Logo Header
  1. Môn Toán
  2. đề kiểm tra hình học 12 chương 1 (khối đa diện) trường thpt lao bảo – quảng trị

đề kiểm tra hình học 12 chương 1 (khối đa diện) trường thpt lao bảo – quảng trị

Bạn đang xem tài liệu đề kiểm tra hình học 12 chương 1 (khối đa diện) trường thpt lao bảo – quảng trị được biên soạn theo soạn toán mới nhất. Tài liệu này hệ thống hóa kiến thức một cách khoa học, phù hợp cho mọi lộ trình học từ cơ bản đến nâng cao. Hãy khai thác triệt để nội dung để bứt phá điểm số và tự tin chinh phục mọi kỳ thi nhé!

Đánh giá chi tiết đề kiểm tra Hình học 12 Chương 1 – Trường THPT Lao Bảo, Quảng Trị: Khối đa diện

Đề kiểm tra Hình học 12 Chương 1 của trường THPT Lao Bảo, Quảng Trị là một đề thi trắc nghiệm đánh giá mức độ nắm vững kiến thức về khối đa diện của học sinh. Đề thi có cấu trúc gồm 4 mã đề, mỗi mã đề 20 câu hỏi trắc nghiệm, thời gian làm bài 45 phút. Điểm cộng lớn của đề thi là đầy đủ đáp án cho tất cả các mã đề, tạo điều kiện thuận lợi cho việc tự học và ôn tập của học sinh.

Nhìn chung, đề thi tập trung vào các khía cạnh quan trọng của chủ đề khối đa diện, bao gồm:

  • Tính thể tích khối đa diện: Đây là phần trọng tâm của đề thi, được minh họa qua các câu hỏi về khối lăng trụ và khối chóp. Các bài toán đòi hỏi học sinh phải vận dụng linh hoạt các công thức tính thể tích, kết hợp với việc xác định các yếu tố hình học cần thiết như chiều cao, diện tích đáy.
  • Xác định và phân tích mối quan hệ giữa các yếu tố hình học trong không gian: Các câu hỏi liên quan đến góc giữa đường thẳng và mặt phẳng, vị trí tương đối giữa các điểm và đường thẳng, giúp đánh giá khả năng tư duy không gian của học sinh.
  • Phân tích hình học và nhận biết các khối đa diện: Câu hỏi về mặt phẳng chia khối đa diện thành các khối nhỏ hơn đòi hỏi học sinh phải có khả năng hình dung và phân tích hình học một cách chính xác.

Phân tích một số câu hỏi trích dẫn:

