Logo Header
  1. Môn Toán
  2. đề kiểm tra hình học 12 chương 1 năm học 2017 – 2018 trường thpt bến cát – bình dương

đề kiểm tra hình học 12 chương 1 năm học 2017 – 2018 trường thpt bến cát – bình dương

Bạn đang xem tài liệu đề kiểm tra hình học 12 chương 1 năm học 2017 – 2018 trường thpt bến cát – bình dương được biên soạn theo đề thi toán mới nhất. Tài liệu này hệ thống hóa kiến thức một cách khoa học, phù hợp cho mọi lộ trình học từ cơ bản đến nâng cao. Hãy khai thác triệt để nội dung để bứt phá điểm số và tự tin chinh phục mọi kỳ thi nhé!

Đánh giá chi tiết đề kiểm tra Hình học 12 – Chương Khối đa diện (Năm học 2017-2018, THPT Bến Cát, Bình Dương)

Đề kiểm tra Hình học 12 chương Khối đa diện của trường THPT Bến Cát, Bình Dương (năm học 2017-2018) là một đề thi trắc nghiệm với cấu trúc khá phổ biến: 4 mã đề, mỗi đề gồm 20 câu hỏi, thời gian làm bài 45 phút. Điểm đáng chú ý là đề thi có đáp án, đây là một lợi thế lớn cho học sinh trong quá trình tự học và ôn luyện.

Nhìn chung, đề thi tập trung đánh giá khả năng vận dụng kiến thức về khối đa diện, đặc biệt là các kiến thức liên quan đến hình chóp. Các câu hỏi đòi hỏi học sinh phải:

  • Nắm vững các khái niệm cơ bản về khối đa diện, các yếu tố liên quan đến hình chóp (đáy, đỉnh, đường cao, mặt bên, mặt đáy).
  • Sử dụng thành thạo các công thức tính diện tích, thể tích của hình chóp.
  • Rèn luyện kỹ năng không gian, khả năng hình dung và phân tích hình học trong không gian.
  • Áp dụng các định lý và phương pháp chứng minh trong hình học (định lý Pitago, định lý Ta-let, phương pháp tọa độ trong không gian – có thể ngầm).

Dưới đây là phân tích chi tiết một số câu hỏi trích dẫn từ đề thi:

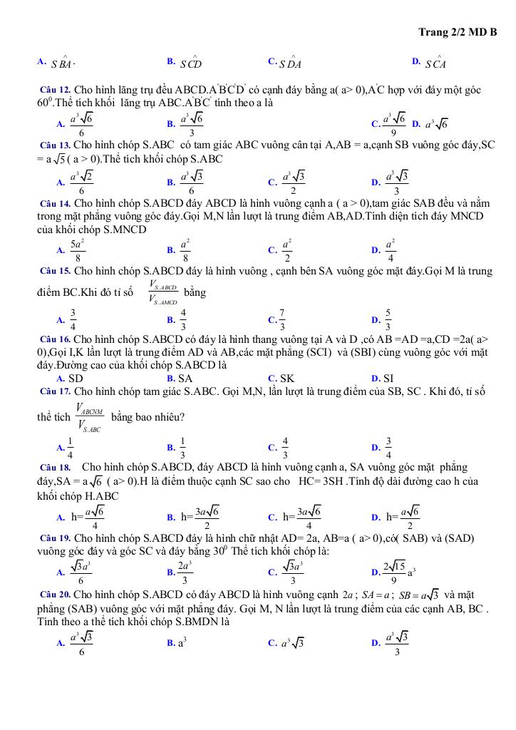
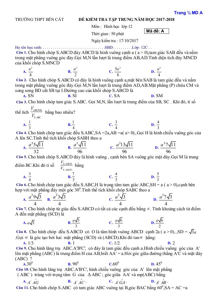
  1. Câu 1: Cho hình chóp giaibaitoan.com đáy ABCD là hình vuông cạnh a (a > 0), tam giác SAB đều và nằm trong mặt phẳng vuông góc đáy. Gọi M, N lần lượt là trung điểm AB, AD. Tính diện tích đáy MNCD của khối chóp giaibaitoan.com.

    Nhận xét: Câu hỏi này kiểm tra khả năng xác định diện tích hình thang. Học sinh cần tính được độ dài các cạnh của hình thang MNCD và áp dụng công thức tính diện tích hình thang. Việc tam giác SAB đều và vuông góc với đáy giúp đơn giản hóa việc tính toán.

