Logo Header
  1. Môn Toán
  2. đề kiểm tra 1 tiết hình học 12 chương 1 (khối đa diện) trường chuyên hùng vương – gia lai

đề kiểm tra 1 tiết hình học 12 chương 1 (khối đa diện) trường chuyên hùng vương – gia lai

Bạn đang xem tài liệu đề kiểm tra 1 tiết hình học 12 chương 1 (khối đa diện) trường chuyên hùng vương – gia lai được biên soạn theo tài liệu toán mới nhất. Tài liệu này hệ thống hóa kiến thức một cách khoa học, phù hợp cho mọi lộ trình học từ cơ bản đến nâng cao. Hãy khai thác triệt để nội dung để bứt phá điểm số và tự tin chinh phục mọi kỳ thi nhé!

Phân tích Đề Kiểm Tra 1 Tiết Hình Học 12 – Chương Khối Đa Diện (Trường Chuyên Hùng Vương – Gia Lai)

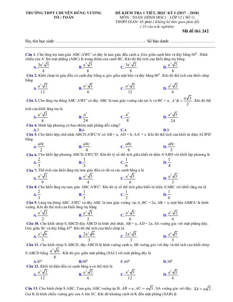
Đề kiểm tra 1 tiết môn Hình học 12 của trường chuyên Hùng Vương – Gia Lai, tập trung vào chương Khối Đa Diện, là một đề thi có cấu trúc khá điển hình với 25 câu hỏi trắc nghiệm, thời gian làm bài 45 phút. Đề thi bao gồm 4 mã đề khác nhau, cho thấy sự quan tâm đến việc đảm bảo tính công bằng và giảm thiểu khả năng gian lận trong quá trình kiểm tra.

Nhìn chung, đề thi đánh giá khả năng vận dụng các kiến thức cơ bản về khối đa diện, bao gồm:

  • Tính chất hình học: Xác định các yếu tố hình học trong không gian, mối quan hệ giữa các yếu tố đó (ví dụ: mặt phẳng song song, đường thẳng song song, góc giữa đường thẳng và mặt phẳng).
  • Công thức tính thể tích: Vận dụng các công thức tính thể tích của các khối đa diện cơ bản (khối chóp, khối lăng trụ).
  • Kỹ năng giải toán không gian: Khả năng hình dung và phân tích các bài toán hình học không gian, sử dụng các phương pháp tọa độ hoặc phương pháp hình học thuần túy để giải quyết vấn đề.

Dưới đây là phân tích chi tiết hơn về ba câu hỏi trích dẫn:

  1. Câu 1: Bài toán liên quan đến việc chia khối chóp bởi một mặt phẳng song song với một cạnh đáy. Đây là một dạng bài toán thường gặp, đòi hỏi học sinh phải nắm vững kiến thức về tỷ lệ thể tích của các khối đa diện đồng dạng. Việc xác định đúng vị trí của mặt phẳng và sử dụng các tính chất của hình bình hành là then chốt để giải quyết bài toán này.
  2. Câu 2: Bài toán này phức tạp hơn, kết hợp nhiều yếu tố hình học khác nhau. Học sinh cần sử dụng kiến thức về góc giữa đường thẳng và mặt phẳng, góc giữa hai mặt phẳng, và công thức tính thể tích để tìm ra đáp án. Bài toán đòi hỏi khả năng phân tích và kết hợp các thông tin đã cho một cách linh hoạt.
  3. Câu 3: Bài toán này tập trung vào việc tính góc giữa đường thẳng và mặt phẳng. Học sinh cần sử dụng định nghĩa về góc giữa đường thẳng và mặt phẳng, kết hợp với các tính chất của tam giác vuông để tìm ra đáp án. Việc vẽ hình chính xác và sử dụng các hệ thức lượng trong tam giác là rất quan trọng.

Đánh giá chung:

Đề thi có độ khó tương đối, phù hợp với trình độ của học sinh chuyên. Các câu hỏi được xây dựng một cách logic, đòi hỏi học sinh phải có kiến thức vững chắc và kỹ năng giải toán tốt. Việc cung cấp file WORD cho giáo viên là một điểm cộng, giúp giáo viên dễ dàng tiếp cận và sử dụng đề thi trong quá trình giảng dạy.

Gợi ý ôn tập:

Để đạt kết quả tốt trong các bài kiểm tra về khối đa diện, học sinh cần:

  • Nắm vững các định nghĩa, tính chất và công thức liên quan đến khối đa diện.
  • Luyện tập giải nhiều bài tập khác nhau, từ cơ bản đến nâng cao.
  • Rèn luyện kỹ năng vẽ hình và phân tích bài toán.
  • Sử dụng các phương pháp giải toán phù hợp, như phương pháp tọa độ hoặc phương pháp hình học thuần túy.
Chinh phục điểm cao Kỳ thi Tốt nghiệp THPT Quốc gia môn Toán, rộng mở cánh cửa Đại học với nội dung đề kiểm tra 1 tiết hình học 12 chương 1 (khối đa diện) trường chuyên hùng vương – gia lai trong chuyên mục sgk toán 12 trên nền tảng tài liệu toán! Bộ bài tập toán trung học phổ thông, được biên soạn chuyên sâu, bám sát cấu trúc đề thi và chương trình Toán 12, cam kết tối ưu hóa toàn diện lộ trình ôn luyện. Qua đó, học sinh không chỉ làm chủ mọi dạng bài thi mà còn trang bị chiến thuật làm bài hiệu quả, tự tin đạt kết quả đột phá, tạo nền tảng vững chắc cho Kỳ thi Tốt nghiệp THPT Quốc gia và hành trang vững vàng vào đại học, nhờ phương pháp tiếp cận trực quan, khoa học và mang lại hiệu quả học tập vượt trội.
images-post/de-kiem-tra-1-tiet-hinh-hoc-12-chuong-1-khoi-da-dien-truong-chuyen-hung-vuong-gia-lai-1.jpgimages-post/de-kiem-tra-1-tiet-hinh-hoc-12-chuong-1-khoi-da-dien-truong-chuyen-hung-vuong-gia-lai-2.jpgimages-post/de-kiem-tra-1-tiet-hinh-hoc-12-chuong-1-khoi-da-dien-truong-chuyen-hung-vuong-gia-lai-3.jpgimages-post/de-kiem-tra-1-tiet-hinh-hoc-12-chuong-1-khoi-da-dien-truong-chuyen-hung-vuong-gia-lai-4.jpgimages-post/de-kiem-tra-1-tiet-hinh-hoc-12-chuong-1-khoi-da-dien-truong-chuyen-hung-vuong-gia-lai-5.jpgimages-post/de-kiem-tra-1-tiet-hinh-hoc-12-chuong-1-khoi-da-dien-truong-chuyen-hung-vuong-gia-lai-6.jpgimages-post/de-kiem-tra-1-tiet-hinh-hoc-12-chuong-1-khoi-da-dien-truong-chuyen-hung-vuong-gia-lai-7.jpgimages-post/de-kiem-tra-1-tiet-hinh-hoc-12-chuong-1-khoi-da-dien-truong-chuyen-hung-vuong-gia-lai-8.jpg

File đề kiểm tra 1 tiết hình học 12 chương 1 (khối đa diện) trường chuyên hùng vương – gia lai PDF Chi Tiết

TÌM KIẾM THEO TỪ KHÓA