Logo Header
  1. Môn Toán
  2. đề kiểm tra 1 tiết giải tích 12 chương 2 (mũ – logarit) năm học 2017 – 2018 trường đông du – đăk lăk

đề kiểm tra 1 tiết giải tích 12 chương 2 (mũ – logarit) năm học 2017 – 2018 trường đông du – đăk lăk

Bạn đang xem tài liệu đề kiểm tra 1 tiết giải tích 12 chương 2 (mũ – logarit) năm học 2017 – 2018 trường đông du – đăk lăk được biên soạn theo đề thi toán mới nhất. Tài liệu này hệ thống hóa kiến thức một cách khoa học, phù hợp cho mọi lộ trình học từ cơ bản đến nâng cao. Hãy khai thác triệt để nội dung để bứt phá điểm số và tự tin chinh phục mọi kỳ thi nhé!

Phân tích Đề Kiểm Tra 1 Tiết Giải Tích 12 – Chương Hàm Số Lũy Thừa, Hàm Số Mũ và Hàm Số Logarit (Năm học 2017-2018, THPT Đông Du, Đăk Lăk)

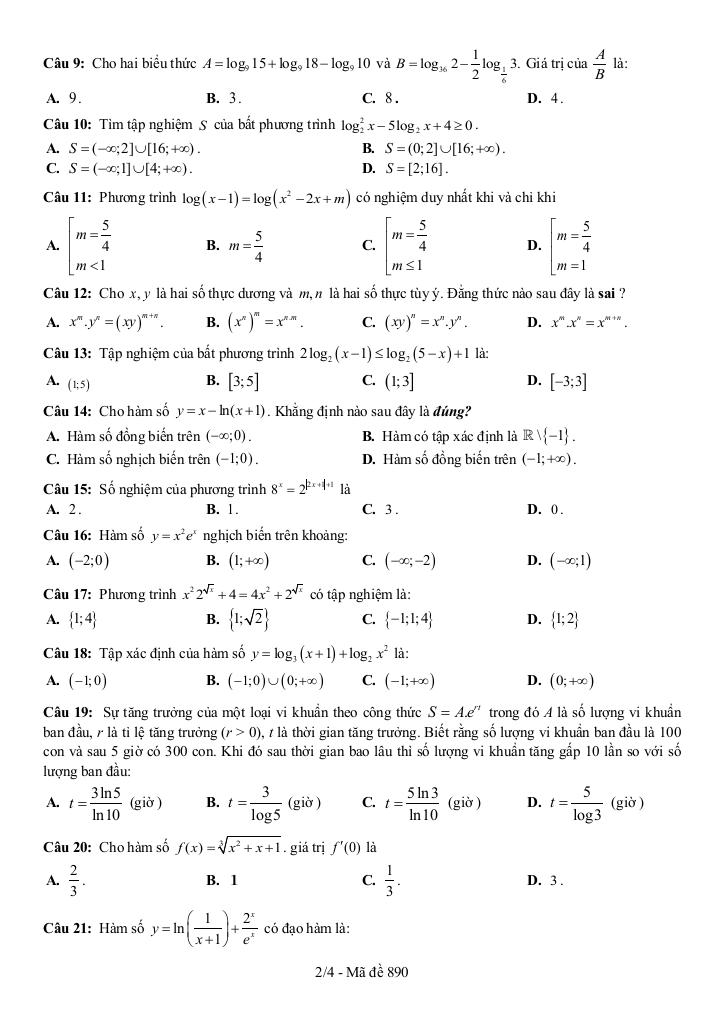
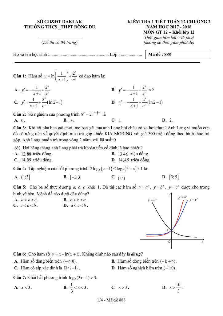
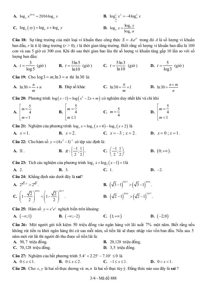
Đề kiểm tra 1 tiết Giải tích 12 của trường THPT Đông Du, Đăk Lăk (năm học 2017-2018) tập trung vào chương Hàm số lũy thừa, hàm số mũ và hàm số logarit, với cấu trúc gồm 4 mã đề, mỗi đề 32 câu hỏi trắc nghiệm, thời gian làm bài 45 phút. Đề có kèm đáp án, tạo điều kiện thuận lợi cho việc tự học và ôn tập của học sinh, cũng như công tác giảng dạy của giáo viên.

Đánh giá chung về nội dung đề:

Đề thi có độ khó tương đối, bao gồm các câu hỏi kiểm tra kiến thức cơ bản về định nghĩa, tính chất của hàm số lũy thừa, hàm số mũ và hàm số logarit, cũng như khả năng vận dụng các kiến thức này vào giải quyết các bài toán thực tế. Các bài toán được thiết kế gắn liền với các tình huống thường gặp trong đời sống, giúp học sinh thấy được tính ứng dụng của toán học.

