Logo Header
  1. Môn Toán
  2. đề kiểm tra giải tích 12 chương 2 (mũ – logarit) trường thpt nguyễn trung trực – bình định

đề kiểm tra giải tích 12 chương 2 (mũ – logarit) trường thpt nguyễn trung trực – bình định

Bạn đang xem tài liệu đề kiểm tra giải tích 12 chương 2 (mũ – logarit) trường thpt nguyễn trung trực – bình định được biên soạn theo môn toán mới nhất. Tài liệu này hệ thống hóa kiến thức một cách khoa học, phù hợp cho mọi lộ trình học từ cơ bản đến nâng cao. Hãy khai thác triệt để nội dung để bứt phá điểm số và tự tin chinh phục mọi kỳ thi nhé!

Đánh giá chi tiết đề kiểm tra Giải tích 12 – Chương 2: Lũy thừa, Mũ và Logarit (THPT Nguyễn Trung Trực, Bình Định)

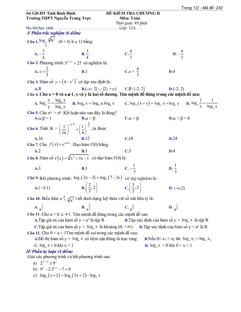
Đề kiểm tra Giải tích 12 chương 2 của trường THPT Nguyễn Trung Trực – Bình Định là một đề kiểm tra có cấu trúc khá điển hình, bao gồm 8 mã đề, mỗi đề gồm 12 câu trắc nghiệm và 3 câu hỏi tự luận, được thiết kế trong thời gian 45 phút (1 tiết học). Nội dung đề tập trung vào các kiến thức trọng tâm của chương Lũy thừa, Mũ và Logarit, đánh giá khả năng nắm vững lý thuyết và vận dụng các tính chất cơ bản của học sinh.

Điểm đáng chú ý của đề là đã có đáp án, đây là một lợi thế lớn cho giáo viên trong quá trình chấm và phân tích kết quả, cũng như hỗ trợ học sinh tự học và ôn tập. Việc cung cấp file WORD cũng tạo điều kiện thuận lợi cho đồng nghiệp có thể sử dụng và điều chỉnh đề thi cho phù hợp với tình hình giảng dạy của mình.

Phân tích một số câu hỏi trích dẫn:

  1. Câu hỏi 1: "Cho a > 0, a ≠ 1. Tìm mệnh đề đúng trong các mệnh đề sau:"
  2. Câu hỏi này kiểm tra sự hiểu biết cơ bản về tập giá trị và tập xác định của hàm số mũ và hàm số logarit.

    • Đáp án đúng là D. Tập xác định của hàm số y = a^x là R.
    • Các đáp án A, B, C đều sai do tập giá trị/tập xác định của hàm số mũ và logarit có những ràng buộc nhất định.
  3. Câu hỏi 2: "Cho a > 0 và a > 1. Tìm mệnh đề đúng trong các mệnh đề sau:"
  4. Câu hỏi này tập trung vào các tính chất của logarit, đòi hỏi học sinh phải nắm vững các công thức và quy tắc.

    • Đáp án đúng là D. loga x^n = giaibaitoan.com x (x > 0, n ≠ 0).
    • Các đáp án A, B, C đều sai, thể hiện sự nhầm lẫn về điều kiện xác định, tính chất của logarit và giá trị của logarit tại các điểm đặc biệt.
  5. Câu hỏi 3: "Cho a > 1. Tìm mệnh đề sai trong các mệnh đề sau:"
  6. Câu hỏi này kiểm tra khả năng phân tích và đánh giá các mệnh đề liên quan đến tính chất của hàm số logarit và chiều biến thiên của nó.

    • Đáp án sai cần tìm là C. Đồ thị hàm số y = có tiệm cận ngang là trục hoành. (Đồ thị hàm số y = loga x có tiệm cận đứng là x = 0)
    • Các đáp án A, B, D đều đúng, thể hiện sự hiểu biết về chiều biến thiên và tính chất của hàm số logarit khi a > 1.

Nhận xét chung:

Các câu hỏi trích dẫn cho thấy đề kiểm tra có độ khó vừa phải, tập trung vào các kiến thức cốt lõi của chương. Các câu hỏi được trình bày rõ ràng, dễ hiểu, giúp học sinh dễ dàng tiếp cận và trả lời. Tuy nhiên, để nâng cao chất lượng đề kiểm tra, có thể bổ sung thêm các câu hỏi vận dụng cao, yêu cầu học sinh phải kết hợp nhiều kiến thức khác nhau để giải quyết vấn đề. Ngoài ra, việc tăng cường các câu hỏi tự luận cũng sẽ giúp đánh giá sâu sắc hơn khả năng tư duy và vận dụng kiến thức của học sinh.

File WORD (dành cho quý thầy, cô): TẢI XUỐNG

Chinh phục điểm cao Kỳ thi Tốt nghiệp THPT Quốc gia môn Toán, rộng mở cánh cửa Đại học với nội dung đề kiểm tra giải tích 12 chương 2 (mũ – logarit) trường thpt nguyễn trung trực – bình định trong chuyên mục toán lớp 12 trên nền tảng môn toán! Bộ bài tập toán thpt, được biên soạn chuyên sâu, bám sát cấu trúc đề thi và chương trình Toán 12, cam kết tối ưu hóa toàn diện lộ trình ôn luyện. Qua đó, học sinh không chỉ làm chủ mọi dạng bài thi mà còn trang bị chiến thuật làm bài hiệu quả, tự tin đạt kết quả đột phá, tạo nền tảng vững chắc cho Kỳ thi Tốt nghiệp THPT Quốc gia và hành trang vững vàng vào đại học, nhờ phương pháp tiếp cận trực quan, khoa học và mang lại hiệu quả học tập vượt trội.
images-post/de-kiem-tra-giai-tich-12-chuong-2-mu-logarit-truong-thpt-nguyen-trung-truc-binh-dinh-01.jpgimages-post/de-kiem-tra-giai-tich-12-chuong-2-mu-logarit-truong-thpt-nguyen-trung-truc-binh-dinh-02.jpgimages-post/de-kiem-tra-giai-tich-12-chuong-2-mu-logarit-truong-thpt-nguyen-trung-truc-binh-dinh-03.jpgimages-post/de-kiem-tra-giai-tich-12-chuong-2-mu-logarit-truong-thpt-nguyen-trung-truc-binh-dinh-04.jpgimages-post/de-kiem-tra-giai-tich-12-chuong-2-mu-logarit-truong-thpt-nguyen-trung-truc-binh-dinh-05.jpgimages-post/de-kiem-tra-giai-tich-12-chuong-2-mu-logarit-truong-thpt-nguyen-trung-truc-binh-dinh-06.jpgimages-post/de-kiem-tra-giai-tich-12-chuong-2-mu-logarit-truong-thpt-nguyen-trung-truc-binh-dinh-07.jpgimages-post/de-kiem-tra-giai-tich-12-chuong-2-mu-logarit-truong-thpt-nguyen-trung-truc-binh-dinh-08.jpgimages-post/de-kiem-tra-giai-tich-12-chuong-2-mu-logarit-truong-thpt-nguyen-trung-truc-binh-dinh-09.jpgimages-post/de-kiem-tra-giai-tich-12-chuong-2-mu-logarit-truong-thpt-nguyen-trung-truc-binh-dinh-10.jpg

File đề kiểm tra giải tích 12 chương 2 (mũ – logarit) trường thpt nguyễn trung trực – bình định PDF Chi Tiết

TÌM KIẾM THEO TỪ KHÓA