Logo Header
  1. Môn Toán
  2. 16 đề ôn tập kiểm tra 1 tiết hàm số lượng giác và phương trình lượng giác

16 đề ôn tập kiểm tra 1 tiết hàm số lượng giác và phương trình lượng giác

Bạn đang xem tài liệu 16 đề ôn tập kiểm tra 1 tiết hàm số lượng giác và phương trình lượng giác được biên soạn theo học toán mới nhất. Tài liệu này hệ thống hóa kiến thức một cách khoa học, phù hợp cho mọi lộ trình học từ cơ bản đến nâng cao. Hãy khai thác triệt để nội dung để bứt phá điểm số và tự tin chinh phục mọi kỳ thi nhé!

Tuyển tập 16 đề ôn tập Đại số và Giải tích 11 – Hàm số lượng giác và Phương trình lượng giác: Đánh giá chi tiết và Phân tích cấu trúc

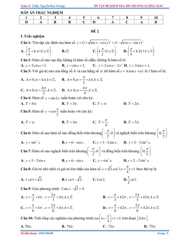
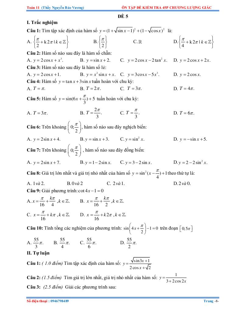
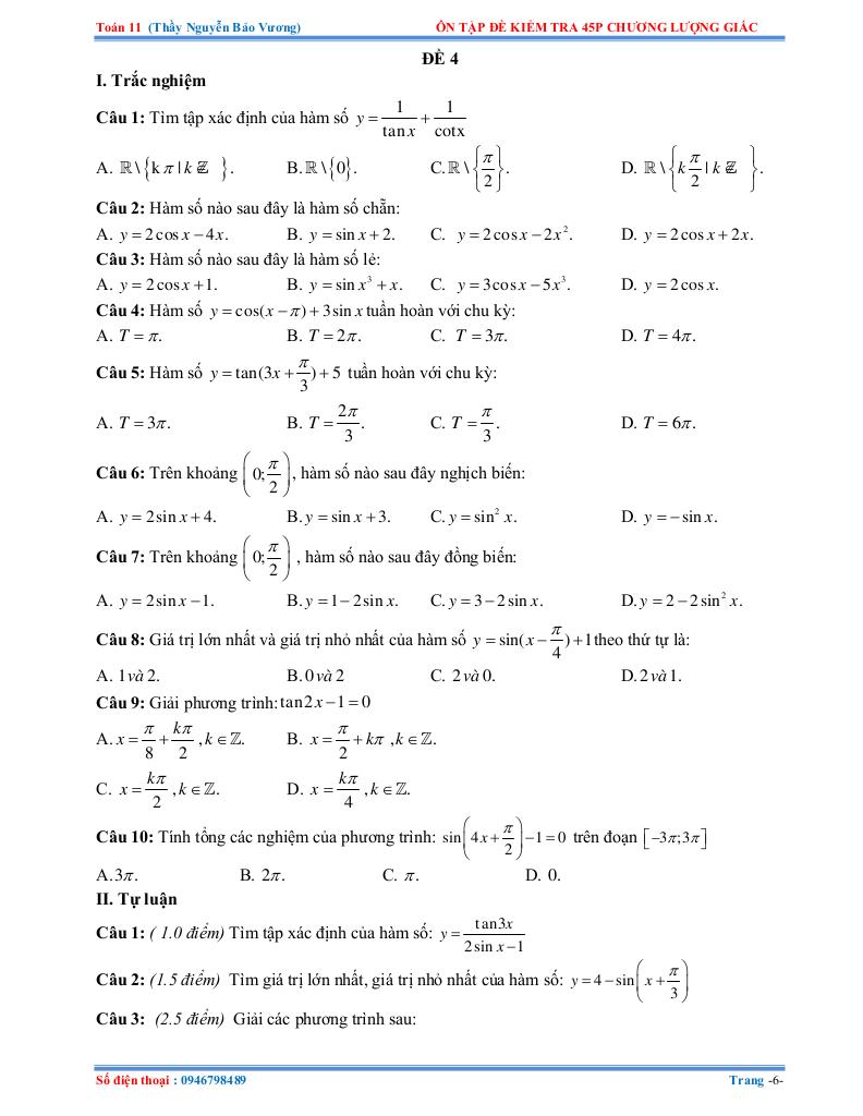
Tài liệu ôn tập do thầy Nguyễn Bảo Vương biên soạn, với độ dài 31 trang, là một nguồn tài liệu hữu ích dành cho học sinh khối 11 trong quá trình chuẩn bị cho kiểm tra 1 tiết môn Đại số và Giải tích, tập trung vào chương 1 – Hàm số lượng giác và Phương trình lượng giác. Điểm mạnh của tài liệu nằm ở cấu trúc đa dạng, kết hợp 16 đề thi trắc nghiệm và tự luận, mỗi đề bao gồm 10 câu trắc nghiệm khách quan kèm đáp án và 3 bài toán tự luận. Sự kết hợp này cho phép học sinh rèn luyện đồng thời khả năng nắm vững kiến thức lý thuyết và kỹ năng giải quyết vấn đề.

Mục tiêu và Đối tượng sử dụng:

Tài liệu được thiết kế với mục tiêu chính là đánh giá mức độ tiếp thu kiến thức của học sinh sau khi hoàn thành việc học tập chủ đề hàm số lượng giác và phương trình lượng giác. Đây là một công cụ hỗ trợ đắc lực cho cả học sinh tự học và giáo viên trong việc kiểm tra, đánh giá năng lực học tập của học sinh.

