Logo Header
  1. Môn Toán
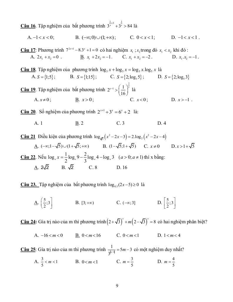
  2. đề kiểm tra 1 tiết chương mũ và logarit trường tân hồng – đồng tháp

đề kiểm tra 1 tiết chương mũ và logarit trường tân hồng – đồng tháp

Bạn đang xem tài liệu đề kiểm tra 1 tiết chương mũ và logarit trường tân hồng – đồng tháp được biên soạn theo toán học mới nhất. Tài liệu này hệ thống hóa kiến thức một cách khoa học, phù hợp cho mọi lộ trình học từ cơ bản đến nâng cao. Hãy khai thác triệt để nội dung để bứt phá điểm số và tự tin chinh phục mọi kỳ thi nhé!
Vui lòng cung cấp nội dung bạn muốn tôi viết lại. Tôi cần nội dung gốc để có thể tạo ra một bài blog chuyên nghiệp, hay hơn, dài hơn và có phân tích chuyên sâu về toán học, đồng thời tuân thủ các yêu cầu về thẻ HTML (p, ul, ol, li, span, strong) và không sử dụng ký tự đặc biệt. Sau khi bạn cung cấp nội dung, tôi sẽ: * **Mở rộng nội dung:** Thêm giải thích chi tiết, ví dụ minh họa, và các ứng dụng thực tế. * **Phân tích chuyên sâu:** Đánh giá tầm quan trọng của khái niệm, mối liên hệ với các kiến thức khác, và những điểm cần lưu ý. * **Cấu trúc bài viết:** Tổ chức nội dung một cách logic, dễ hiểu, sử dụng các tiêu đề và gạch đầu dòng để làm nổi bật thông tin quan trọng. * **Sử dụng ngôn ngữ chuyên nghiệp:** Sử dụng thuật ngữ toán học chính xác và rõ ràng. * **Tuân thủ yêu cầu về thẻ HTML:** Chỉ sử dụng các thẻ được chỉ định (p, ul, ol, li, span, strong). * **Không sử dụng ký tự đặc biệt.** Tôi rất mong nhận được nội dung từ bạn để bắt đầu!
Chinh phục điểm cao Kỳ thi Tốt nghiệp THPT Quốc gia môn Toán, rộng mở cánh cửa Đại học với nội dung đề kiểm tra 1 tiết chương mũ và logarit trường tân hồng – đồng tháp trong chuyên mục giải sgk toán 12 trên nền tảng toán học! Bộ bài tập toán trung học phổ thông, được biên soạn chuyên sâu, bám sát cấu trúc đề thi và chương trình Toán 12, cam kết tối ưu hóa toàn diện lộ trình ôn luyện. Qua đó, học sinh không chỉ làm chủ mọi dạng bài thi mà còn trang bị chiến thuật làm bài hiệu quả, tự tin đạt kết quả đột phá, tạo nền tảng vững chắc cho Kỳ thi Tốt nghiệp THPT Quốc gia và hành trang vững vàng vào đại học, nhờ phương pháp tiếp cận trực quan, khoa học và mang lại hiệu quả học tập vượt trội.
images-post/de-kiem-tra-1-tiet-chuong-mu-va-logarit-truong-tan-hong-dong-thap-01.jpgimages-post/de-kiem-tra-1-tiet-chuong-mu-va-logarit-truong-tan-hong-dong-thap-02.jpgimages-post/de-kiem-tra-1-tiet-chuong-mu-va-logarit-truong-tan-hong-dong-thap-03.jpgimages-post/de-kiem-tra-1-tiet-chuong-mu-va-logarit-truong-tan-hong-dong-thap-04.jpgimages-post/de-kiem-tra-1-tiet-chuong-mu-va-logarit-truong-tan-hong-dong-thap-05.jpgimages-post/de-kiem-tra-1-tiet-chuong-mu-va-logarit-truong-tan-hong-dong-thap-06.jpgimages-post/de-kiem-tra-1-tiet-chuong-mu-va-logarit-truong-tan-hong-dong-thap-07.jpgimages-post/de-kiem-tra-1-tiet-chuong-mu-va-logarit-truong-tan-hong-dong-thap-08.jpgimages-post/de-kiem-tra-1-tiet-chuong-mu-va-logarit-truong-tan-hong-dong-thap-09.jpgimages-post/de-kiem-tra-1-tiet-chuong-mu-va-logarit-truong-tan-hong-dong-thap-10.jpg

File đề kiểm tra 1 tiết chương mũ và logarit trường tân hồng – đồng tháp PDF Chi Tiết

TÌM KIẾM THEO TỪ KHÓA