Logo Header
  1. Môn Toán
  2. đề kiểm tra hình học 12 chương 1 năm 2019 – 2020 trường nguyễn bỉnh khiêm – gia lai

đề kiểm tra hình học 12 chương 1 năm 2019 – 2020 trường nguyễn bỉnh khiêm – gia lai

Bạn đang xem tài liệu đề kiểm tra hình học 12 chương 1 năm 2019 – 2020 trường nguyễn bỉnh khiêm – gia lai được biên soạn theo học toán mới nhất. Tài liệu này hệ thống hóa kiến thức một cách khoa học, phù hợp cho mọi lộ trình học từ cơ bản đến nâng cao. Hãy khai thác triệt để nội dung để bứt phá điểm số và tự tin chinh phục mọi kỳ thi nhé!

Phân tích Đề Kiểm Tra 1 Tiết Hình Học 12 – Trường THPT Nguyễn Bỉnh Khiêm, Gia Lai (Năm học 2019-2020)

Ngày … tháng 11 năm 2019, Tổ Toán trường THPT Nguyễn Bỉnh Khiêm, tỉnh Gia Lai đã tổ chức kiểm tra 1 tiết môn Hình học 12, tập trung vào chương 1 của chương trình học. Đề kiểm tra này đánh giá mức độ nắm vững kiến thức của học sinh về khối đa diện và thể tích của chúng, một trong những chủ đề quan trọng và thường xuyên xuất hiện trong các kỳ thi THPT Quốc gia.

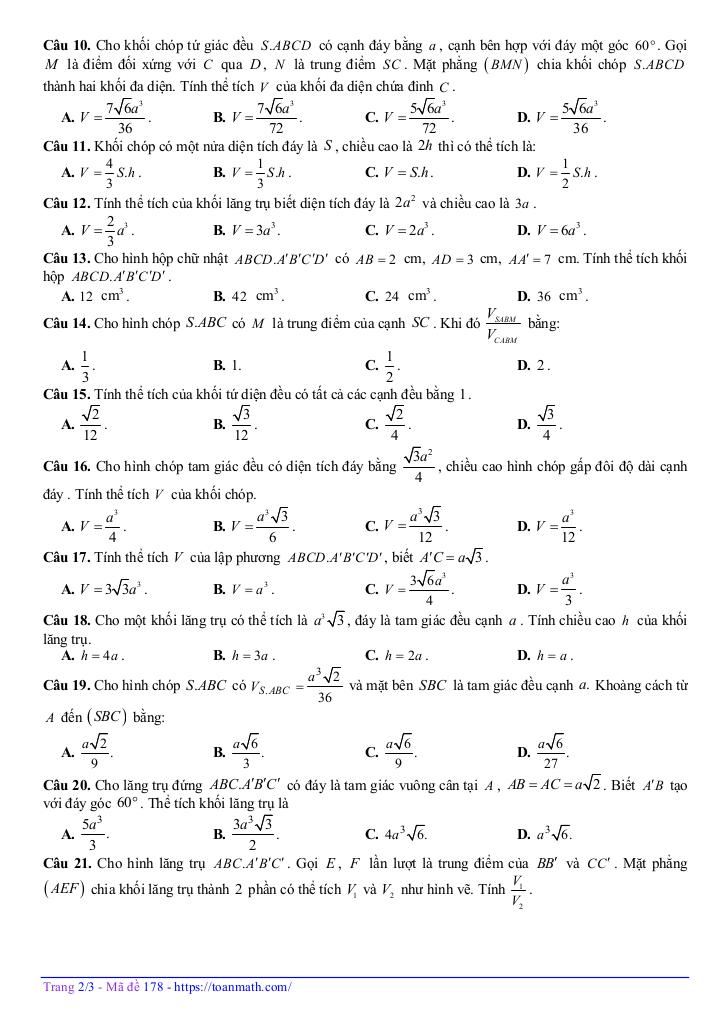
Đề thi mã 178 có cấu trúc gồm 25 câu hỏi trắc nghiệm khách quan, được trình bày trên 3 trang giấy, với thời gian làm bài là 45 phút. Điểm đáng chú ý là đề thi có kèm theo đáp án và lời giải chi tiết, tạo điều kiện thuận lợi cho việc tự học và ôn tập của học sinh, cũng như công tác chấm và phân tích kết quả của giáo viên.

Đánh giá chung về nội dung đề thi:

Đề thi thể hiện sự bao quát kiến thức trọng tâm của chương 1, bao gồm:

  • Kiến thức cơ bản về khối đa diện: Các câu hỏi về số cạnh, số mặt, số đỉnh của khối đa diện đều, cũng như các tính chất liên quan đến đỉnh, cạnh và mặt của đa diện.
  • Phân tích và chia đa diện: Câu hỏi về cách chia hình lập phương thành các hình đa diện nhỏ hơn, đòi hỏi học sinh phải có khả năng hình dung không gian và áp dụng các kiến thức về hình học không gian.
  • Tính thể tích khối đa diện: Các bài toán về tính thể tích khối chóp và khối lăng trụ, yêu cầu học sinh vận dụng các công thức tính thể tích và các kỹ năng giải toán hình học không gian.