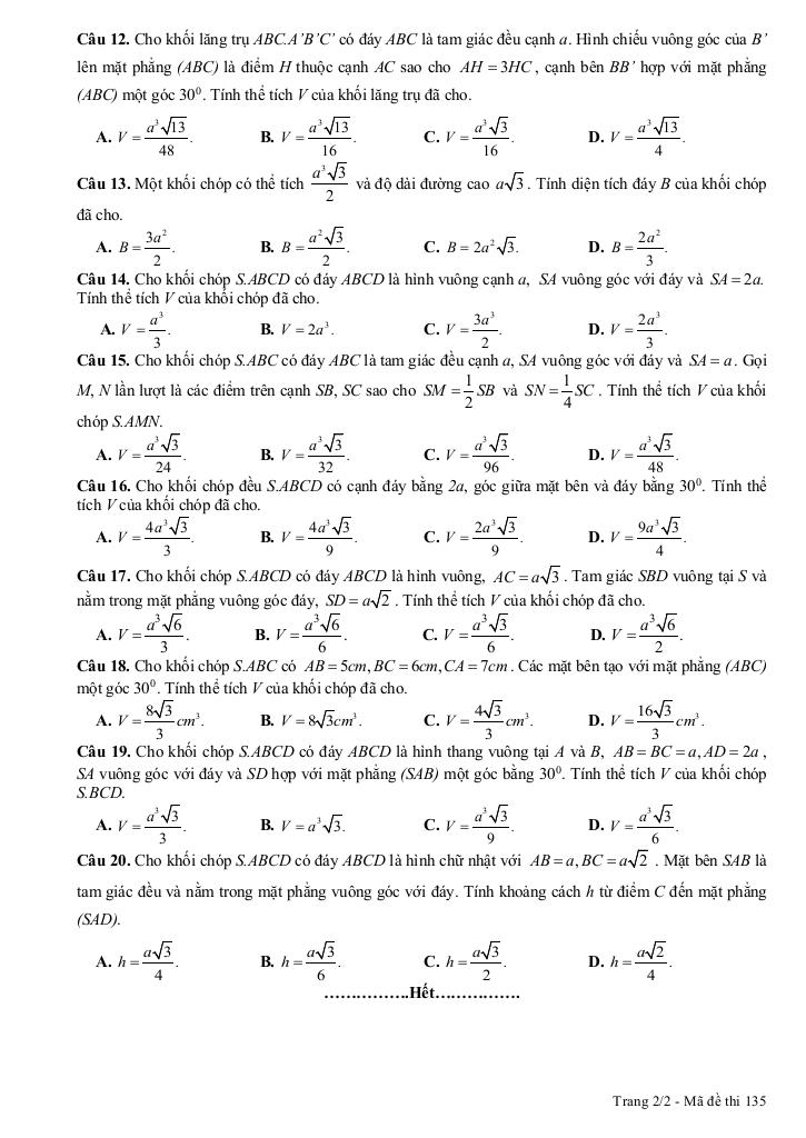
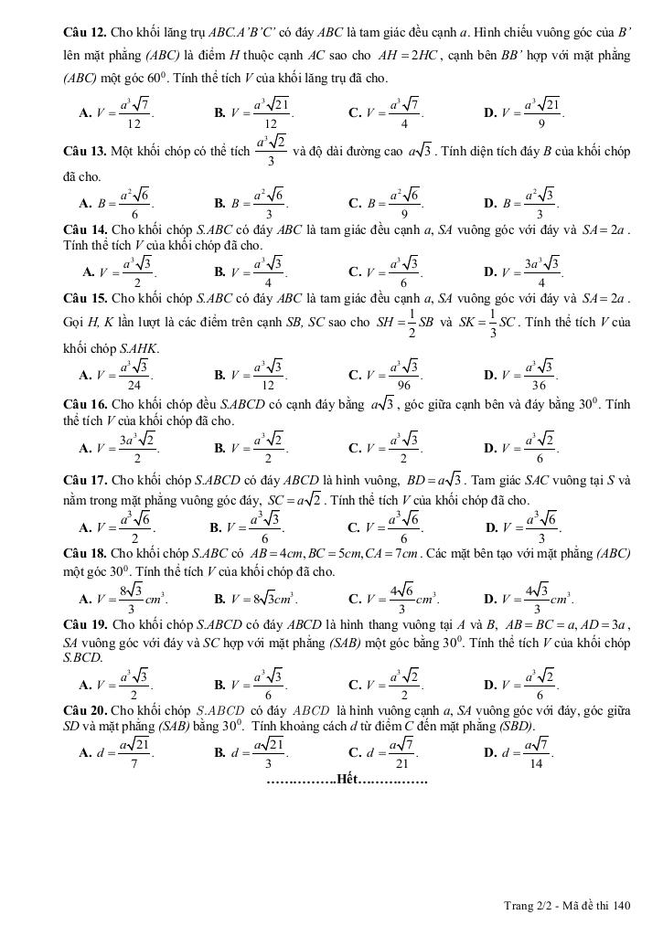
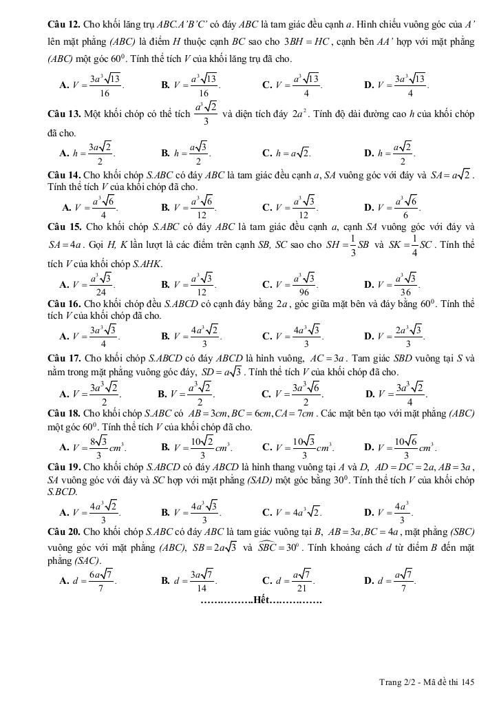
  1. Câu 1: Bài toán về khối lăng trụ ABC.A’B’C’ với đáy là tam giác đều. Điểm mấu chốt của bài toán này là việc xác định chiều cao của lăng trụ dựa vào góc giữa cạnh bên AA’ và mặt phẳng (ABC). Học sinh cần nắm vững định nghĩa hình chiếu vuông góc và sử dụng các tỉ số lượng giác để giải quyết bài toán. Đây là một câu hỏi điển hình, đòi hỏi sự kết hợp kiến thức về hình chiếu vuông góc, tam giác đều và thể tích lăng trụ.
  2. Câu 2: Bài toán về khối chóp giaibaitoan.com với đáy là tam giác đều và cạnh bên SA vuông góc với đáy. Bài toán này tập trung vào việc tính thể tích khối chóp giaibaitoan.com, trong đó H và K là các điểm chia trên cạnh SB và SC. Học sinh cần hiểu rõ tính chất của tỉ lệ đoạn thẳng và áp dụng công thức tính thể tích khối chóp để giải quyết bài toán.
  3. Câu 3: Câu hỏi trắc nghiệm về mặt phẳng (AB’C) chia khối lăng trụ ABC.A’B’C’. Đây là một câu hỏi kiểm tra khả năng hình dung không gian và phân tích hình học của học sinh. Việc xác định chính xác các khối đa diện được tạo thành sau khi chia là yếu tố then chốt để trả lời đúng câu hỏi. Đáp án đúng là D. Một khối chóp tam giác và một khối chóp tứ giác.