Phân tích cấu trúc đề thi và dạng bài tập:

Qua việc khảo sát một số câu hỏi trích dẫn từ tài liệu, có thể nhận thấy các dạng bài tập được đề cập đến bao gồm:

  1. Tính chất của hàm số lượng giác: Đề bài yêu cầu xác định tính chất tuần hoàn, tính chẵn lẻ của hàm số lượng giác, và tìm giá trị lớn nhất/nhỏ nhất của hàm số. Ví dụ: Câu hỏi về hàm số y = cosx + cosπx đòi hỏi học sinh phải nắm vững định nghĩa về hàm tuần hoàn, hàm chẵn, và kỹ năng biến đổi lượng giác để xác định giá trị lớn nhất.
  2. Phân tích và xét tính chất của hàm hợp: Các bài tập liên quan đến hai hàm số f(x) và g(x) yêu cầu học sinh phải hiểu rõ về tính chất của các hàm lượng giác cơ bản (sin, cos, tan, cot) và cách chúng ảnh hưởng đến tính chất của hàm hợp. Ví dụ: Câu hỏi về f(x) = sin(3x + π/2) và g(x) = (tan2x + sin3x)/cos(4x + π/2) đòi hỏi học sinh phải phân tích cấu trúc hàm số để xác định tính đối xứng hoặc tính chẵn lẻ.
  3. Xác định tính chẵn lẻ của hàm số phức tạp: Bài tập yêu cầu xét tính chẵn lẻ của hàm số y = cosx – (cot3x)^2 đòi hỏi học sinh phải áp dụng định nghĩa về hàm chẵn, hàm lẻ và sử dụng các phép biến đổi lượng giác để chứng minh hoặc bác bỏ tính chất đó.

Đánh giá chung:

Tài liệu là một nguồn tài liệu ôn tập chất lượng, được biên soạn công phu với cấu trúc rõ ràng và nội dung bám sát chương trình học. Việc cung cấp đáp án cho phần trắc nghiệm giúp học sinh tự đánh giá kết quả học tập và điều chỉnh phương pháp ôn tập phù hợp. Tuy nhiên, để nâng cao hơn nữa giá trị của tài liệu, có thể bổ sung thêm:

  • Phân tích đáp án chi tiết: Giải thích rõ ràng cách giải cho các bài toán tự luận, đặc biệt là những bài toán có nhiều cách tiếp cận khác nhau.
  • Phân loại bài tập theo mức độ khó: Giúp học sinh có thể lựa chọn bài tập phù hợp với trình độ của mình.
  • Mở rộng kiến thức: Đưa ra các bài tập nâng cao hoặc các ứng dụng thực tế của kiến thức hàm số lượng giác và phương trình lượng giác.

Nhìn chung, đây là một tài liệu tham khảo hữu ích cho học sinh khối 11 đang chuẩn bị cho kỳ kiểm tra 1 tiết môn Đại số và Giải tích, góp phần củng cố kiến thức và nâng cao kỹ năng giải quyết bài tập.

Chinh phục đỉnh cao Toán 11 và đặt nền móng vững chắc cho cánh cửa Đại học với nội dung 16 đề ôn tập kiểm tra 1 tiết hàm số lượng giác và phương trình lượng giác trong chuyên mục Ôn tập Toán lớp 11 trên nền tảng học toán! Bộ bài tập toán trung học phổ thông, được biên soạn chuyên sâu, bám sát chặt chẽ chương trình Toán lớp 11 và định hướng các kỳ thi quan trọng, cam kết tối ưu hóa toàn diện quá trình ôn luyện. Qua đó, học sinh không chỉ làm chủ kiến thức phức tạp mà còn rèn luyện tư duy giải quyết vấn đề, sẵn sàng cho các kỳ thi và chương trình đại học, nhờ phương pháp tiếp cận trực quan, logic và mang lại hiệu quả học tập vượt trội.
images-post/16-de-on-tap-kiem-tra-1-tiet-ham-so-luong-giac-va-phuong-trinh-luong-giac-01.jpgimages-post/16-de-on-tap-kiem-tra-1-tiet-ham-so-luong-giac-va-phuong-trinh-luong-giac-02.jpgimages-post/16-de-on-tap-kiem-tra-1-tiet-ham-so-luong-giac-va-phuong-trinh-luong-giac-03.jpgimages-post/16-de-on-tap-kiem-tra-1-tiet-ham-so-luong-giac-va-phuong-trinh-luong-giac-04.jpgimages-post/16-de-on-tap-kiem-tra-1-tiet-ham-so-luong-giac-va-phuong-trinh-luong-giac-05.jpgimages-post/16-de-on-tap-kiem-tra-1-tiet-ham-so-luong-giac-va-phuong-trinh-luong-giac-06.jpgimages-post/16-de-on-tap-kiem-tra-1-tiet-ham-so-luong-giac-va-phuong-trinh-luong-giac-07.jpgimages-post/16-de-on-tap-kiem-tra-1-tiet-ham-so-luong-giac-va-phuong-trinh-luong-giac-08.jpgimages-post/16-de-on-tap-kiem-tra-1-tiet-ham-so-luong-giac-va-phuong-trinh-luong-giac-09.jpgimages-post/16-de-on-tap-kiem-tra-1-tiet-ham-so-luong-giac-va-phuong-trinh-luong-giac-10.jpg

File 16 đề ôn tập kiểm tra 1 tiết hàm số lượng giác và phương trình lượng giác PDF Chi Tiết

TÌM KIẾM THEO TỪ KHÓA