  2. Câu 2: Cho hình chóp giaibaitoan.com có đáy là hình vuông cạnh a, mặt bên SAB là tam giác đều và nằm trong mặt phẳng vuông góc đáy. Gọi M, N lần lượt là trung điểm AD, AB. Mặt phẳng (P) chứa CM và song song BD cắt SB tại I. Đường cao của khối chóp giaibaitoan.com là?

    Nhận xét: Đây là một câu hỏi khó, đòi hỏi học sinh phải kết hợp nhiều kiến thức: xác định giao tuyến, sử dụng tính chất song song, tìm giao điểm của đường thẳng và mặt phẳng, và cuối cùng là tính đường cao của hình chóp. Việc mặt phẳng (SAB) vuông góc với đáy đóng vai trò quan trọng trong việc giải quyết bài toán.

  3. Câu 3: Cho hình chóp giaibaitoan.com có đáy là hình thang vuông tại A và D, có AB = AD = a, CD = 2a (a > 0). Gọi I, K lần lượt là trung điểm AD và AB, các mặt phẳng (SCI) và (SBI) cùng vuông góc với mặt đáy. Đường cao của khối chóp giaibaitoan.com là?

    Nhận xét: Câu hỏi này kiểm tra khả năng xác định đường cao của hình chóp khi biết các mặt phẳng vuông góc với đáy. Học sinh cần sử dụng các tính chất của hình thang vuông, trung điểm và các mặt phẳng vuông góc để tìm ra mối liên hệ giữa đường cao và các yếu tố đã cho.

Kết luận:

Đề thi Hình học 12 chương Khối đa diện của trường THPT Bến Cát, Bình Dương là một đề thi tốt, có tính phân loại học sinh rõ ràng. Đề thi bao gồm các câu hỏi từ cơ bản đến nâng cao, đòi hỏi học sinh phải nắm vững kiến thức và rèn luyện kỹ năng giải quyết bài toán một cách linh hoạt. Việc có đáp án đi kèm là một điểm cộng lớn, giúp học sinh tự đánh giá và cải thiện kết quả học tập.

Chinh phục điểm cao Kỳ thi Tốt nghiệp THPT Quốc gia môn Toán, rộng mở cánh cửa Đại học với nội dung đề kiểm tra hình học 12 chương 1 năm học 2017 – 2018 trường thpt bến cát – bình dương trong chuyên mục toán 12 trên nền tảng đề thi toán! Bộ bài tập toán trung học phổ thông, được biên soạn chuyên sâu, bám sát cấu trúc đề thi và chương trình Toán 12, cam kết tối ưu hóa toàn diện lộ trình ôn luyện. Qua đó, học sinh không chỉ làm chủ mọi dạng bài thi mà còn trang bị chiến thuật làm bài hiệu quả, tự tin đạt kết quả đột phá, tạo nền tảng vững chắc cho Kỳ thi Tốt nghiệp THPT Quốc gia và hành trang vững vàng vào đại học, nhờ phương pháp tiếp cận trực quan, khoa học và mang lại hiệu quả học tập vượt trội.
images-post/de-kiem-tra-hinh-hoc-12-chuong-1-nam-hoc-2017-2018-truong-thpt-ben-cat-binh-duong-1.jpgimages-post/de-kiem-tra-hinh-hoc-12-chuong-1-nam-hoc-2017-2018-truong-thpt-ben-cat-binh-duong-2.jpgimages-post/de-kiem-tra-hinh-hoc-12-chuong-1-nam-hoc-2017-2018-truong-thpt-ben-cat-binh-duong-3.jpgimages-post/de-kiem-tra-hinh-hoc-12-chuong-1-nam-hoc-2017-2018-truong-thpt-ben-cat-binh-duong-4.jpgimages-post/de-kiem-tra-hinh-hoc-12-chuong-1-nam-hoc-2017-2018-truong-thpt-ben-cat-binh-duong-5.jpgimages-post/de-kiem-tra-hinh-hoc-12-chuong-1-nam-hoc-2017-2018-truong-thpt-ben-cat-binh-duong-6.jpgimages-post/de-kiem-tra-hinh-hoc-12-chuong-1-nam-hoc-2017-2018-truong-thpt-ben-cat-binh-duong-7.jpgimages-post/de-kiem-tra-hinh-hoc-12-chuong-1-nam-hoc-2017-2018-truong-thpt-ben-cat-binh-duong-8.jpgimages-post/de-kiem-tra-hinh-hoc-12-chuong-1-nam-hoc-2017-2018-truong-thpt-ben-cat-binh-duong-9.jpg

File đề kiểm tra hình học 12 chương 1 năm học 2017 – 2018 trường thpt bến cát – bình dương PDF Chi Tiết

TÌM KIẾM THEO TỪ KHÓA