Đánh giá chi tiết đề kiểm tra chương 1 Toán 11 – Trường PTDT Nội Trú Hà Nội: Hàm số và Phương trình Lượng giác
Đề kiểm tra chương 1 môn Toán lớp 11 của Trường PTDT Nội Trú Hà Nội là một công cụ đánh giá quan trọng, tập trung vào kiến thức trọng tâm của chương học: hàm số và phương trình lượng giác. Đề thi được xây dựng dưới dạng trắc nghiệm 100%, với 25 câu hỏi, đòi hỏi học sinh phải nắm vững lý thuyết, kỹ năng biến đổi và vận dụng linh hoạt các công thức lượng giác. Thời gian làm bài 45 phút là một áp lực vừa phải, đòi hỏi học sinh phải làm việc hiệu quả và chính xác.
Phân tích cấu trúc và độ khó của đề thi:
Việc lựa chọn hình thức trắc nghiệm cho thấy đề thi hướng đến việc kiểm tra nhanh chóng khả năng nhận biết, hiểu và vận dụng kiến thức cơ bản của học sinh. Tuy nhiên, để đạt điểm cao, học sinh không chỉ cần học thuộc công thức mà còn phải rèn luyện kỹ năng giải nhanh và loại trừ đáp án.
Dưới đây là phân tích chi tiết một số câu hỏi trích dẫn:
Đây là một câu hỏi điển hình, yêu cầu học sinh phải biết cách sử dụng công thức nhân đôi và công thức tích thành tổng để biến đổi phương trình tích thành phương trình đơn giản hơn. Việc nhận ra mối liên hệ giữa các nghiệm của phương trình gốc và các phương trình lựa chọn đòi hỏi sự tư duy logic và khả năng phân tích tốt. Đáp án chính xác thường liên quan đến việc biến đổi phương trình gốc về dạng sinx = sin(một góc nào đó).
Câu hỏi này đánh giá khả năng vận dụng các phương pháp giải phương trình lượng giác có tham số, kết hợp với việc sử dụng tính chất của hàm số lượng giác trên một khoảng xác định. Học sinh cần phải biến đổi phương trình về dạng sin(x + φ) = một giá trị, sau đó xét điều kiện để phương trình có nghiệm trong khoảng [-π/2;π/2]. Việc tìm khoảng giá trị của m và tính tích P đòi hỏi sự cẩn thận và chính xác trong tính toán.
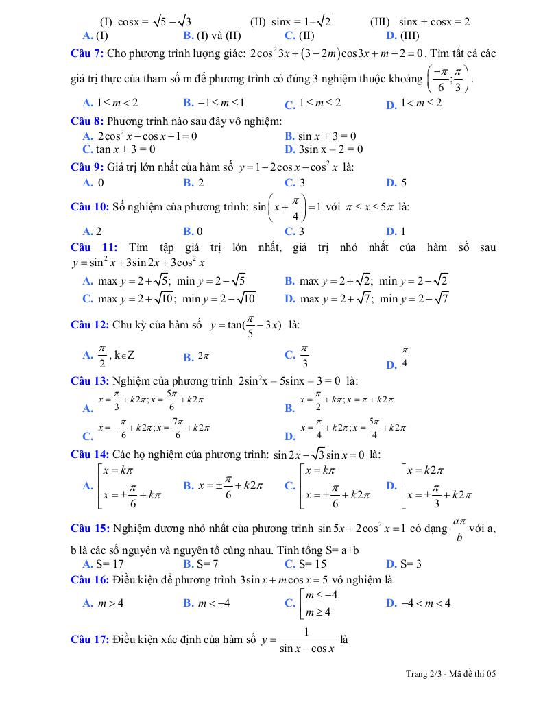
Đây là một câu hỏi đòi hỏi học sinh phải biết cách biến đổi phương trình lượng giác về dạng đơn giản, sử dụng các công thức lượng giác cơ bản (ví dụ: sin^2x + cos^2x = 1) và tìm nghiệm dương nhỏ nhất. Việc biểu diễn nghiệm dưới dạng aπ/b và tìm tổng S đòi hỏi học sinh phải có kỹ năng đại số tốt và khả năng phân tích.
Nhận xét chung:
Đề thi có tính phân loại học sinh tốt, với các câu hỏi từ dễ đến khó, bao phủ nhiều khía cạnh của kiến thức về hàm số và phương trình lượng giác. Đề thi phù hợp với mục tiêu đánh giá năng lực của học sinh trong giai đoạn đầu của chương trình lớp 11. Việc cung cấp file WORD cho giáo viên là một điểm cộng, giúp giáo viên dễ dàng tiếp cận và sử dụng đề thi trong quá trình giảng dạy.
Gợi ý ôn tập:


