Logo Header
  1. Môn Toán
  2. đề kiểm tra hình học 10 chương 3 (tọa độ mặt phẳng) trường thpt lục ngạn 1 – bắc giang

đề kiểm tra hình học 10 chương 3 (tọa độ mặt phẳng) trường thpt lục ngạn 1 – bắc giang

Bạn đang xem tài liệu đề kiểm tra hình học 10 chương 3 (tọa độ mặt phẳng) trường thpt lục ngạn 1 – bắc giang được biên soạn theo toán math mới nhất. Tài liệu này hệ thống hóa kiến thức một cách khoa học, phù hợp cho mọi lộ trình học từ cơ bản đến nâng cao. Hãy khai thác triệt để nội dung để bứt phá điểm số và tự tin chinh phục mọi kỳ thi nhé!

Tuyển tập đề kiểm tra Hình học 10 – Chương 3: Tọa độ mặt phẳng (Trường THPT Lục Ngạn 1 – Bắc Giang)

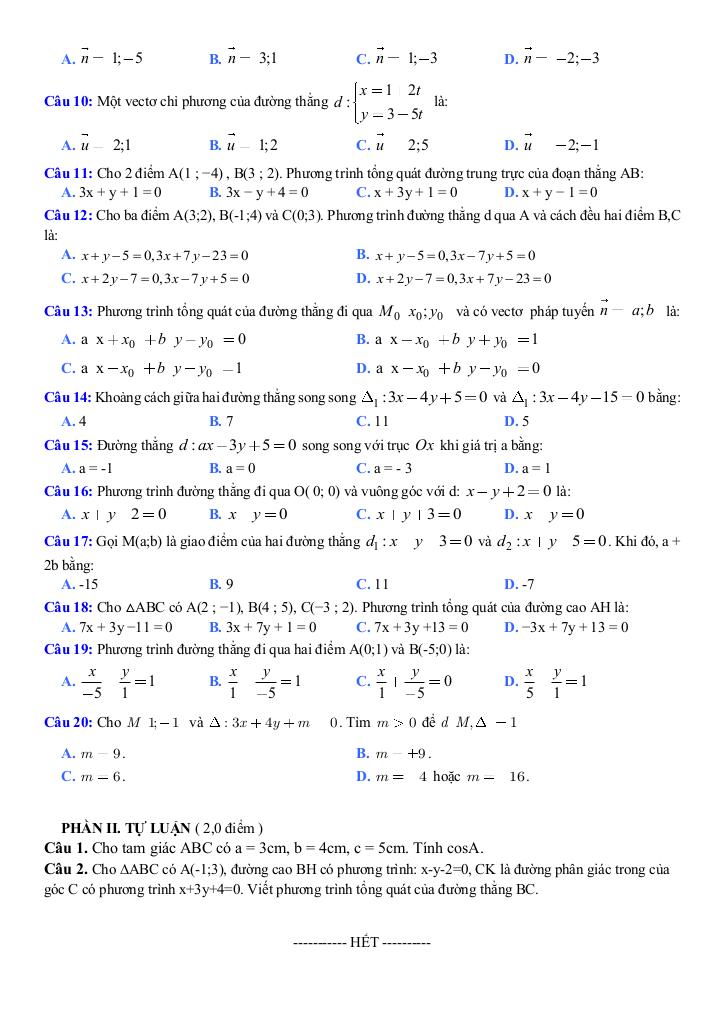
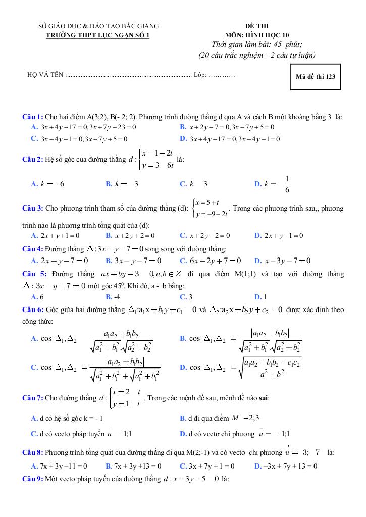
Tài liệu học tập này cung cấp một nguồn tài liệu quý giá dành cho học sinh lớp 10 đang ôn luyện và chuẩn bị cho các bài kiểm tra chương 3 môn Hình học, cụ thể là phần Tọa độ mặt phẳng. Bộ đề gồm 8 trang, bao gồm 4 mã đề kiểm tra khác nhau, được biên soạn bởi giáo viên trường THPT Lục Ngạn 1, tỉnh Bắc Giang.

