Logo Header
  1. Môn Toán
  2. đề kiểm tra chung toán 12 lần 1 hki năm 2018 – 2019 trường hoàng diệu – sóc trăng

đề kiểm tra chung toán 12 lần 1 hki năm 2018 – 2019 trường hoàng diệu – sóc trăng

Bạn đang xem tài liệu đề kiểm tra chung toán 12 lần 1 hki năm 2018 – 2019 trường hoàng diệu – sóc trăng được biên soạn theo toán học mới nhất. Tài liệu này hệ thống hóa kiến thức một cách khoa học, phù hợp cho mọi lộ trình học từ cơ bản đến nâng cao. Hãy khai thác triệt để nội dung để bứt phá điểm số và tự tin chinh phục mọi kỳ thi nhé!

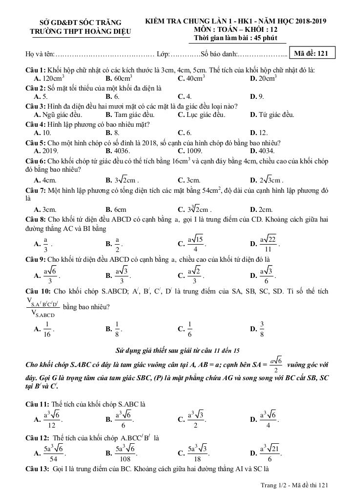
Phân tích Đề Kiểm tra 1 tiết Hình học 12 – Trường Hoàng Diệu, Sóc Trăng (HKI 2018-2019, Mã đề 121)

Đề kiểm tra chung Toán 12 lần 1 HKI năm 2018 – 2019 của trường Hoàng Diệu, Sóc Trăng, mã đề 121, là một đề thi trắc nghiệm đánh giá mức độ nắm vững kiến thức chương 1 Hình học 12, tập trung vào chủ đề khối đa diện và thể tích khối đa diện. Đề thi có cấu trúc gồm 20 câu hỏi trắc nghiệm khách quan, được thiết kế để học sinh hoàn thành trong thời gian 45 phút. Đây là một khoảng thời gian hợp lý để kiểm tra khả năng vận dụng kiến thức cơ bản và kỹ năng giải quyết vấn đề nhanh chóng của học sinh.

Đánh giá chung về đề thi:

  • Tính bao quát: Đề thi bao quát các nội dung trọng tâm của chương 1, bao gồm kiến thức về các loại khối đa diện (đa diện đều, khối tứ diện, khối lăng trụ) và các khái niệm liên quan đến thể tích.
  • Mức độ khó: Dựa trên các câu hỏi được trích dẫn, đề thi có mức độ khó từ trung bình đến khá. Các câu hỏi đòi hỏi học sinh không chỉ nắm vững định nghĩa, tính chất mà còn phải có khả năng hình dung không gian và áp dụng các công thức tính toán.
  • Hình thức: Hình thức trắc nghiệm giúp đánh giá nhanh chóng và khách quan kiến thức của học sinh. Tuy nhiên, hình thức này có thể hạn chế khả năng đánh giá sâu sắc tư duy logic và khả năng trình bày bài giải của học sinh.

Phân tích một số câu hỏi trích dẫn:

  1. Câu hỏi về đa diện đều: "Hình đa diện đều hai mươi mặt có các mặt là đa giác đều loại nào?" Câu hỏi này kiểm tra kiến thức cơ bản về các loại đa diện đều và đặc biệt là hình hai mươi mặt đều (icosahedron). Việc trả lời đúng câu hỏi này đòi hỏi học sinh phải nhớ được cấu trúc của hình đa diện đều này.
  2. Câu hỏi về khoảng cách trong không gian: "Cho khối tứ diện đều ABCD có cạnh bằng a, gọi I là trung điểm của CD. Khoảng cách giữa hai đường thẳng AC và BI bằng?" Đây là một câu hỏi điển hình về việc tính khoảng cách giữa hai đường thẳng trong không gian. Để giải quyết bài toán này, học sinh cần sử dụng kiến thức về hình học không gian, đặc biệt là các định lý về đường thẳng vuông góc và đường thẳng song song.
  3. Câu hỏi về lăng trụ và hình chiếu: "Cho khối lăng trụ ABC.A’B’C’ có đáy là tam giác đều cạnh a, đỉnh A’ có hình chiếu vuông góc trên đáy ABC là trung điểm của BC, cạnh bên tạo với đáy ABC góc 60 độ. Gọi M, N là trung điểm của BB’, CC’." Câu hỏi này kết hợp nhiều kiến thức về lăng trụ, hình chiếu vuông góc và góc giữa đường thẳng và mặt phẳng. Bài toán này đòi hỏi học sinh phải có khả năng phân tích hình học và áp dụng các công thức tính toán một cách linh hoạt.

Tài liệu hỗ trợ:

File WORD (dành cho quý thầy, cô): TẢI XUỐNG

Đề thi này là một tài liệu tham khảo hữu ích cho học sinh và giáo viên trong quá trình ôn tập và giảng dạy chương 1 Hình học 12. Việc phân tích kỹ các câu hỏi trong đề thi sẽ giúp học sinh nắm vững kiến thức và rèn luyện kỹ năng giải quyết các bài toán liên quan đến khối đa diện và thể tích khối đa diện.

Chinh phục điểm cao Kỳ thi Tốt nghiệp THPT Quốc gia môn Toán, rộng mở cánh cửa Đại học với nội dung đề kiểm tra chung toán 12 lần 1 hki năm 2018 – 2019 trường hoàng diệu – sóc trăng trong chuyên mục toán lớp 12 trên nền tảng toán học! Bộ bài tập lý thuyết toán thpt, được biên soạn chuyên sâu, bám sát cấu trúc đề thi và chương trình Toán 12, cam kết tối ưu hóa toàn diện lộ trình ôn luyện. Qua đó, học sinh không chỉ làm chủ mọi dạng bài thi mà còn trang bị chiến thuật làm bài hiệu quả, tự tin đạt kết quả đột phá, tạo nền tảng vững chắc cho Kỳ thi Tốt nghiệp THPT Quốc gia và hành trang vững vàng vào đại học, nhờ phương pháp tiếp cận trực quan, khoa học và mang lại hiệu quả học tập vượt trội.
images-post/de-kiem-tra-chung-toan-12-lan-1-hki-nam-2018-2019-truong-hoang-dieu-soc-trang-1.jpgimages-post/de-kiem-tra-chung-toan-12-lan-1-hki-nam-2018-2019-truong-hoang-dieu-soc-trang-2.jpg

File đề kiểm tra chung toán 12 lần 1 hki năm 2018 – 2019 trường hoàng diệu – sóc trăng PDF Chi Tiết

TÌM KIẾM THEO TỪ KHÓA