giaibaitoan.com xin giới thiệu đến quý thầy cô giáo và các em học sinh đề thi tuyển sinh lớp 10 môn Toán chính thức năm học 2025 – 2026 của trường THPT chuyên Hà Tĩnh, tỉnh Hà Tĩnh. Đề thi được cung cấp kèm theo đáp án và lời giải chi tiết, hứa hẹn sẽ là tài liệu ôn tập hữu ích cho các em học sinh đang chuẩn bị cho kỳ thi quan trọng này.
Đề thi năm nay được đánh giá là có độ khó cao, đòi hỏi học sinh không chỉ nắm vững kiến thức nền tảng mà còn cần có khả năng vận dụng linh hoạt và tư duy logic để giải quyết các bài toán. Cấu trúc đề thi bao gồm các dạng bài tập khác nhau, tập trung vào các chủ đề thường gặp trong chương trình Toán THCS, đồng thời có sự phân hóa rõ rệt về độ khó, phù hợp với mục tiêu tuyển chọn học sinh vào trường chuyên.
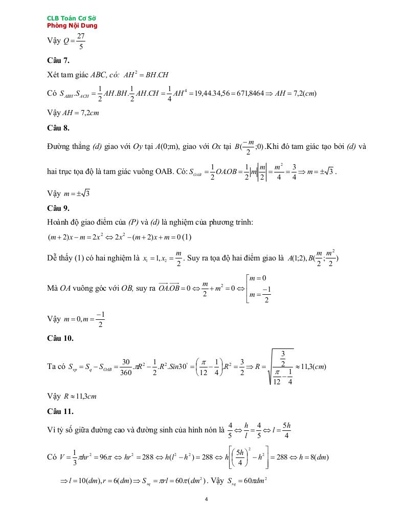
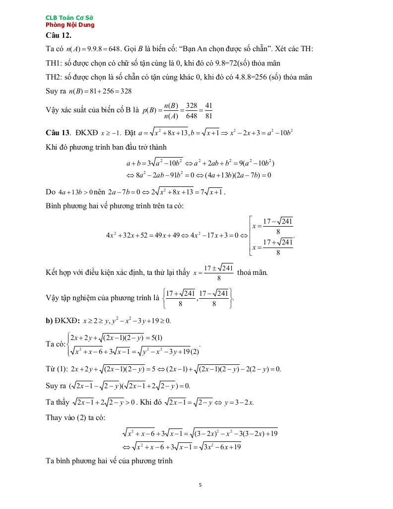
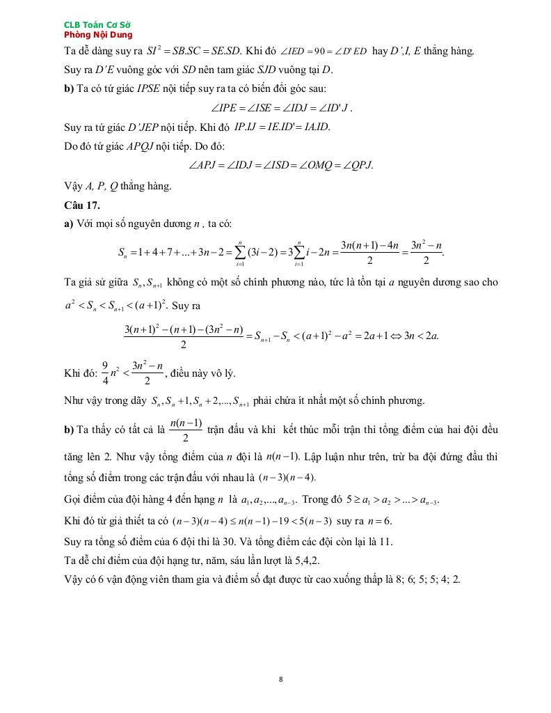
Dưới đây là trích dẫn chi tiết nội dung đề thi:
Cho tam giác ABC nhọn (AB < AC) nội tiếp đường tròn (O). Gọi I là tâm đường tròn nội tiếp tam giác ABC. Đường thẳng AI cắt đường tròn (O) tại D (khác A), đường thẳng qua I vuông góc với AD cắt đường thẳng BC tại S. Gọi J là điểm đối xứng của I qua O.
Nhận xét: Bài toán hình học này đòi hỏi học sinh có kiến thức vững chắc về đường tròn nội tiếp, đường tròn ngoại tiếp, tính chất đối xứng và các định lý liên quan đến tam giác. Việc chứng minh D là tâm đường tròn ngoại tiếp tam giác BIC có thể sử dụng các tính chất về góc nội tiếp và góc tạo bởi tiếp tuyến, đường kính. Phần b của bài toán đòi hỏi sự kết hợp nhiều kiến thức và kỹ năng, đặc biệt là việc sử dụng phương pháp tọa độ hoặc các định lý về đường thẳng và đường tròn.
Với mỗi số nguyên dương n, đặt tổng Sn = 1 + 4 + 7 + … + (3n – 2). Chứng minh trong các số Sn; Sn + 1; Sn + 2; …; Sn+1 có ít nhất một số chính phương.
Nhận xét: Bài toán đại số này tập trung vào việc tìm hiểu về dãy số và tính chất của số chính phương. Học sinh cần xác định được công thức tổng quát của Sn và sử dụng các kỹ năng về phân tích số để chứng minh mệnh đề. Bài toán này có thể được giải bằng nhiều cách khác nhau, tùy thuộc vào khả năng và sự sáng tạo của học sinh.
Một giải cờ vua có n vận động viên tham gia thi đấu theo thể thức vòng tròn tính điểm. Hai vận động viên bất kỳ phải thi đấu với nhau đúng một ván. Nếu ván đấu có phân định thắng – thua thì người thắng được 2 điểm, người thua không có điểm; nếu ván đấu hòa thì mỗi người được 1 điểm. Sau khi thi đấu xong tất cả các ván đấu, các vận động viên được xếp hạng theo thứ tự số điểm từ cao xuống thấp, nếu có từ hai người trở lên cùng điểm thì sẽ dùng tiêu chí phụ để xếp hạng. Kết quả người xếp thứ nhất được 8 điểm, người xếp thứ hai được 6 điểm, người xếp thứ ba được 5 điểm và các vận động viên còn lại có số điểm khác nhau từng cặp. Tìm n và số điểm của các vận động viên.
Nhận xét: Bài toán này kết hợp kiến thức về tổ hợp và số học, đòi hỏi học sinh phải hiểu rõ về thể thức thi đấu vòng tròn và cách tính điểm. Việc tìm ra giá trị của n và số điểm của các vận động viên đòi hỏi sự phân tích logic và khả năng giải quyết bài toán bằng phương pháp loại trừ hoặc sử dụng các công thức tổ hợp.
Hy vọng đề thi này sẽ là một công cụ hữu ích giúp các em học sinh ôn luyện và đạt kết quả tốt nhất trong kỳ thi tuyển sinh lớp 10 sắp tới. giaibaitoan.com sẽ tiếp tục cập nhật thêm nhiều đề thi và tài liệu ôn tập khác để hỗ trợ các em trong quá trình học tập.