Phân tích chi tiết một số câu hỏi tiêu biểu:

  1. Bài toán về trả góp (KIA MORNING): Đây là một bài toán thực tế về lãi suất ngân hàng, yêu cầu học sinh vận dụng kiến thức về hàm số mũ để tính toán khoản tiền trả hàng tháng. Bài toán này kiểm tra khả năng xây dựng mô hình toán học từ một tình huống thực tế và giải quyết bài toán bằng công thức lãi kép.
  2. Bài toán về gửi tiết kiệm: Tương tự như bài toán trên, đây là một bài toán về lãi suất ngân hàng, nhưng tập trung vào việc tính số tiền lãi sau một khoảng thời gian nhất định. Bài toán này kiểm tra khả năng hiểu và áp dụng công thức lãi kép.
  3. Bài toán về sự tăng trưởng của vi khuẩn: Bài toán này sử dụng mô hình tăng trưởng theo hàm số mũ để mô tả sự phát triển của vi khuẩn. Học sinh cần xác định các tham số của hàm số (A, r) từ các dữ kiện đề bài cung cấp và sau đó giải phương trình để tìm thời gian cần thiết để số lượng vi khuẩn tăng gấp 10 lần. Bài toán này đòi hỏi học sinh phải nắm vững kiến thức về hàm số mũ và logarit, cũng như kỹ năng giải phương trình.

Nhận xét:

Đề thi được xây dựng khá tốt, bao gồm các câu hỏi có tính phân loại rõ ràng, từ các câu hỏi kiểm tra kiến thức cơ bản đến các câu hỏi vận dụng và nâng cao. Các bài toán thực tế được đưa ra giúp học sinh hiểu rõ hơn về ứng dụng của hàm số lũy thừa, hàm số mũ và hàm số logarit trong đời sống. Việc cung cấp file WORD cho giáo viên cũng là một điểm cộng, giúp giáo viên dễ dàng tiếp cận và sử dụng đề thi trong quá trình giảng dạy.

Gợi ý ôn tập:

  • Nắm vững định nghĩa, tính chất của hàm số lũy thừa, hàm số mũ và hàm số logarit.
  • Luyện tập giải các bài toán về lãi suất ngân hàng, tăng trưởng dân số, sự phân rã phóng xạ,…
  • Rèn luyện kỹ năng giải phương trình mũ và phương trình logarit.
  • Làm quen với các dạng bài tập trắc nghiệm thường gặp trong các đề thi.
Chinh phục điểm cao Kỳ thi Tốt nghiệp THPT Quốc gia môn Toán, rộng mở cánh cửa Đại học với nội dung đề kiểm tra 1 tiết giải tích 12 chương 2 (mũ – logarit) năm học 2017 – 2018 trường đông du – đăk lăk trong chuyên mục đề thi toán 12 trên nền tảng đề thi toán! Bộ bài tập toán thpt, được biên soạn chuyên sâu, bám sát cấu trúc đề thi và chương trình Toán 12, cam kết tối ưu hóa toàn diện lộ trình ôn luyện. Qua đó, học sinh không chỉ làm chủ mọi dạng bài thi mà còn trang bị chiến thuật làm bài hiệu quả, tự tin đạt kết quả đột phá, tạo nền tảng vững chắc cho Kỳ thi Tốt nghiệp THPT Quốc gia và hành trang vững vàng vào đại học, nhờ phương pháp tiếp cận trực quan, khoa học và mang lại hiệu quả học tập vượt trội.
images-post/de-kiem-tra-1-tiet-giai-tich-12-chuong-2-mu-logarit-nam-hoc-2017-2018-truong-dong-du-dak-lak-01.jpgimages-post/de-kiem-tra-1-tiet-giai-tich-12-chuong-2-mu-logarit-nam-hoc-2017-2018-truong-dong-du-dak-lak-02.jpgimages-post/de-kiem-tra-1-tiet-giai-tich-12-chuong-2-mu-logarit-nam-hoc-2017-2018-truong-dong-du-dak-lak-03.jpgimages-post/de-kiem-tra-1-tiet-giai-tich-12-chuong-2-mu-logarit-nam-hoc-2017-2018-truong-dong-du-dak-lak-04.jpgimages-post/de-kiem-tra-1-tiet-giai-tich-12-chuong-2-mu-logarit-nam-hoc-2017-2018-truong-dong-du-dak-lak-05.jpgimages-post/de-kiem-tra-1-tiet-giai-tich-12-chuong-2-mu-logarit-nam-hoc-2017-2018-truong-dong-du-dak-lak-06.jpgimages-post/de-kiem-tra-1-tiet-giai-tich-12-chuong-2-mu-logarit-nam-hoc-2017-2018-truong-dong-du-dak-lak-07.jpgimages-post/de-kiem-tra-1-tiet-giai-tich-12-chuong-2-mu-logarit-nam-hoc-2017-2018-truong-dong-du-dak-lak-08.jpgimages-post/de-kiem-tra-1-tiet-giai-tich-12-chuong-2-mu-logarit-nam-hoc-2017-2018-truong-dong-du-dak-lak-09.jpgimages-post/de-kiem-tra-1-tiet-giai-tich-12-chuong-2-mu-logarit-nam-hoc-2017-2018-truong-dong-du-dak-lak-10.jpg

File đề kiểm tra 1 tiết giải tích 12 chương 2 (mũ – logarit) năm học 2017 – 2018 trường đông du – đăk lăk PDF Chi Tiết

TÌM KIẾM THEO TỪ KHÓA