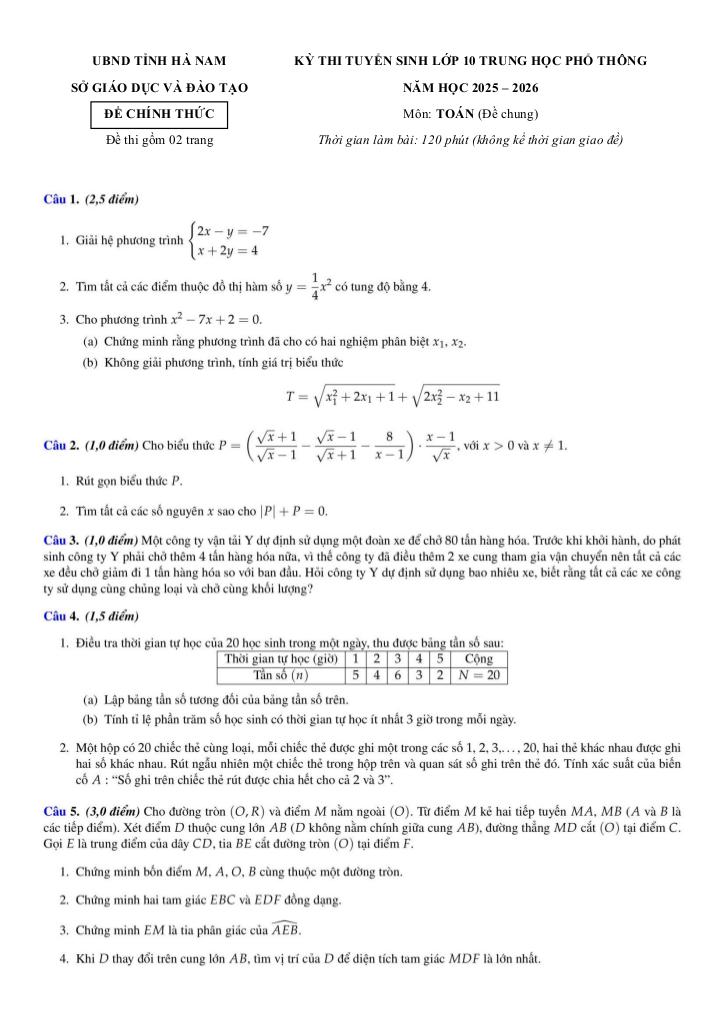
giaibaitoan.com xin giới thiệu đến quý thầy cô giáo và các em học sinh đề thi tuyển sinh lớp 10 Trung học Phổ thông môn Toán (chung) năm học 2025 – 2026 của Sở Giáo dục và Đào tạo tỉnh Hà Nam, kèm theo đáp án và lời giải chi tiết. Đây là một nguồn tài liệu quý báu để ôn tập và làm quen với cấu trúc đề thi, đồng thời đánh giá năng lực bản thân trước kỳ thi quan trọng.
Đề thi năm nay được đánh giá là có độ khó vừa phải, bám sát chương trình học phổ thông cơ sở, đồng thời có tính ứng dụng thực tế cao. Các câu hỏi không chỉ kiểm tra kiến thức về đại số, hình học mà còn rèn luyện kỹ năng giải quyết vấn đề, tư duy logic và khả năng vận dụng toán học vào các tình huống thực tế.
