giaibaitoan.com xin giới thiệu đến quý thầy cô giáo và các em học sinh đề thi tuyển sinh lớp 10 chuyên Toán năm học 2025 – 2026 của Sở Giáo dục và Đào tạo tỉnh Hải Dương. Đề thi được cung cấp kèm theo đáp án và lời giải chi tiết, hứa hẹn sẽ là tài liệu ôn tập hữu ích cho các em học sinh đang chuẩn bị cho kỳ thi quan trọng này.
Đề thi năm nay được đánh giá là có độ khó tương đối cao, đòi hỏi học sinh phải có kiến thức vững chắc và kỹ năng giải quyết vấn đề tốt. Các bài toán không chỉ kiểm tra kiến thức nền tảng mà còn đánh giá khả năng tư duy logic, sáng tạo và vận dụng linh hoạt các công cụ toán học. Dưới đây là nội dung chi tiết của đề thi:
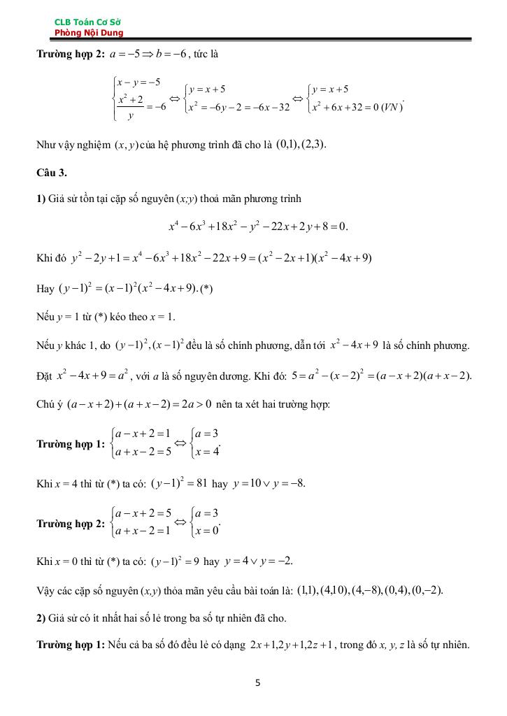
Cho ba số tự nhiên, biết tổng của hai số bất kỳ trong ba số đó là một số chính phương. Chứng minh rằng trong ba số đã cho có không quá một số lẻ.
Nhận xét: Đây là một bài toán số học khá thú vị, đòi hỏi học sinh phải nắm vững kiến thức về số chính phương và các tính chất của chúng. Để giải bài toán này, có thể sử dụng phương pháp xét tính chẵn lẻ và kết hợp với các điều kiện đã cho để đưa ra kết luận.
Cho tam giác ABC nhọn có AB < AC và các đường cao AD, BE, CF cắt nhau tại H. Gọi I là giao điểm của EF và AH. Kẻ IJ song song với BC (J thuộc HE). Đường thẳng AJ cắt BC tại M.
Nhận xét: Bài toán hình học này tập trung vào kiến thức về đường cao trong tam giác, tính chất của các điểm đặc biệt (trực tâm, giao điểm của đường cao) và các định lý về tam giác đồng dạng. Việc chứng minh hai góc bằng nhau và sử dụng các hệ thức lượng trong tam giác là những kỹ năng cần thiết để giải quyết bài toán này.
Trên mặt phẳng cho 2 x 2026 điểm phân biệt, trong đó không có bất kỳ ba điểm nào thẳng hàng. Người ta tô 2026 điểm trong các điểm đã cho bằng màu đỏ và tô 2026 điểm còn lại bằng màu xanh. Chứng minh rằng, bao giờ cũng tồn tại 2026 đoạn thẳng mà mỗi đoạn thẳng có 2 điểm đầu mút là một cặp điểm đỏ – xanh và 2 đoạn thẳng bất kỳ trong số các đoạn thẳng đó không có điểm chung.
Nhận xét: Đây là một bài toán tổ hợp có tính chất ứng dụng cao, đòi hỏi học sinh phải có khả năng tư duy trừu tượng và sử dụng các kỹ thuật đếm. Bài toán này có thể được giải bằng cách sử dụng nguyên lý Dirichlet hoặc các phương pháp chứng minh tồn tại khác.
Đánh giá chung: Đề thi tuyển sinh lớp 10 chuyên Toán tỉnh Hải Dương năm 2025 – 2026 là một đề thi chất lượng, có tính phân loại cao. Đề thi không chỉ kiểm tra kiến thức mà còn đánh giá khả năng vận dụng và sáng tạo của học sinh. Việc làm quen với các dạng bài tập trong đề thi này sẽ giúp các em học sinh tự tin hơn khi bước vào kỳ thi thực tế.








