Logo Header
  1. Môn Toán
  2. đề tuyển sinh lớp 10 môn toán (chuyên) năm 2025 – 2026 sở gd&đt sơn la

đề tuyển sinh lớp 10 môn toán (chuyên) năm 2025 – 2026 sở gd&đt sơn la

Bạn đang xem tài liệu đề tuyển sinh lớp 10 môn toán (chuyên) năm 2025 – 2026 sở gd&đt sơn la được biên soạn theo toán mới nhất. Tài liệu này hệ thống hóa kiến thức một cách khoa học, phù hợp cho mọi lộ trình học từ cơ bản đến nâng cao. Hãy khai thác triệt để nội dung để bứt phá điểm số và tự tin chinh phục mọi kỳ thi nhé!

giaibaitoan.com xin giới thiệu đến quý thầy cô giáo và các em học sinh đề thi tuyển sinh lớp 10 chuyên môn Toán năm học 2025 – 2026 của Sở Giáo dục và Đào tạo tỉnh Sơn La. Đề thi được cung cấp kèm theo đáp án và lời giải chi tiết, hỗ trợ tối đa cho quá trình ôn luyện và làm quen với cấu trúc đề thi chuyên.

Đề thi năm nay tiếp tục duy trì định hướng đánh giá năng lực toàn diện của học sinh, bao gồm các mảng kiến thức trọng tâm như đại số, hình học và xác suất thống kê. Các bài toán được xây dựng có tính ứng dụng cao, đòi hỏi học sinh không chỉ nắm vững lý thuyết mà còn cần có kỹ năng giải quyết vấn đề linh hoạt và sáng tạo.

Dưới đây là nội dung chi tiết các câu hỏi trong đề thi:

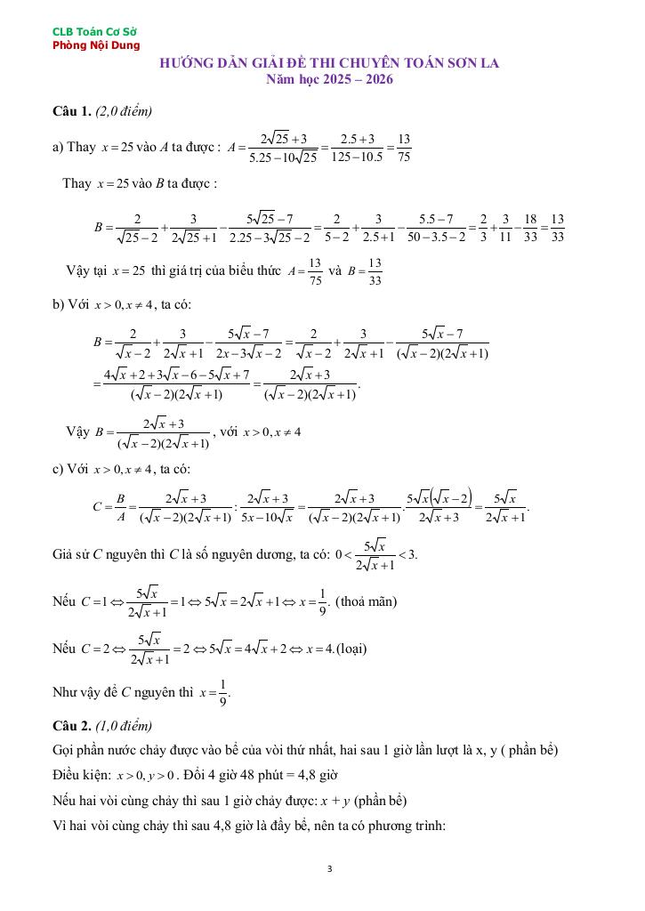
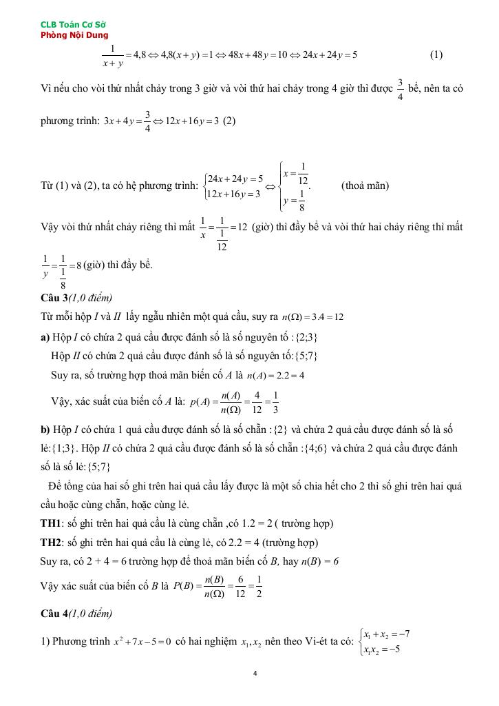
  1. Bài toán về chuyển động và năng suất: Hai vòi nước cùng chảy vào một bể không có nước trong 4 giờ 48 phút thì đầy bể. Nếu mở vòi thứ nhất trong 3 giờ và vòi thứ hai trong 4 giờ thì được 3/4 bể nước. Hỏi nếu mỗi vòi chảy riêng thì trong bao lâu sẽ đầy bể?
  2. Nhận xét: Đây là một bài toán quen thuộc về ứng dụng của phương trình bậc nhất hai ẩn. Điểm đặc biệt của bài toán nằm ở việc chuyển đổi thời gian về cùng đơn vị và thiết lập hệ phương trình một cách chính xác. Bài toán rèn luyện kỹ năng giải quyết vấn đề thực tế và tư duy logic.