Nhận xét chung:

Đề thi có độ khó vừa phải, phân loại được học sinh khá – giỏi. Các câu hỏi được xây dựng bám sát chương trình học, tập trung vào các kiến thức trọng tâm và có tính ứng dụng cao. Việc cung cấp đáp án đầy đủ là một điểm cộng lớn, giúp học sinh tự đánh giá kết quả học tập và rút kinh nghiệm cho các bài kiểm tra tiếp theo. Đề thi này là một tài liệu tham khảo hữu ích cho học sinh và giáo viên trong quá trình dạy và học môn Hình học 12.

Chinh phục điểm cao Kỳ thi Tốt nghiệp THPT Quốc gia môn Toán, rộng mở cánh cửa Đại học với nội dung đề kiểm tra hình học 12 chương 1 (khối đa diện) trường thpt lao bảo – quảng trị trong chuyên mục toán lớp 12 trên nền tảng soạn toán! Bộ bài tập lý thuyết toán thpt, được biên soạn chuyên sâu, bám sát cấu trúc đề thi và chương trình Toán 12, cam kết tối ưu hóa toàn diện lộ trình ôn luyện. Qua đó, học sinh không chỉ làm chủ mọi dạng bài thi mà còn trang bị chiến thuật làm bài hiệu quả, tự tin đạt kết quả đột phá, tạo nền tảng vững chắc cho Kỳ thi Tốt nghiệp THPT Quốc gia và hành trang vững vàng vào đại học, nhờ phương pháp tiếp cận trực quan, khoa học và mang lại hiệu quả học tập vượt trội.
images-post/de-kiem-tra-hinh-hoc-12-chuong-1-khoi-da-dien-truong-thpt-lao-bao-quang-tri-1.jpgimages-post/de-kiem-tra-hinh-hoc-12-chuong-1-khoi-da-dien-truong-thpt-lao-bao-quang-tri-2.jpgimages-post/de-kiem-tra-hinh-hoc-12-chuong-1-khoi-da-dien-truong-thpt-lao-bao-quang-tri-3.jpgimages-post/de-kiem-tra-hinh-hoc-12-chuong-1-khoi-da-dien-truong-thpt-lao-bao-quang-tri-4.jpgimages-post/de-kiem-tra-hinh-hoc-12-chuong-1-khoi-da-dien-truong-thpt-lao-bao-quang-tri-5.jpgimages-post/de-kiem-tra-hinh-hoc-12-chuong-1-khoi-da-dien-truong-thpt-lao-bao-quang-tri-6.jpgimages-post/de-kiem-tra-hinh-hoc-12-chuong-1-khoi-da-dien-truong-thpt-lao-bao-quang-tri-7.jpgimages-post/de-kiem-tra-hinh-hoc-12-chuong-1-khoi-da-dien-truong-thpt-lao-bao-quang-tri-8.jpgimages-post/de-kiem-tra-hinh-hoc-12-chuong-1-khoi-da-dien-truong-thpt-lao-bao-quang-tri-9.jpg

File đề kiểm tra hình học 12 chương 1 (khối đa diện) trường thpt lao bảo – quảng trị PDF Chi Tiết

TÌM KIẾM THEO TỪ KHÓA