộ trình học từ cơ bản đến nâng cao. Hãy khai thác triệt để nội dung để bứt phá điểm số và tự tin chinh phục mọi kỳ thi nhé!

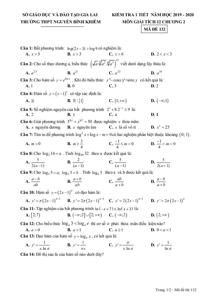
giaibaitoan.com xin giới thiệu đến quý thầy cô giáo và các em học sinh khối 12 đề kiểm tra Giải tích 12 chương 2, năm học 2019 – 2020 của trường THPT Nguyễn Bỉnh Khiêm – Gia Lai. Đề kiểm tra tập trung vào các kiến thức trọng tâm của chương, bao gồm hàm số lũy thừa, hàm số mũ và hàm số logarit.

Đề thi có cấu trúc 25 câu trắc nghiệm, được thiết kế để đánh giá khả năng nắm vững lý thuyết, kỹ năng vận dụng và giải quyết vấn đề của học sinh trong thời gian 1 tiết học. Điểm đặc biệt của đề thi là sự kết hợp giữa các dạng bài tập cơ bản và nâng cao, đòi hỏi học sinh phải có sự hiểu biết sâu sắc về các tính chất và phương pháp giải quyết các bài toán liên quan đến hàm số lũy thừa, hàm số mũ và hàm số logarit.

Dưới đây là một số ví dụ về các câu hỏi được trích dẫn từ đề thi:

  • Câu 1: Giải phương trình 5lgx + xlg5 = 50 được nghiệm x thỏa mãn:
    • A. x nguyên dương.
    • B. x nguyên âm.
    • C. x là số vô tỉ.
    • D. x2 = 25.
    (Nhận xét: Câu hỏi này kiểm tra khả năng vận dụng linh hoạt các tính chất của logarit và lũy thừa, đặc biệt là mối quan hệ giữa logarit cơ số 10 và logarit cơ số e. Để giải quyết bài toán này, học sinh cần biến đổi phương trình về dạng đơn giản và sử dụng các phương pháp giải phương trình phù hợp.)
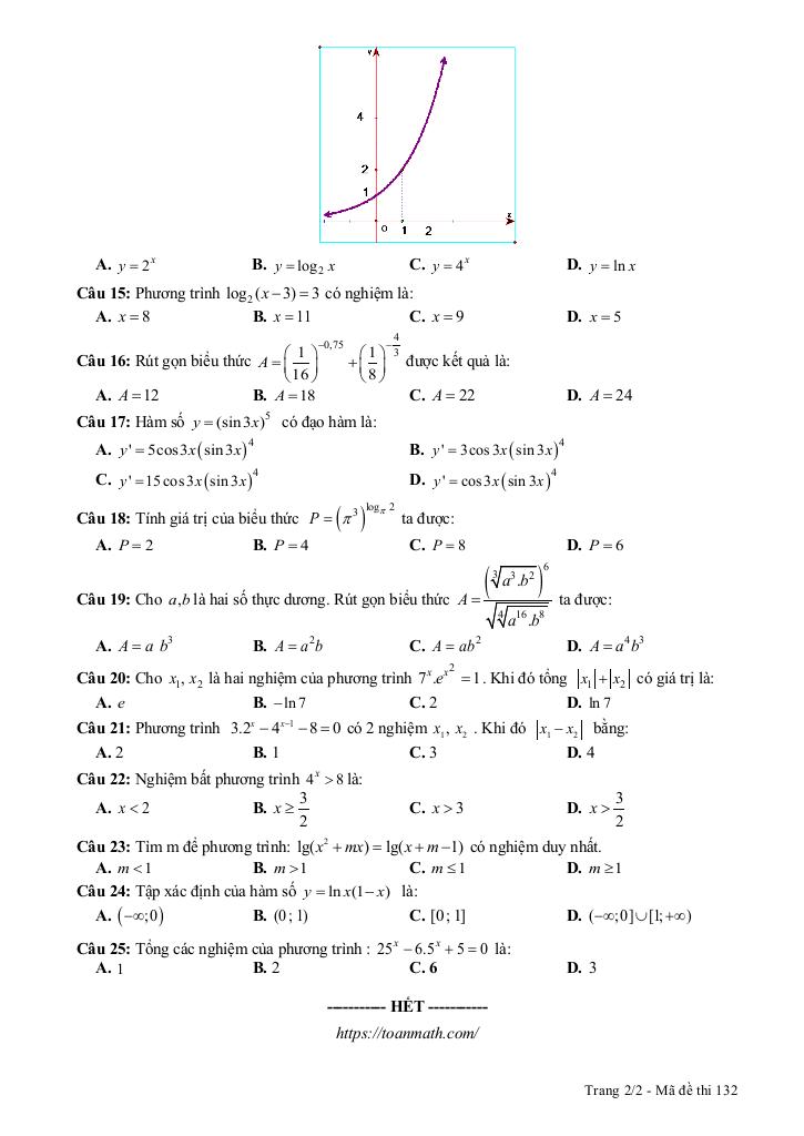
  • Câu 2: Cho biểu thức log3 a < loga e thì cơ số a phải thỏa mãn điều kiện nào? (Nhận xét: Câu hỏi này tập trung vào việc so sánh các logarit với các cơ số khác nhau. Để giải quyết, học sinh cần đổi cơ số logarit về cùng một cơ số và sử dụng các tính chất của bất đẳng thức logarit.)
  • Câu 3: Cho x1, x2 là hai nghiệm của phương trình 7x.ex2 = 1. Khi đó tổng |x1| + |x2| có giá trị là? (Nhận xét: Đây là một câu hỏi nâng cao, đòi hỏi học sinh phải có khả năng phân tích và biến đổi phương trình một cách khéo léo. Việc sử dụng các phương pháp giải phương trình mũ và logarit kết hợp với việc xét tính đối xứng của hàm số có thể giúp học sinh tìm ra đáp án chính xác.)