Cấu trúc mỗi đề kiểm tra được thiết kế khoa học và bám sát chương trình học, bao gồm:

  1. Phần trắc nghiệm: 20 câu hỏi trắc nghiệm, tập trung đánh giá khả năng nắm vững kiến thức cơ bản, các định nghĩa, định lý và công thức liên quan đến tọa độ điểm, đường thẳng, và các ứng dụng của tọa độ trong giải quyết các bài toán hình học.
  2. Phần tự luận: 2 bài toán tự luận, đòi hỏi học sinh phải vận dụng kiến thức đã học để chứng minh, giải quyết các vấn đề phức tạp hơn, thể hiện khả năng tư duy logic và kỹ năng trình bày bài toán.

Đánh giá và nhận xét chuyên sâu:

  • Tính đa dạng của đề: Việc cung cấp 4 mã đề khác nhau giúp học sinh có cơ hội làm quen với nhiều dạng bài tập khác nhau, tránh tình trạng học thuộc lòng và rèn luyện khả năng linh hoạt trong việc giải quyết vấn đề.
  • Độ khó phù hợp: Với cấu trúc đề gồm cả trắc nghiệm và tự luận, tài liệu này phù hợp với nhiều đối tượng học sinh, từ những em mới bắt đầu làm quen với kiến thức đến những em có nền tảng tốt và muốn thử thách bản thân.
  • Tính thực tiễn: Các bài toán tự luận thường được xây dựng dựa trên các ứng dụng thực tế của tọa độ trong hình học, giúp học sinh hiểu rõ hơn về tầm quan trọng và tính ứng dụng của kiến thức đã học.
  • Giá trị tham khảo: Tài liệu này không chỉ hữu ích cho học sinh trường THPT Lục Ngạn 1 – Bắc Giang mà còn là nguồn tham khảo giá trị cho học sinh và giáo viên ở các trường khác có cùng chương trình học.

Lời khuyên khi sử dụng tài liệu:

  • Nên giải các câu trắc nghiệm một cách cẩn thận, đồng thời phân tích kỹ các đáp án sai để hiểu rõ hơn về các lỗi thường gặp.
  • Đối với phần tự luận, cần trình bày bài giải một cách rõ ràng, logic và đầy đủ các bước.
  • Sau khi hoàn thành mỗi đề, nên tự đánh giá kết quả và tìm kiếm sự giúp đỡ của giáo viên hoặc bạn bè nếu gặp khó khăn.

Tóm lại, đây là một tài liệu ôn tập hữu ích và chất lượng, góp phần giúp học sinh nắm vững kiến thức và đạt kết quả tốt trong các bài kiểm tra môn Hình học lớp 10.

Khởi đầu hành trình Toán THPT vững vàng với nội dung đề kiểm tra hình học 10 chương 3 (tọa độ mặt phẳng) trường thpt lục ngạn 1 – bắc giang trong chuyên mục học toán 10 trên nền tảng toán math! Bộ bài tập toán trung học phổ thông, được biên soạn chuyên sâu và bám sát chặt chẽ chương trình Toán lớp 10 hiện hành, cam kết tối ưu hóa toàn diện quá trình ôn luyện. Qua đó, học sinh không chỉ củng cố kiến thức cốt lõi mà còn xây dựng nền tảng vững chắc cho các năm học tiếp theo và định hướng đại học, nhờ phương pháp tiếp cận trực quan, logic và mang lại hiệu quả học tập vượt trội.
images-post/de-kiem-tra-hinh-hoc-10-chuong-3-toa-do-mat-phang-truong-thpt-luc-ngan-1-bac-giang-1.jpgimages-post/de-kiem-tra-hinh-hoc-10-chuong-3-toa-do-mat-phang-truong-thpt-luc-ngan-1-bac-giang-2.jpgimages-post/de-kiem-tra-hinh-hoc-10-chuong-3-toa-do-mat-phang-truong-thpt-luc-ngan-1-bac-giang-3.jpgimages-post/de-kiem-tra-hinh-hoc-10-chuong-3-toa-do-mat-phang-truong-thpt-luc-ngan-1-bac-giang-4.jpgimages-post/de-kiem-tra-hinh-hoc-10-chuong-3-toa-do-mat-phang-truong-thpt-luc-ngan-1-bac-giang-5.jpgimages-post/de-kiem-tra-hinh-hoc-10-chuong-3-toa-do-mat-phang-truong-thpt-luc-ngan-1-bac-giang-6.jpgimages-post/de-kiem-tra-hinh-hoc-10-chuong-3-toa-do-mat-phang-truong-thpt-luc-ngan-1-bac-giang-7.jpgimages-post/de-kiem-tra-hinh-hoc-10-chuong-3-toa-do-mat-phang-truong-thpt-luc-ngan-1-bac-giang-8.jpg

File đề kiểm tra hình học 10 chương 3 (tọa độ mặt phẳng) trường thpt lục ngạn 1 – bắc giang PDF Chi Tiết

TÌM KIẾM THEO TỪ KHÓA