Logo Header
  1. Môn Toán
  2. đề kiểm tra 45 phút giải tích 12 chương 2 trường sơn động 1 – bắc giang

đề kiểm tra 45 phút giải tích 12 chương 2 trường sơn động 1 – bắc giang

Bạn đang xem tài liệu đề kiểm tra 45 phút giải tích 12 chương 2 trường sơn động 1 – bắc giang được biên soạn theo học toán mới nhất. Tài liệu này hệ thống hóa kiến thức một cách khoa học, phù hợp cho mọi lộ trình học từ cơ bản đến nâng cao. Hãy khai thác triệt để nội dung để bứt phá điểm số và tự tin chinh phục mọi kỳ thi nhé!

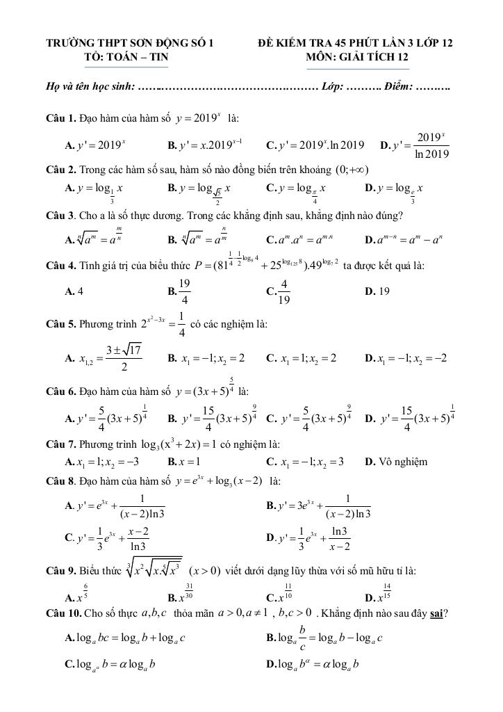
Phân tích Đề Kiểm tra Định kỳ Giải tích 12 – Trường THPT Sơn Động số 1, Bắc Giang (Lần 3, Năm học 2019-2020)

Ngày … tháng 11 năm 2019, trường THPT Sơn Động số 1, tỉnh Bắc Giang đã tổ chức kiểm tra định kỳ môn Toán lớp 12 lần thứ 3, tập trung vào chương 2 Giải tích 12. Đề thi có thời lượng 45 phút, bao gồm 20 câu trắc nghiệm, đánh giá kiến thức về hàm số lũy thừa, hàm số mũ và hàm số logarit. Đề thi được cung cấp kèm đáp án (được đánh dấu màu đỏ), tạo điều kiện thuận lợi cho việc tự học và ôn tập.

Đánh giá chung về đề thi:

Đề thi có cấu trúc rõ ràng, tập trung vào các kiến thức trọng tâm của chương. Các câu hỏi trắc nghiệm được xây dựng ở mức độ vừa phải, đòi hỏi học sinh không chỉ nắm vững lý thuyết mà còn cần vận dụng linh hoạt để giải quyết vấn đề. Đề thi có sự phân hóa hợp lý, giúp đánh giá được năng lực của học sinh một cách khách quan.

Phân tích một số câu hỏi tiêu biểu:

