Đề kiểm tra 45 phút Giải tích 12 – Chương 2: Lũy thừa, Mũ và Logarit (Trường THPT Thanh Hà, Hải Dương)
Đề kiểm tra 45 phút Giải tích 12 chương 2 của trường THPT Thanh Hà, Hải Dương là một công cụ đánh giá hữu ích cho học sinh trong việc nắm vững kiến thức về lũy thừa, mũ và logarit. Đề thi có cấu trúc gồm 25 câu hỏi trắc nghiệm, được chia thành 4 mã đề khác nhau, đảm bảo tính đa dạng và giảm thiểu tình trạng học sinh trao đổi đáp án. Điểm đáng chú ý là đề thi đã có đáp án, tạo điều kiện thuận lợi cho việc tự học và ôn tập.
Phân tích nội dung và dạng câu hỏi:
Đề thi tập trung vào các khía cạnh quan trọng của chương học, bao gồm:
Đánh giá một số câu hỏi trích dẫn:
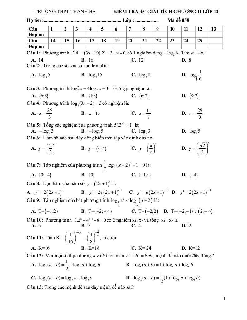
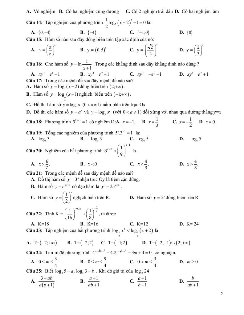
Đây là một câu hỏi đánh giá khả năng phân tích và hiểu sâu sắc về các tính chất của hàm số mũ và logarit. Đáp án đúng đòi hỏi học sinh phải nắm vững các quy tắc về đồ thị, tính đơn điệu và mối quan hệ đối xứng. Mệnh đề D ("Đồ thị hàm số y = loga x (0 < a ≠ 1) nằm phía trên trục Ox") là sai vì đồ thị hàm số logarit cắt trục Ox tại x = 1.
Đây là một bài toán ứng dụng thực tế, giúp học sinh thấy được tính hữu ích của kiến thức toán học trong cuộc sống. Để giải bài toán này, học sinh cần sử dụng công thức tính lãi kép (hoặc công thức tính giá trị tương lai với lãi suất cố định): Giá năm 2025 = Giá năm 2017 * (1 + tỷ lệ lạm phát)^số năm = 18000 * (1 + 0.05)^8 ≈ 26594,20 VNĐ/lít. Do đó, đáp án đúng là D.
Câu hỏi này kiểm tra kiến thức về đạo hàm của hàm số mũ và tính chất của hàm số mũ và logarit. Mệnh đề D ("Đồ thị hàm số y = 3^x nhận trục Oy là tiệm cận đứng") là sai. Đồ thị hàm số y = 3^x có tiệm cận ngang là trục Ox (y = 0), không phải tiệm cận đứng.
Nhận xét chung:
Đề kiểm tra được xây dựng khá tốt, bao phủ các kiến thức trọng tâm của chương học. Các câu hỏi có tính phân loại rõ ràng, từ những câu hỏi kiểm tra kiến thức cơ bản đến những câu hỏi đòi hỏi khả năng vận dụng và phân tích. Việc cung cấp File WORD cho giáo viên là một điểm cộng, giúp giáo viên dễ dàng chỉnh sửa và sử dụng đề thi trong quá trình giảng dạy.
Đề thi này là một tài liệu tham khảo hữu ích cho học sinh và giáo viên trong quá trình ôn tập và giảng dạy chương Lũy thừa, Mũ và Logarit.








