Logo Header
  1. Môn Toán
  2. đề kscl học sinh giỏi toán 10 năm 2024 – 2025 trường thpt đồng đậu – vĩnh phúc

đề kscl học sinh giỏi toán 10 năm 2024 – 2025 trường thpt đồng đậu – vĩnh phúc

Bạn đang xem tài liệu đề kscl học sinh giỏi toán 10 năm 2024 – 2025 trường thpt đồng đậu – vĩnh phúc được biên soạn theo toán mới nhất. Tài liệu này hệ thống hóa kiến thức một cách khoa học, phù hợp cho mọi lộ trình học từ cơ bản đến nâng cao. Hãy khai thác triệt để nội dung để bứt phá điểm số và tự tin chinh phục mọi kỳ thi nhé!

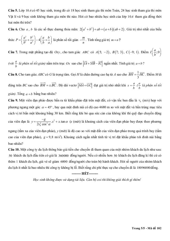
giaibaitoan.com xin giới thiệu đến quý thầy cô giáo và các em học sinh lớp 10 đề khảo sát chất lượng học sinh giỏi môn Toán năm học 2024 – 2025 của trường THPT Đồng Đậu, tỉnh Vĩnh Phúc. Đề thi có cấu trúc đa dạng, bao gồm 15 câu trắc nghiệm nhiều phương án lựa chọn, 05 câu trắc nghiệm đúng sai và 10 câu trắc nghiệm trả lời ngắn, với thời gian làm bài là 90 phút. Đề thi đi kèm với đáp án chi tiết cho các mã đề 101, 102, 103 và 104.

Đề thi năm nay được đánh giá là có độ khó phù hợp, tập trung vào việc kiểm tra kiến thức nền tảng và khả năng vận dụng linh hoạt của học sinh. Các câu hỏi không chỉ yêu cầu học sinh nắm vững lý thuyết mà còn đòi hỏi kỹ năng giải quyết vấn đề, tư duy logic và khả năng tính toán nhanh nhạy.

Dưới đây là một số nội dung tiêu biểu được trích dẫn từ đề thi:

  1. Bài toán tổ hợp: Một nhóm 8 học sinh gồm 4 nam và 4 nữ, trong đó có hai học sinh tên An và Bình. Đề bài yêu cầu tính số cách xếp nhóm học sinh thành một hàng ngang với các điều kiện khác nhau.
    • a) Số cách xếp tùy ý: 40320 cách.
    • b) Số cách xếp sao cho nam và nữ đứng xen kẽ nhau: 576 cách.
    • c) Số cách xếp sao cho An và Bình luôn đứng cạnh nhau: 10080 cách.
    • d) Số cách xếp sao cho An và Bình không đứng cạnh nhau đồng thời ở giữa An và Bình không có học sinh nam nào: 6048 cách.

    Nhận xét: Bài toán này kiểm tra kiến thức về hoán vị, tổ hợp và kỹ năng đếm. Các điều kiện ràng buộc trong từng ý đòi hỏi học sinh phải phân tích kỹ lưỡng và áp dụng các quy tắc tổ hợp một cách chính xác. Ý d có độ khó cao hơn, đòi hỏi học sinh phải kết hợp nhiều kỹ năng khác nhau để giải quyết.

  2. Bài toán vectơ: Một bến phà di chuyển từ bờ M sang bờ N với vận tốc v1 = 10 (m/s) theo hướng vuông góc với bờ, đồng thời chịu tác động của dòng nước chảy với vận tốc v2 = 6 (m/s) cùng phương với bờ. Yêu cầu tính vận tốc tổng hợp v của phà.
  3. Nhận xét: Bài toán này kiểm tra kiến thức về phép cộng vectơ và ứng dụng trong thực tế. Học sinh cần hiểu rõ về vectơ vận tốc và cách tính vận tốc tổng hợp khi có nhiều vectơ tác động.

  4. Bài toán tối ưu: Một công ty du lịch thông báo giá vé cho chuyến đi tham quan. Giá vé ban đầu là 360000 đồng/người cho 50 khách đầu tiên. Nếu số lượng khách vượt quá 50, giá vé sẽ giảm 6000 đồng/người cho toàn bộ hành khách. Yêu cầu tìm số lượng khách ít nhất để công ty không bị lỗ, biết chi phí thực sự cho chuyến đi là 18096000 đồng.
  5. Nhận xét: Bài toán này kiểm tra kỹ năng xây dựng mô hình toán học và giải bài toán tối ưu. Học sinh cần xác định được hàm doanh thu và hàm chi phí, sau đó tìm giá trị tối ưu để đảm bảo công ty không bị lỗ.

File WORD (dành cho quý thầy, cô): TẢI XUỐNG

Hy vọng đề thi này sẽ là tài liệu hữu ích cho quý thầy cô trong việc đánh giá năng lực học sinh và chuẩn bị cho các kỳ thi học sinh giỏi sắp tới. Đồng thời, đây cũng là cơ hội tốt để các em học sinh lớp 10 rèn luyện kỹ năng giải toán và nâng cao kiến thức môn Toán.

Khởi đầu hành trình Toán THPT vững vàng với nội dung đề kscl học sinh giỏi toán 10 năm 2024 – 2025 trường thpt đồng đậu – vĩnh phúc trong chuyên mục giải toán 10 trên nền tảng toán! Bộ bài tập toán thpt, được biên soạn chuyên sâu và bám sát chặt chẽ chương trình Toán lớp 10 hiện hành, cam kết tối ưu hóa toàn diện quá trình ôn luyện. Qua đó, học sinh không chỉ củng cố kiến thức cốt lõi mà còn xây dựng nền tảng vững chắc cho các năm học tiếp theo và định hướng đại học, nhờ phương pháp tiếp cận trực quan, logic và mang lại hiệu quả học tập vượt trội.
images-post/de-kscl-hoc-sinh-gioi-toan-10-nam-2024-2025-truong-thpt-dong-dau-vinh-phuc-01.jpgimages-post/de-kscl-hoc-sinh-gioi-toan-10-nam-2024-2025-truong-thpt-dong-dau-vinh-phuc-02.jpgimages-post/de-kscl-hoc-sinh-gioi-toan-10-nam-2024-2025-truong-thpt-dong-dau-vinh-phuc-03.jpgimages-post/de-kscl-hoc-sinh-gioi-toan-10-nam-2024-2025-truong-thpt-dong-dau-vinh-phuc-04.jpgimages-post/de-kscl-hoc-sinh-gioi-toan-10-nam-2024-2025-truong-thpt-dong-dau-vinh-phuc-05.jpgimages-post/de-kscl-hoc-sinh-gioi-toan-10-nam-2024-2025-truong-thpt-dong-dau-vinh-phuc-06.jpgimages-post/de-kscl-hoc-sinh-gioi-toan-10-nam-2024-2025-truong-thpt-dong-dau-vinh-phuc-07.jpgimages-post/de-kscl-hoc-sinh-gioi-toan-10-nam-2024-2025-truong-thpt-dong-dau-vinh-phuc-08.jpgimages-post/de-kscl-hoc-sinh-gioi-toan-10-nam-2024-2025-truong-thpt-dong-dau-vinh-phuc-09.jpgimages-post/de-kscl-hoc-sinh-gioi-toan-10-nam-2024-2025-truong-thpt-dong-dau-vinh-phuc-10.jpg

File đề kscl học sinh giỏi toán 10 năm 2024 – 2025 trường thpt đồng đậu – vĩnh phúc PDF Chi Tiết

TÌM KIẾM THEO TỪ KHÓA