Logo Header
  1. Môn Toán
  2. đề kiểm tra 1 tiết hình học 12 chương 1 trường phạm văn đồng – phú yên

đề kiểm tra 1 tiết hình học 12 chương 1 trường phạm văn đồng – phú yên

Bạn đang xem tài liệu đề kiểm tra 1 tiết hình học 12 chương 1 trường phạm văn đồng – phú yên được biên soạn theo tài liệu toán mới nhất. Tài liệu này hệ thống hóa kiến thức một cách khoa học, phù hợp cho mọi lộ trình học từ cơ bản đến nâng cao. Hãy khai thác triệt để nội dung để bứt phá điểm số và tự tin chinh phục mọi kỳ thi nhé!

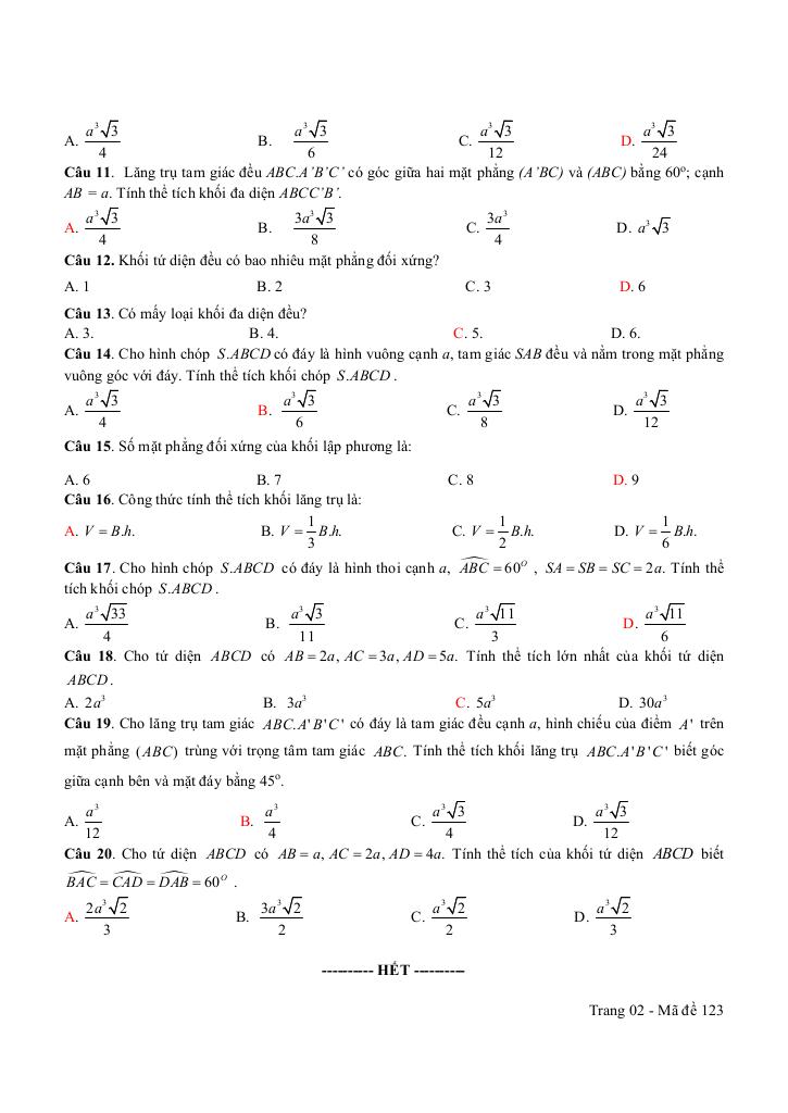
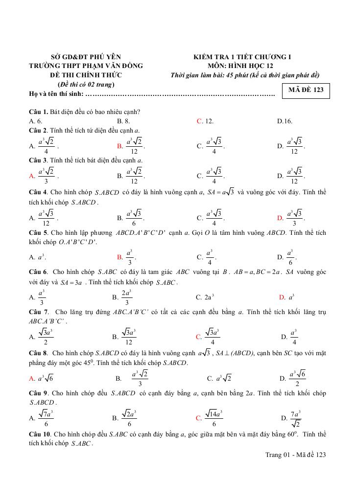
giaibaitoan.com xin giới thiệu đến quý thầy cô giáo và các em học sinh đề kiểm tra 1 tiết môn Hình học 12, chương 1 – Khối đa diện và thể tích, năm học 2019 – 2020 của trường THPT Phạm Văn Đồng, tỉnh Phú Yên. Đề thi có cấu trúc gồm 20 câu trắc nghiệm, được thiết kế trong thời gian 45 phút, kèm theo đáp án chi tiết.

