Logo Header
  1. Môn Toán
  2. đề thi học sinh giỏi toán 10 năm 2024 – 2025 cụm việt yên – bắc giang

đề thi học sinh giỏi toán 10 năm 2024 – 2025 cụm việt yên – bắc giang

Bạn đang xem tài liệu đề thi học sinh giỏi toán 10 năm 2024 – 2025 cụm việt yên – bắc giang được biên soạn theo toán học mới nhất. Tài liệu này hệ thống hóa kiến thức một cách khoa học, phù hợp cho mọi lộ trình học từ cơ bản đến nâng cao. Hãy khai thác triệt để nội dung để bứt phá điểm số và tự tin chinh phục mọi kỳ thi nhé!

giaibaitoan.com xin giới thiệu đến quý thầy cô giáo và các em học sinh lớp 10 đề thi chọn học sinh giỏi môn Toán cấp cụm năm học 2024 – 2025, cụm trường THPT thị xã Việt Yên, tỉnh Bắc Giang. Đây là một đề thi có cấu trúc đa dạng, đánh giá toàn diện kiến thức và kỹ năng giải quyết vấn đề của học sinh.

Đề thi bao gồm các phần sau:

  • 20 câu trắc nghiệm nhiều lựa chọn
  • 04 câu trắc nghiệm đúng sai
  • 06 câu trắc nghiệm trả lời ngắn
  • 03 câu tự luận

Thời gian làm bài là 120 phút. Đi kèm với đề thi là đáp án chi tiết và hướng dẫn chấm điểm, hỗ trợ tối đa cho công tác giảng dạy và ôn luyện.

Đánh giá chung về đề thi:

Đề thi thể hiện sự cân bằng giữa các chủ đề kiến thức Toán học lớp 10, bao gồm đại số, hình học và tổ hợp. Các câu hỏi được xây dựng có tính phân loại cao, từ những câu hỏi kiểm tra kiến thức cơ bản đến những câu hỏi đòi hỏi tư duy sáng tạo và vận dụng linh hoạt các công thức, định lý.

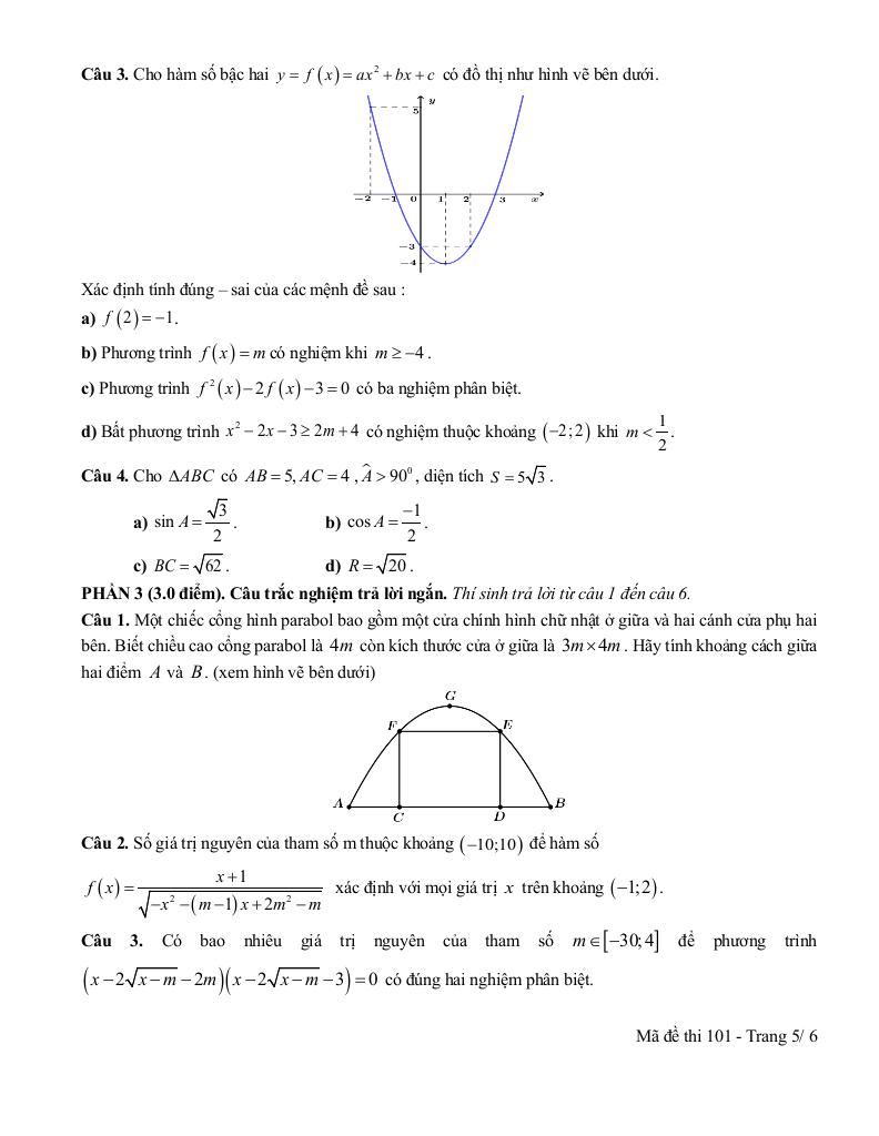
Phân tích một số câu hỏi tiêu biểu:

