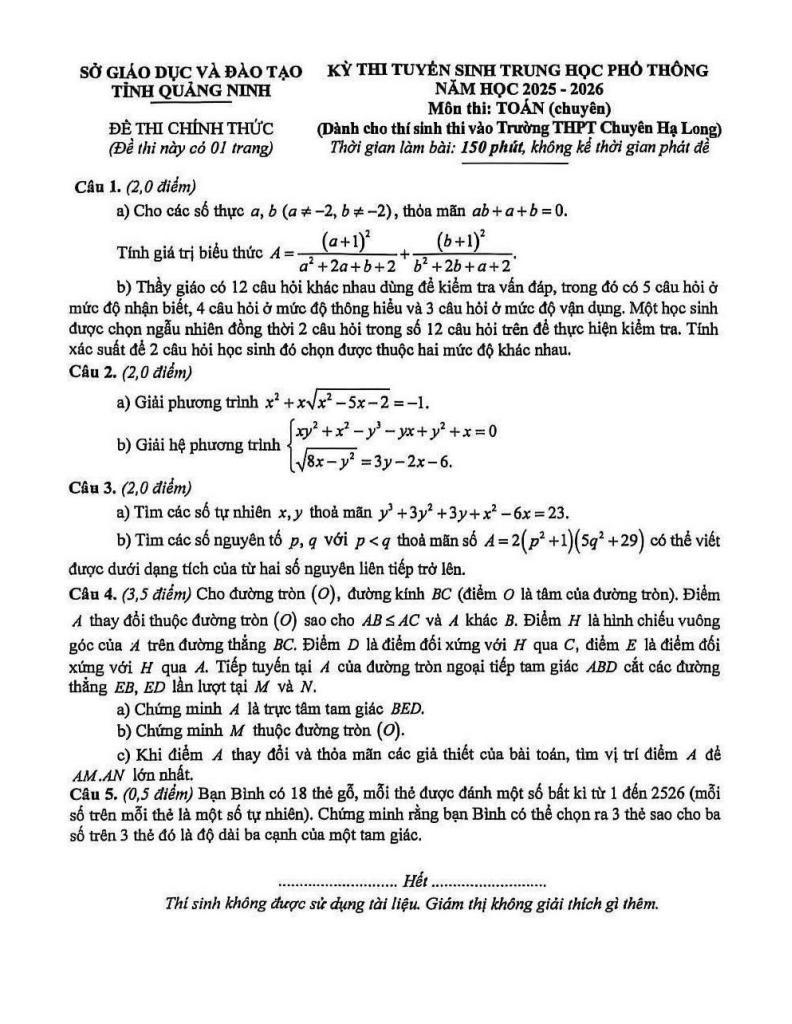
giaibaitoan.com xin giới thiệu đến quý thầy cô giáo và các em học sinh đề thi tuyển sinh lớp 10 chuyên Toán năm học 2025 – 2026 của Sở Giáo dục và Đào tạo tỉnh Quảng Ninh. Đây là đề thi chính thức dành cho các thí sinh tham gia kỳ thi tuyển chọn vào trường THPT chuyên Hạ Long, tỉnh Quảng Ninh.
Đề thi năm nay được đánh giá là có độ khó cao, phân loại rõ ràng học sinh, đòi hỏi thí sinh phải có kiến thức vững chắc, kỹ năng giải quyết vấn đề linh hoạt và khả năng tư duy logic tốt. Cấu trúc đề thi bao gồm các câu hỏi thuộc nhiều lĩnh vực khác nhau của chương trình Toán THCS, được trình bày chi tiết như sau:
“Thầy giáo có 12 câu hỏi khác nhau dùng để kiểm tra vấn đáp, trong đó có 5 câu hỏi ở mức độ nhận biết, 4 câu hỏi ở mức độ thông hiểu và 3 câu hỏi ở mức độ vận dụng. Một học sinh được chọn ngẫu nhiên đồng thời 2 câu hỏi trong số 12 câu hỏi trên để thực hiện kiểm tra. Tính xác suất để 2 câu hỏi học sinh đó chọn được thuộc hai mức độ khác nhau.”
Nhận xét: Đây là một bài toán xác suất khá cơ bản, yêu cầu học sinh nắm vững các công thức tính xác suất của biến cố và kỹ năng đếm. Điểm đặc biệt của bài toán là việc tính toán số lượng các trường hợp thuận lợi, đòi hỏi học sinh phải phân tích kỹ đề bài và sử dụng các quy tắc tổ hợp một cách hợp lý.
“Cho đường tròn (O), đường kính BC (điểm O là tâm của đường tròn). Điểm A thay đổi thuộc đường tròn (O) sao cho AB ≤ AC và A khác B. Điểm H là hình chiếu vuông góc của A trên đường thẳng BC. Điểm D là điểm đối xứng với H qua C, điểm E là điểm đối xứng với H qua A. Tiếp tuyến tại A của đường tròn ngoại tiếp tam giác ABD cắt các đường thẳng EB, ED lần lượt tại M và N. a) Chứng minh A là trực tâm tam giác BED. b) Chứng minh M thuộc đường tròn (O). c) Khi điểm A thay đổi và thỏa mãn các giả thiết của bài toán, tìm vị trí điểm A để giaibaitoan.com lớn nhất.”
Nhận xét: Đây là một bài toán hình học không gian điển hình, đòi hỏi học sinh phải có kiến thức vững chắc về đường tròn, tam giác, đối xứng và tiếp tuyến. Bài toán có tính chất tổng hợp cao, yêu cầu học sinh phải kết hợp nhiều kiến thức và kỹ năng khác nhau để giải quyết. Đặc biệt, câu c) là một câu hỏi khó, đòi hỏi học sinh phải có khả năng tư duy sáng tạo và sử dụng các phương pháp tối ưu hóa.
“Bạn Bình có 18 thẻ gỗ, mỗi thẻ được đánh một số bất kì từ 1 đến 2526 (mỗi số trên mỗi thẻ là một số tự nhiên). Chứng minh rằng bạn Bình có thể chọn ra 3 thẻ sao cho ba số trên 3 thẻ đó là độ dài ba cạnh của một tam giác.”
Nhận xét: Đây là một bài toán số học mang tính chất ứng dụng cao, liên quan đến điều kiện cần và đủ để ba số là độ dài ba cạnh của một tam giác (bất đẳng thức tam giác). Bài toán yêu cầu học sinh phải có khả năng phân tích và chứng minh một cách logic, sử dụng các kiến thức về bất đẳng thức và nguyên tắc Dirichlet (còn gọi là nguyên lý chuồng bồ câu).
Đánh giá chung: Đề thi tuyển sinh lớp 10 chuyên Toán tỉnh Quảng Ninh năm 2025 – 2026 là một đề thi chất lượng, có tính phân loại cao, phù hợp với mục tiêu tuyển chọn học sinh có năng lực và đam mê với môn Toán. Việc luyện tập và làm quen với các dạng bài tập tương tự sẽ giúp các em học sinh tự tin hơn khi bước vào kỳ thi chính thức.