  3. Bài toán về xác suất: Có hai hộp I và II chứa các quả cầu có kích thước và khối lượng như nhau. Hộp I chứa 3 quả cầu được đánh số 1; 2; 3. Hộp II chứa 4 quả cầu được đánh số 4; 5; 6; 7, hai quả cầu khác nhau được đánh số khác nhau. Từ mỗi hộp I và II lấy ngẫu nhiên một quả cầu. Tính xác suất của mỗi biến cố sau: a) A: “Số trên hai quả cầu được lấy ra đều là số nguyên tố”. b) B: “Tổng của hai số ghi trên hai quả cầu được lấy ra là một số chia hết cho 2”.
  4. Nhận xét: Bài toán này kiểm tra kiến thức về không gian mẫu, biến cố và cách tính xác suất của biến cố. Học sinh cần xác định chính xác các số nguyên tố trong tập hợp các số đã cho và áp dụng công thức tính xác suất một cách phù hợp. Bài toán giúp củng cố kiến thức về xác suất thống kê và rèn luyện khả năng phân tích, suy luận.

  5. Bài toán về hình học không gian và tính thể tích: Một lọ nước hoa có hình dạng bên ngoài là hình cầu làm bằng thủy tinh có đường kính 8 cm. Lòng bên trong của lọ cũng là một hình cầu nhỏ cùng tâm với hình cầu bên ngoài để chứa nước hoa. Hỏi phải làm thành lọ có độ dày là bao nhiêu cm để chứa được lượng nước hoa là 120 ml? (kết quả làm tròn ở bước cuối cùng, lấy pi ≈ 3,14 và làm tròn đến hàng phần mười). Biết rằng lượng nước hoa được chứa trong lọ chiếm 80% thể tích của phần có thể chứa nước hoa.
  6. Nhận xét: Đây là một bài toán kết hợp kiến thức về hình cầu, thể tích hình cầu và tỷ lệ phần trăm. Học sinh cần tính được thể tích của hình cầu bên ngoài và hình cầu bên trong, sau đó tính thể tích phần vỏ lọ và sử dụng thông tin về lượng nước hoa để tìm ra độ dày của vỏ lọ. Bài toán đòi hỏi sự chính xác trong tính toán và khả năng vận dụng kiến thức vào thực tế.

Việc phân tích chi tiết các câu hỏi trong đề thi này sẽ giúp học sinh hiểu rõ hơn về cấu trúc đề thi, các dạng bài thường gặp và mức độ khó của từng câu hỏi. Đồng thời, việc tham khảo đáp án và lời giải chi tiết sẽ giúp học sinh tự đánh giá năng lực của bản thân và có kế hoạch ôn luyện phù hợp.

Chinh phục các kỳ thi Toán lớp 9 quan trọng với nội dung đề tuyển sinh lớp 10 môn toán (chuyên) năm 2025 – 2026 sở gd&đt sơn la trong chuyên mục sgk toán 9 trên nền tảng toán! Bộ bài tập toán trung học cơ sở, được biên soạn chuyên sâu, bám sát cấu trúc đề thi và chương trình sách giáo khoa hiện hành, cam kết tối ưu hóa toàn diện lộ trình ôn luyện. Qua đó, học sinh không chỉ củng cố vững chắc kiến thức mà còn thuần thục các dạng bài thi, tự tin đạt điểm cao, nhờ phương pháp tiếp cận trực quan, khoa học và mang lại hiệu quả học tập vượt trội.
images-post/de-tuyen-sinh-lop-10-mon-toan-chuyen-nam-2025-2026-so-gd-dt-son-la-1.jpgimages-post/de-tuyen-sinh-lop-10-mon-toan-chuyen-nam-2025-2026-so-gd-dt-son-la-2.jpgimages-post/de-tuyen-sinh-lop-10-mon-toan-chuyen-nam-2025-2026-so-gd-dt-son-la-3.jpgimages-post/de-tuyen-sinh-lop-10-mon-toan-chuyen-nam-2025-2026-so-gd-dt-son-la-4.jpgimages-post/de-tuyen-sinh-lop-10-mon-toan-chuyen-nam-2025-2026-so-gd-dt-son-la-5.jpgimages-post/de-tuyen-sinh-lop-10-mon-toan-chuyen-nam-2025-2026-so-gd-dt-son-la-6.jpg

File đề tuyển sinh lớp 10 môn toán (chuyên) năm 2025 – 2026 sở gd&đt sơn la PDF Chi Tiết