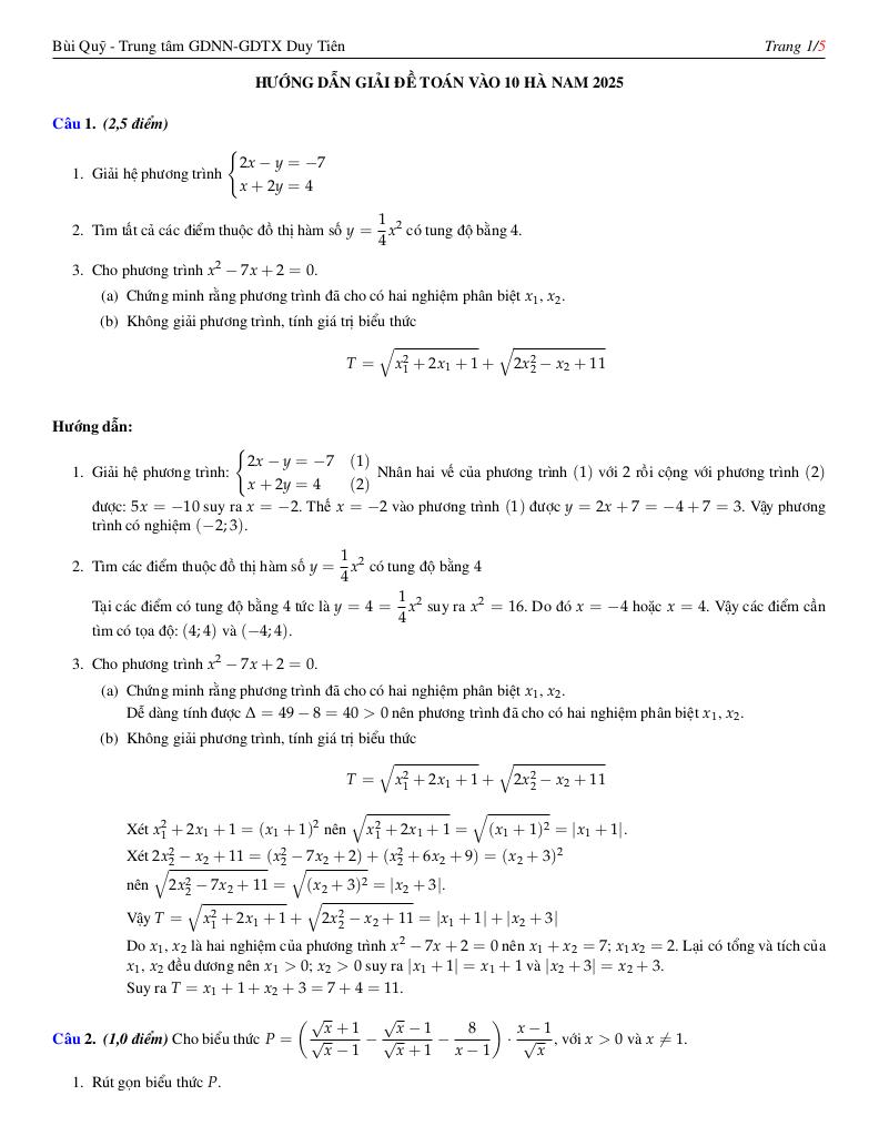
Dưới đây là nội dung chi tiết của đề thi:
Một công ty vận tải Y dự định sử dụng một đoàn xe để chở 80 tấn hàng hóa. Trước khi khởi hành, do phát sinh công ty Y phải chở thêm 4 tấn hàng hóa nữa, vì thế công ty đã điều thêm 2 xe cùng tham gia vận chuyển nên tất cả các xe đều chở giảm đi 1 tấn hàng hóa so với ban đầu. Hỏi công ty Y dự định sử dụng bao nhiêu xe, biết rằng tất cả các xe công ty sử dụng cùng chủng loại và chở cùng khối lượng?
Nhận xét: Đây là một bài toán điển hình về ứng dụng phương trình bậc hai để giải quyết bài toán thực tế. Bài toán đòi hỏi học sinh phải xác định được các đại lượng liên quan, thiết lập phương trình và giải phương trình để tìm ra nghiệm phù hợp với điều kiện của bài toán.
Hình 1 mô tả ba địa điểm nằm ở ba vị trí là ba đỉnh của tam giác ABC vuông tại A. Do điều kiện thực tế không đo được trực tiếp khoảng cách từ B đến C, nhưng đo được AB = 200m và ABC = 30◦. Tính khoảng cách BC (kết quả làm tròn đến hàng đơn vị của mét).
Nhận xét: Bài toán này kiểm tra kiến thức về tam giác vuông, các tỉ số lượng giác và khả năng vận dụng vào giải quyết bài toán thực tế. Học sinh cần sử dụng các công thức lượng giác để tính toán và đưa ra kết quả chính xác.
Trường THCS X đang khảo sát để làm một vườn thực nghiệm hình chữ nhật MNPQ trên khu đất dạng tam giác ABC vuông tại A nằm ở góc khuôn viên nhà trường (như hình 2), với AB = 6 m, AC = 8 m. Biết chi phí làm mỗi mét vuông vườn thực nghiệm là 1,2 triệu đồng, hỏi nhà trường cần chi phí bao nhiêu triệu đồng để diện tích khu vườn làm được là lớn nhất?
Nhận xét: Đây là một bài toán tối ưu hóa diện tích hình chữ nhật nội tiếp trong tam giác vuông. Bài toán đòi hỏi học sinh phải thiết lập biểu thức diện tích hình chữ nhật theo một biến, tìm giá trị của biến để diện tích đạt giá trị lớn nhất và tính toán chi phí tương ứng.
Kết luận: Đề thi tuyển sinh lớp 10 môn Toán năm 2025 – 2026 tỉnh Hà Nam là một đề thi chất lượng, có tính phân loại học sinh tốt. Việc nắm vững kiến thức cơ bản, rèn luyện kỹ năng giải toán và làm quen với các dạng bài tập tương tự sẽ giúp các em học sinh đạt kết quả tốt nhất trong kỳ thi sắp tới.