  1. Bài toán về chuyển động: Câu hỏi về hai tàu đánh cá xuất phát từ cùng một điểm và đi theo hai hướng khác nhau với vận tốc cho trước, yêu cầu tính khoảng cách giữa hai tàu sau một khoảng thời gian nhất định. Đây là một bài toán ứng dụng thực tế của định lý cosin trong tam giác, đòi hỏi học sinh phải vẽ hình chính xác và thiết lập phương trình phù hợp.
  2. Bài toán về tập hợp: Câu hỏi về số học sinh giỏi các môn Toán, Lý, Hóa và các trường hợp học sinh giỏi nhiều môn. Bài toán này yêu cầu học sinh nắm vững các khái niệm về hợp, giao, hiệu của các tập hợp và sử dụng sơ đồ Venn để biểu diễn và giải quyết bài toán một cách hiệu quả. Các khẳng định a, b, c, d cần được kiểm chứng bằng kiến thức về tập hợp.
  3. Bài toán về hàm số bậc hai: Câu hỏi về cổng Gateway Arch có hình dạng parabol. Bài toán này yêu cầu học sinh xác định được phương trình của parabol dựa vào các thông tin đã cho và tính chiều cao của cổng. Đây là một bài toán ứng dụng thực tế của hàm số bậc hai, đòi hỏi học sinh phải hiểu rõ về các yếu tố của parabol và cách tìm tọa độ đỉnh, trục đối xứng.

Lợi ích khi sử dụng đề thi:

  • Giúp học sinh làm quen với cấu trúc đề thi học sinh giỏi Toán 10.
  • Rèn luyện kỹ năng giải quyết các bài toán khó và phức tạp.
  • Đánh giá năng lực và kiến thức của bản thân.
  • Hỗ trợ thầy cô giáo trong việc xây dựng kế hoạch ôn tập và bồi dưỡng học sinh giỏi.

File WORD (dành cho quý thầy, cô): TẢI XUỐNG

Khởi đầu hành trình Toán THPT vững vàng với nội dung đề thi học sinh giỏi toán 10 năm 2024 – 2025 cụm việt yên – bắc giang trong chuyên mục toán lớp 10 trên nền tảng toán học! Bộ bài tập toán thpt, được biên soạn chuyên sâu và bám sát chặt chẽ chương trình Toán lớp 10 hiện hành, cam kết tối ưu hóa toàn diện quá trình ôn luyện. Qua đó, học sinh không chỉ củng cố kiến thức cốt lõi mà còn xây dựng nền tảng vững chắc cho các năm học tiếp theo và định hướng đại học, nhờ phương pháp tiếp cận trực quan, logic và mang lại hiệu quả học tập vượt trội.
images-post/de-thi-hoc-sinh-gioi-toan-10-nam-2024-2025-cum-viet-yen-bac-giang-01.jpgimages-post/de-thi-hoc-sinh-gioi-toan-10-nam-2024-2025-cum-viet-yen-bac-giang-02.jpgimages-post/de-thi-hoc-sinh-gioi-toan-10-nam-2024-2025-cum-viet-yen-bac-giang-03.jpgimages-post/de-thi-hoc-sinh-gioi-toan-10-nam-2024-2025-cum-viet-yen-bac-giang-04.jpgimages-post/de-thi-hoc-sinh-gioi-toan-10-nam-2024-2025-cum-viet-yen-bac-giang-05.jpgimages-post/de-thi-hoc-sinh-gioi-toan-10-nam-2024-2025-cum-viet-yen-bac-giang-06.jpgimages-post/de-thi-hoc-sinh-gioi-toan-10-nam-2024-2025-cum-viet-yen-bac-giang-07.jpgimages-post/de-thi-hoc-sinh-gioi-toan-10-nam-2024-2025-cum-viet-yen-bac-giang-08.jpgimages-post/de-thi-hoc-sinh-gioi-toan-10-nam-2024-2025-cum-viet-yen-bac-giang-09.jpgimages-post/de-thi-hoc-sinh-gioi-toan-10-nam-2024-2025-cum-viet-yen-bac-giang-10.jpg

File đề thi học sinh giỏi toán 10 năm 2024 – 2025 cụm việt yên – bắc giang PDF Chi Tiết

TÌM KIẾM THEO TỪ KHÓA