Logo Header
  1. Môn Toán
  2. bộ đề ôn tập kiểm tra 1 tiết giải tích 12 chương 2 chủ đề mũ – logarit có đáp án

bộ đề ôn tập kiểm tra 1 tiết giải tích 12 chương 2 chủ đề mũ – logarit có đáp án

Bạn đang xem tài liệu bộ đề ôn tập kiểm tra 1 tiết giải tích 12 chương 2 chủ đề mũ – logarit có đáp án được biên soạn theo tài liệu toán mới nhất. Tài liệu này hệ thống hóa kiến thức một cách khoa học, phù hợp cho mọi lộ trình học từ cơ bản đến nâng cao. Hãy khai thác triệt để nội dung để bứt phá điểm số và tự tin chinh phục mọi kỳ thi nhé!

Tuyển tập đề trắc nghiệm Giải tích 12 Chương 2: Mũ và Logarit – Đánh giá chi tiết

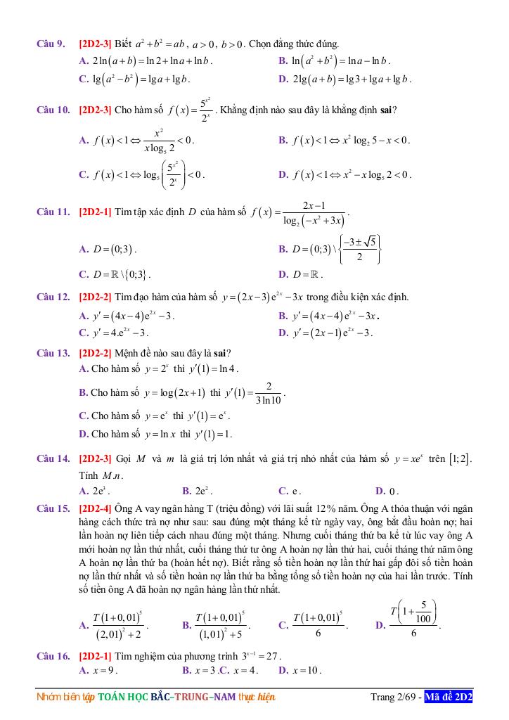
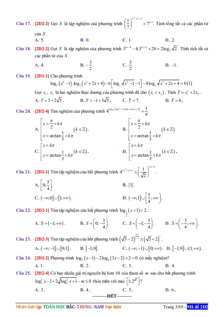
Tài liệu ôn tập gồm 70 trang do thầy Trần Quốc Nghĩa biên soạn là một nguồn tài liệu hữu ích dành cho học sinh lớp 12 đang chuẩn bị cho các bài kiểm tra 1 tiết môn Giải tích, tập trung vào chủ đề mũ và logarit. Tài liệu cung cấp một số lượng lớn các câu hỏi trắc nghiệm, đi kèm với đáp án, giúp học sinh rèn luyện kỹ năng giải đề và củng cố kiến thức lý thuyết.

Dưới đây là phân tích chi tiết một số câu hỏi trắc nghiệm tiêu biểu được trích dẫn từ tài liệu, cùng với nhận xét về mức độ và hình thức đề:

  1. Câu hỏi 1: Phát biểu nào sau đây không đúng?
    • A. Hai hàm số y = a^x và y = log_a x có cùng tập giá trị.
    • B. Hai đồ thị hàm số y = a^x và y = log_a x đối xứng nhau qua đường thẳng y = x.
    • C. Hai hàm số y = a^x và y = log_a x có cùng tính đơn điệu.
    • D. Hai đồ thị hàm số y = a^x và y = log_a x đều có đường tiệm cận.

    Nhận xét: Đây là một câu hỏi đánh giá sự hiểu biết sâu sắc về mối quan hệ giữa hàm số mũ và hàm số logarit. Học sinh cần nắm vững các tính chất về tập giá trị, tính đối xứng và tính đơn điệu của hai hàm số này. Đáp án đúng là A, vì tập giá trị của y = a^x là (0; +∞) còn tập giá trị của y = log_a x là (-∞; +∞).

  2. Câu hỏi 2: Tìm giá trị nhỏ nhất của hàm số y = ln x trên [1;e].
    • A. Không xác định được giá trị nhỏ nhất.
    • B. min y = 1 khi x = 1.
    • C. min y = e khi x = e.
    • D. min y = 0 khi x = 1.

    Nhận xét: Câu hỏi này kiểm tra khả năng vận dụng kiến thức về hàm số logarit tự nhiên và tìm giá trị nhỏ nhất của hàm số trên một khoảng cho trước. Học sinh cần biết hàm số y = ln x đồng biến trên khoảng (0; +∞). Do đó, giá trị nhỏ nhất của hàm số trên [1;e] đạt được tại x = 1. Đáp án đúng là B.