Phân tích một số câu hỏi tiêu biểu:

  • Câu hỏi 1: "Nếu không sử dụng thêm điểm nào khác ngoài các đỉnh của hình lập phương thì có thể chia hình lập phương thành..." Câu hỏi này kiểm tra khả năng tư duy không gian và hiểu biết về cấu trúc của hình lập phương. Việc phân tích hình lập phương thành các hình đa diện nhỏ hơn đòi hỏi học sinh phải hình dung được các mặt cắt và các đỉnh của hình lập phương.
  • Câu hỏi 2: "Khẳng định nào sau đây sai?" Câu hỏi này kiểm tra sự hiểu biết về các tính chất của khối đa diện đều. Học sinh cần nắm vững các định lý và tính chất liên quan đến số cạnh, số mặt, số đỉnh của khối đa diện đều để có thể xác định được khẳng định sai.
  • Câu hỏi 3: "Cho một hình đa diện. Trong các khẳng định sau, khẳng định nào sai?" Câu hỏi này kiểm tra kiến thức cơ bản về định nghĩa và các tính chất của hình đa diện.
  • Câu hỏi 4 & 5: Các bài toán tính thể tích khối chóp và khối lăng trụ đòi hỏi học sinh phải vận dụng các công thức tính thể tích, kết hợp với các kiến thức về hình học không gian để giải quyết. Các bài toán này thường có độ khó cao hơn, đòi hỏi học sinh phải có kỹ năng giải toán tốt và khả năng phân tích bài toán.

Nhận xét:

Đề kiểm tra 1 tiết này có độ khó phù hợp, bao gồm cả các câu hỏi kiểm tra kiến thức cơ bản và các câu hỏi vận dụng, nâng cao. Đề thi có tính phân loại học sinh tốt, giúp giáo viên đánh giá được mức độ nắm vững kiến thức của học sinh và đưa ra các biện pháp hỗ trợ phù hợp. Việc có đáp án và lời giải chi tiết là một điểm cộng lớn, giúp học sinh tự học và ôn tập hiệu quả hơn.

File WORD (dành cho quý thầy, cô): TẢI XUỐNG

Chinh phục điểm cao Kỳ thi Tốt nghiệp THPT Quốc gia môn Toán, rộng mở cánh cửa Đại học với nội dung đề kiểm tra hình học 12 chương 1 năm 2019 – 2020 trường nguyễn bỉnh khiêm – gia lai trong chuyên mục toán 12 trên nền tảng học toán! Bộ bài tập toán thpt, được biên soạn chuyên sâu, bám sát cấu trúc đề thi và chương trình Toán 12, cam kết tối ưu hóa toàn diện lộ trình ôn luyện. Qua đó, học sinh không chỉ làm chủ mọi dạng bài thi mà còn trang bị chiến thuật làm bài hiệu quả, tự tin đạt kết quả đột phá, tạo nền tảng vững chắc cho Kỳ thi Tốt nghiệp THPT Quốc gia và hành trang vững vàng vào đại học, nhờ phương pháp tiếp cận trực quan, khoa học và mang lại hiệu quả học tập vượt trội.
images-post/de-kiem-tra-hinh-hoc-12-chuong-1-nam-2019-2020-truong-nguyen-binh-khiem-gia-lai-01.jpgimages-post/de-kiem-tra-hinh-hoc-12-chuong-1-nam-2019-2020-truong-nguyen-binh-khiem-gia-lai-02.jpgimages-post/de-kiem-tra-hinh-hoc-12-chuong-1-nam-2019-2020-truong-nguyen-binh-khiem-gia-lai-03.jpgimages-post/de-kiem-tra-hinh-hoc-12-chuong-1-nam-2019-2020-truong-nguyen-binh-khiem-gia-lai-04.jpgimages-post/de-kiem-tra-hinh-hoc-12-chuong-1-nam-2019-2020-truong-nguyen-binh-khiem-gia-lai-05.jpgimages-post/de-kiem-tra-hinh-hoc-12-chuong-1-nam-2019-2020-truong-nguyen-binh-khiem-gia-lai-06.jpgimages-post/de-kiem-tra-hinh-hoc-12-chuong-1-nam-2019-2020-truong-nguyen-binh-khiem-gia-lai-07.jpgimages-post/de-kiem-tra-hinh-hoc-12-chuong-1-nam-2019-2020-truong-nguyen-binh-khiem-gia-lai-08.jpgimages-post/de-kiem-tra-hinh-hoc-12-chuong-1-nam-2019-2020-truong-nguyen-binh-khiem-gia-lai-09.jpgimages-post/de-kiem-tra-hinh-hoc-12-chuong-1-nam-2019-2020-truong-nguyen-binh-khiem-gia-lai-10.jpg

File đề kiểm tra hình học 12 chương 1 năm 2019 – 2020 trường nguyễn bỉnh khiêm – gia lai PDF Chi Tiết

TÌM KIẾM THEO TỪ KHÓA