Đề kiểm tra này là một công cụ hữu ích để đánh giá mức độ nắm vững kiến thức cơ bản và khả năng vận dụng các công thức tính thể tích khối đa diện của học sinh. Các câu hỏi tập trung vào các dạng bài toán điển hình, bao gồm:

  1. Tính thể tích lăng trụ: Đề bài đưa ra một lăng trụ tam giác đều với thông tin về cạnh đáy và góc giữa cạnh bên với mặt đáy. Đây là một bài toán yêu cầu học sinh phải kết hợp kiến thức về hình chiếu, tam giác vuông và công thức tính thể tích lăng trụ.
  2. Tính thể tích khối đa diện đặc biệt: Bài toán về lăng trụ tam giác đều và góc giữa hai mặt phẳng đòi hỏi học sinh phải hiểu rõ về khái niệm góc giữa hai mặt phẳng, cách xác định và sử dụng chúng để tính toán thể tích khối đa diện.
  3. Tính thể tích hình chóp: Đề bài cung cấp thông tin về hình chóp giaibaitoan.com với đáy là tam giác vuông, cạnh đáy và chiều cao. Đây là một bài toán áp dụng trực tiếp công thức tính thể tích hình chóp.
  4. Tính thể tích hình chóp có mặt bên vuông góc với đáy: Bài toán về hình chóp giaibaitoan.com với đáy là hình vuông và mặt bên SAB đều, nằm trong mặt phẳng vuông góc với đáy. Học sinh cần xác định đúng chiều cao của hình chóp để tính thể tích.
  5. Tìm thể tích lớn nhất của khối tứ diện: Bài toán về tứ diện ABCD với các cạnh cho trước. Đây là một bài toán khó hơn, đòi hỏi học sinh phải sử dụng kiến thức về bất đẳng thức, điều kiện để ba vectơ đồng phẳng và tối ưu hóa thể tích.

Đánh giá chung:

Đề kiểm tra có độ khó vừa phải, phân loại rõ ràng học sinh khá – giỏi. Các câu hỏi được trình bày rõ ràng, dễ hiểu, giúp học sinh dễ dàng tiếp cận và giải quyết. Việc cung cấp đáp án đi kèm là một điểm cộng, giúp học sinh tự đánh giá kết quả và rút kinh nghiệm.

Nhận xét:

Đề thi tập trung vào các kiến thức trọng tâm của chương 1, giúp học sinh củng cố và ôn tập lại các khái niệm, định lý và công thức quan trọng. Đề thi cũng khuyến khích học sinh rèn luyện kỹ năng giải quyết bài toán hình học không gian, đặc biệt là các bài toán liên quan đến thể tích khối đa diện.

File WORD (dành cho quý thầy, cô): TẢI XUỐNG

Chinh phục điểm cao Kỳ thi Tốt nghiệp THPT Quốc gia môn Toán, rộng mở cánh cửa Đại học với nội dung đề kiểm tra 1 tiết hình học 12 chương 1 trường phạm văn đồng – phú yên trong chuyên mục sgk toán 12 trên nền tảng tài liệu toán! Bộ bài tập lý thuyết toán thpt, được biên soạn chuyên sâu, bám sát cấu trúc đề thi và chương trình Toán 12, cam kết tối ưu hóa toàn diện lộ trình ôn luyện. Qua đó, học sinh không chỉ làm chủ mọi dạng bài thi mà còn trang bị chiến thuật làm bài hiệu quả, tự tin đạt kết quả đột phá, tạo nền tảng vững chắc cho Kỳ thi Tốt nghiệp THPT Quốc gia và hành trang vững vàng vào đại học, nhờ phương pháp tiếp cận trực quan, khoa học và mang lại hiệu quả học tập vượt trội.
images-post/de-kiem-tra-1-tiet-hinh-hoc-12-chuong-1-truong-pham-van-dong-phu-yen-1.jpgimages-post/de-kiem-tra-1-tiet-hinh-hoc-12-chuong-1-truong-pham-van-dong-phu-yen-2.jpgimages-post/de-kiem-tra-1-tiet-hinh-hoc-12-chuong-1-truong-pham-van-dong-phu-yen-3.jpgimages-post/de-kiem-tra-1-tiet-hinh-hoc-12-chuong-1-truong-pham-van-dong-phu-yen-4.jpg

File đề kiểm tra 1 tiết hình học 12 chương 1 trường phạm văn đồng – phú yên PDF Chi Tiết

TÌM KIẾM THEO TỪ KHÓA