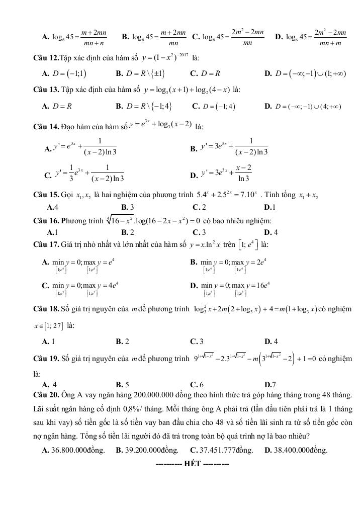
  • Câu hỏi ứng dụng thực tế (Vay ngân hàng): Câu hỏi về ông A vay ngân hàng là một ví dụ điển hình cho việc ứng dụng kiến thức về lãi kép và chuỗi số trong thực tế tài chính. Đây là dạng bài tập giúp học sinh hiểu rõ hơn về các khái niệm toán học và khả năng áp dụng vào cuộc sống. Để giải quyết bài toán này, học sinh cần hiểu rõ cách tính lãi hàng tháng, số tiền gốc còn nợ và tổng số tiền lãi phải trả.
  • Câu hỏi về tính chất logarit: Câu hỏi về các khẳng định logarit kiểm tra sự hiểu biết của học sinh về các tính chất cơ bản của logarit, bao gồm logarit của tích, thương, lũy thừa. Việc nhận biết khẳng định sai đòi hỏi học sinh phải nắm vững định nghĩa và các quy tắc biến đổi logarit.
  • Câu hỏi về phương trình logarit: Câu hỏi về phương trình (log3 x)2 + 2m(2 + log3 x) + 4 = m(1 + log3 x) có nghiệm x thuộc [1;27] là một bài toán điển hình về phương trình logarit. Để giải quyết bài toán này, học sinh cần thực hiện phép đặt ẩn phụ, đưa phương trình về dạng bậc hai và sử dụng điều kiện để phương trình có nghiệm thuộc khoảng cho trước.

Nhận xét:

Đề thi này là một tài liệu tham khảo hữu ích cho học sinh lớp 12 đang ôn tập chương hàm số lũy thừa, hàm số mũ và hàm số logarit. Việc làm quen với các dạng bài tập khác nhau, đặc biệt là các bài toán ứng dụng thực tế, sẽ giúp học sinh tự tin hơn khi làm bài kiểm tra. Đồng thời, đề thi cũng là một công cụ đánh giá hiệu quả cho giáo viên trong việc kiểm tra kiến thức và kỹ năng của học sinh.

Tài liệu hỗ trợ:

Đề thi được cung cấp dưới dạng file WORD, tạo điều kiện thuận lợi cho quý thầy cô trong việc sử dụng và chỉnh sửa để phù hợp với tình hình giảng dạy của mình. (File WORD: TẢI XUỐNG)

Chinh phục điểm cao Kỳ thi Tốt nghiệp THPT Quốc gia môn Toán, rộng mở cánh cửa Đại học với nội dung đề kiểm tra 45 phút giải tích 12 chương 2 trường sơn động 1 – bắc giang trong chuyên mục giải bài tập toán 12 trên nền tảng học toán! Bộ bài tập toán trung học phổ thông, được biên soạn chuyên sâu, bám sát cấu trúc đề thi và chương trình Toán 12, cam kết tối ưu hóa toàn diện lộ trình ôn luyện. Qua đó, học sinh không chỉ làm chủ mọi dạng bài thi mà còn trang bị chiến thuật làm bài hiệu quả, tự tin đạt kết quả đột phá, tạo nền tảng vững chắc cho Kỳ thi Tốt nghiệp THPT Quốc gia và hành trang vững vàng vào đại học, nhờ phương pháp tiếp cận trực quan, khoa học và mang lại hiệu quả học tập vượt trội.
images-post/de-kiem-tra-45-phut-giai-tich-12-chuong-2-truong-son-dong-1-bac-giang-1.jpgimages-post/de-kiem-tra-45-phut-giai-tich-12-chuong-2-truong-son-dong-1-bac-giang-2.jpgimages-post/de-kiem-tra-45-phut-giai-tich-12-chuong-2-truong-son-dong-1-bac-giang-3.jpgimages-post/de-kiem-tra-45-phut-giai-tich-12-chuong-2-truong-son-dong-1-bac-giang-4.jpgimages-post/de-kiem-tra-45-phut-giai-tich-12-chuong-2-truong-son-dong-1-bac-giang-5.jpgimages-post/de-kiem-tra-45-phut-giai-tich-12-chuong-2-truong-son-dong-1-bac-giang-6.jpgimages-post/de-kiem-tra-45-phut-giai-tich-12-chuong-2-truong-son-dong-1-bac-giang-7.jpgimages-post/de-kiem-tra-45-phut-giai-tich-12-chuong-2-truong-son-dong-1-bac-giang-8.jpg

File đề kiểm tra 45 phút giải tích 12 chương 2 trường sơn động 1 – bắc giang PDF Chi Tiết

TÌM KIẾM THEO TỪ KHÓA