  3. Câu hỏi 3: Tìm mệnh đề đúng trong các mệnh đề sau:
    • A. Hàm số y = log_a x với a > 1 nghịch biến trên khoảng (0;+∞).
    • B. Hàm số y = a^x với 0 < a < 1 đồng biến trên khoảng (0;+∞).
    • C. Hàm số y = log x với nghịch biến trên khoảng (0;+∞).
    • D. Hàm số y = a^x với 0 < a < 1 nghịch biến trên khoảng (-∞;+∞).

    Nhận xét: Đây là một câu hỏi trắc nghiệm đánh giá kiến thức cơ bản về tính đơn điệu của hàm số mũ và hàm số logarit. Học sinh cần nắm vững các trường hợp a > 1 và 0 < a < 1. Đáp án đúng là D, vì hàm số y = a^x với 0 < a < 1 là hàm số nghịch biến trên khoảng (-∞; +∞).

Đánh giá chung:

Các câu hỏi trắc nghiệm trong tài liệu có mức độ từ dễ đến trung bình, phù hợp với mục tiêu ôn tập kiểm tra 1 tiết. Các câu hỏi tập trung vào các kiến thức trọng tâm của chương, bao gồm:

  • Định nghĩa và tính chất của hàm số mũ và hàm số logarit.
  • Mối quan hệ giữa hàm số mũ và hàm số logarit.
  • Tính đơn điệu của hàm số mũ và hàm số logarit.
  • Ứng dụng của hàm số mũ và hàm số logarit trong giải quyết các bài toán thực tế.

Tài liệu này là một công cụ hỗ trợ học tập hiệu quả, giúp học sinh tự đánh giá năng lực và chuẩn bị tốt nhất cho các bài kiểm tra.

Chinh phục điểm cao Kỳ thi Tốt nghiệp THPT Quốc gia môn Toán, rộng mở cánh cửa Đại học với nội dung bộ đề ôn tập kiểm tra 1 tiết giải tích 12 chương 2 chủ đề mũ – logarit có đáp án trong chuyên mục đề thi toán 12 trên nền tảng tài liệu toán! Bộ bài tập lý thuyết toán thpt, được biên soạn chuyên sâu, bám sát cấu trúc đề thi và chương trình Toán 12, cam kết tối ưu hóa toàn diện lộ trình ôn luyện. Qua đó, học sinh không chỉ làm chủ mọi dạng bài thi mà còn trang bị chiến thuật làm bài hiệu quả, tự tin đạt kết quả đột phá, tạo nền tảng vững chắc cho Kỳ thi Tốt nghiệp THPT Quốc gia và hành trang vững vàng vào đại học, nhờ phương pháp tiếp cận trực quan, khoa học và mang lại hiệu quả học tập vượt trội.
images-post/bo-de-on-tap-kiem-tra-1-tiet-giai-tich-12-chuong-2-chu-de-mu-logarit-co-dap-an-01.jpgimages-post/bo-de-on-tap-kiem-tra-1-tiet-giai-tich-12-chuong-2-chu-de-mu-logarit-co-dap-an-02.jpgimages-post/bo-de-on-tap-kiem-tra-1-tiet-giai-tich-12-chuong-2-chu-de-mu-logarit-co-dap-an-03.jpgimages-post/bo-de-on-tap-kiem-tra-1-tiet-giai-tich-12-chuong-2-chu-de-mu-logarit-co-dap-an-04.jpgimages-post/bo-de-on-tap-kiem-tra-1-tiet-giai-tich-12-chuong-2-chu-de-mu-logarit-co-dap-an-05.jpgimages-post/bo-de-on-tap-kiem-tra-1-tiet-giai-tich-12-chuong-2-chu-de-mu-logarit-co-dap-an-06.jpgimages-post/bo-de-on-tap-kiem-tra-1-tiet-giai-tich-12-chuong-2-chu-de-mu-logarit-co-dap-an-07.jpgimages-post/bo-de-on-tap-kiem-tra-1-tiet-giai-tich-12-chuong-2-chu-de-mu-logarit-co-dap-an-08.jpgimages-post/bo-de-on-tap-kiem-tra-1-tiet-giai-tich-12-chuong-2-chu-de-mu-logarit-co-dap-an-09.jpgimages-post/bo-de-on-tap-kiem-tra-1-tiet-giai-tich-12-chuong-2-chu-de-mu-logarit-co-dap-an-10.jpg

File bộ đề ôn tập kiểm tra 1 tiết giải tích 12 chương 2 chủ đề mũ – logarit có đáp án PDF Chi Tiết

TÌM KIẾM THEO TỪ KHÓA