Đề kiểm tra này là một tài liệu tham khảo hữu ích cho cả thầy cô và học sinh trong quá trình dạy và học. Đối với thầy cô, đề thi có thể được sử dụng để đánh giá năng lực của học sinh và điều chỉnh phương pháp giảng dạy. Đối với học sinh, đề thi là cơ hội để tự kiểm tra kiến thức và rèn luyện kỹ năng giải bài tập.

Để thuận tiện cho việc sử dụng, giaibaitoan.com cung cấp file WORD của đề kiểm tra để quý thầy cô có thể dễ dàng chỉnh sửa và sử dụng. Các em học sinh có thể tải về để tự luyện tập.

File WORD (dành cho quý thầy, cô): TẢI XUỐNG

Chinh phục điểm cao Kỳ thi Tốt nghiệp THPT Quốc gia môn Toán, rộng mở cánh cửa Đại học với nội dung đề kiểm tra giải tích 12 chương 2 năm 2019 – 2020 trường nguyễn bỉnh khiêm – gia lai trong chuyên mục sgk toán 12 trên nền tảng đề thi toán! Bộ bài tập toán thpt, được biên soạn chuyên sâu, bám sát cấu trúc đề thi và chương trình Toán 12, cam kết tối ưu hóa toàn diện lộ trình ôn luyện. Qua đó, học sinh không chỉ làm chủ mọi dạng bài thi mà còn trang bị chiến thuật làm bài hiệu quả, tự tin đạt kết quả đột phá, tạo nền tảng vững chắc cho Kỳ thi Tốt nghiệp THPT Quốc gia và hành trang vững vàng vào đại học, nhờ phương pháp tiếp cận trực quan, khoa học và mang lại hiệu quả học tập vượt trội.
images-post/de-kiem-tra-giai-tich-12-chuong-2-nam-2019-2020-truong-nguyen-binh-khiem-gia-lai-1.jpgimages-post/de-kiem-tra-giai-tich-12-chuong-2-nam-2019-2020-truong-nguyen-binh-khiem-gia-lai-2.jpgimages-post/de-kiem-tra-giai-tich-12-chuong-2-nam-2019-2020-truong-nguyen-binh-khiem-gia-lai-3.jpg

File đề kiểm tra giải tích 12 chương 2 năm 2019 – 2020 trường nguyễn bỉnh khiêm – gia lai PDF Chi Tiết

TÌM KIẾM THEO TỪ KHÓA