Logo Header
  1. Môn Toán
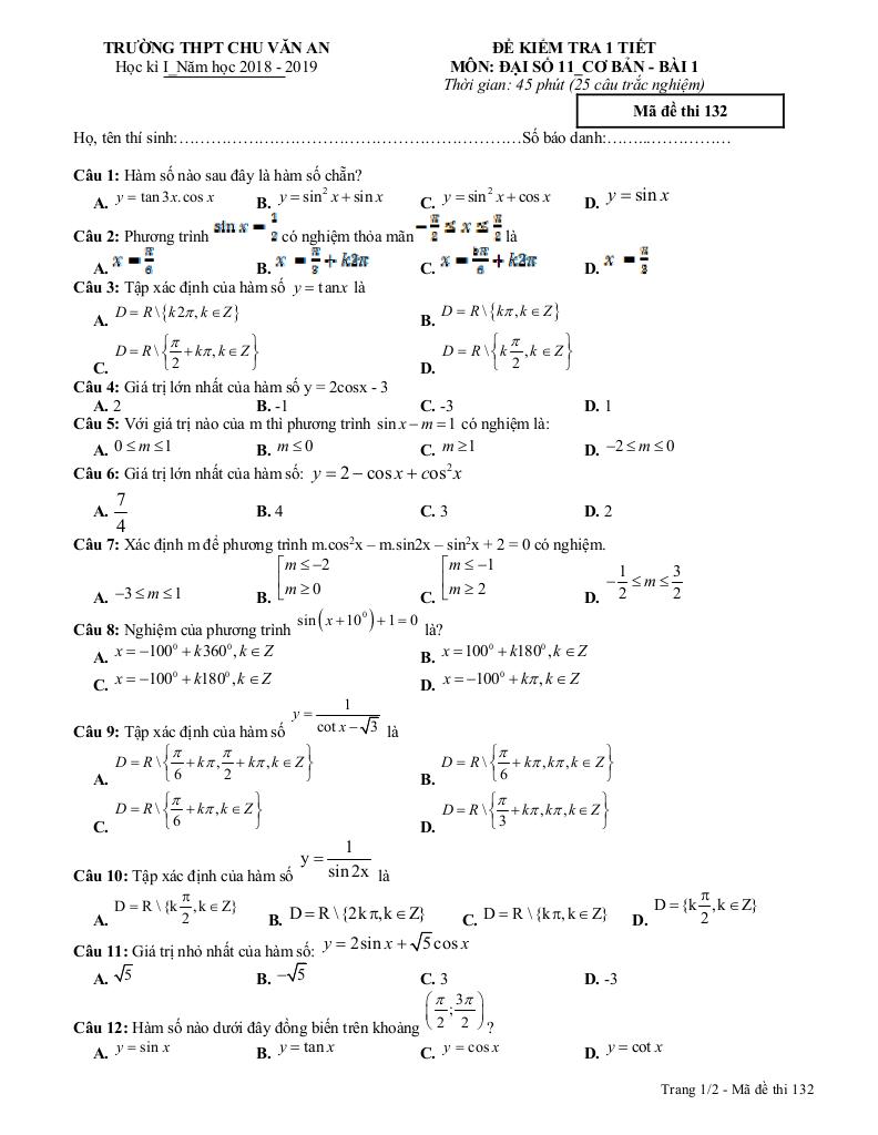
  2. đề kiểm tra 1 tiết đại số và giải tích 11 chương 1 trường thpt chu văn an – đăk nông

đề kiểm tra 1 tiết đại số và giải tích 11 chương 1 trường thpt chu văn an – đăk nông

Bạn đang xem tài liệu đề kiểm tra 1 tiết đại số và giải tích 11 chương 1 trường thpt chu văn an – đăk nông được biên soạn theo đề thi toán mới nhất. Tài liệu này hệ thống hóa kiến thức một cách khoa học, phù hợp cho mọi lộ trình học từ cơ bản đến nâng cao. Hãy khai thác triệt để nội dung để bứt phá điểm số và tự tin chinh phục mọi kỳ thi nhé!

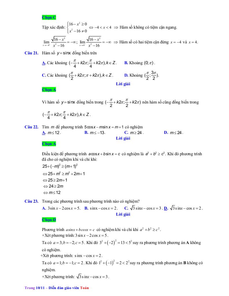
Phân tích Đề Kiểm tra 1 tiết Đại số và Giải tích 11 – Chương 1: Hàm số lượng giác và Phương trình lượng giác (Trường THPT Chu Văn An – Đăk Nông, Mã đề 132)

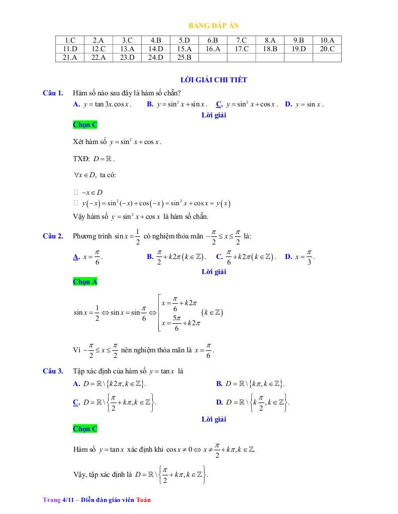
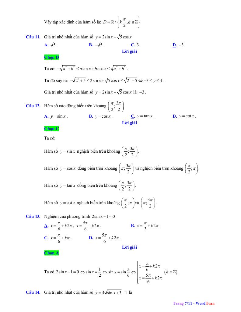
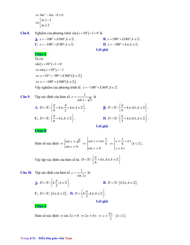
Đề kiểm tra 1 tiết của trường THPT Chu Văn An – Đăk Nông, mã đề 132, được thiết kế để đánh giá mức độ nắm vững kiến thức của học sinh lớp 11 về chương 1 môn Đại số và Giải tích, tập trung vào hai chủ đề chính: hàm số lượng giác và phương trình lượng giác. Đề thi có cấu trúc gồm 25 câu hỏi trắc nghiệm khách quan, được trình bày trên 2 trang, với thời gian làm bài là 45 phút. Đây là một hình thức kiểm tra phổ biến, giúp giáo viên nhanh chóng đánh giá năng lực của học sinh trên diện rộng.

Đánh giá chung về nội dung đề thi:

Đề thi có xu hướng kiểm tra sự hiểu biết lý thuyết cơ bản kết hợp với khả năng vận dụng vào giải quyết các bài toán cụ thể. Các câu hỏi trắc nghiệm đòi hỏi học sinh không chỉ nắm vững định nghĩa, tính chất của hàm số lượng giác (tan, sin, cos) mà còn phải hiểu rõ về tính chẵn, lẻ của hàm số, cũng như các công thức lượng giác cơ bản. Bên cạnh đó, đề thi cũng tập trung vào việc kiểm tra kỹ năng giải phương trình lượng giác, một trong những nội dung trọng tâm của chương học.

Phân tích một số câu hỏi tiêu biểu:

  • Câu hỏi 1: “Cho 2 hàm số f(x) = tan2x; g(x) = sin(x + π/2). Chọn khẳng định đúng?” Câu hỏi này đánh giá khả năng xác định tính chẵn, lẻ của hàm số dựa vào định nghĩa và các phép biến đổi lượng giác. Để giải quyết câu hỏi này, học sinh cần phân tích f(-x) và g(-x) để so sánh với f(x) và g(x) tương ứng. Việc hiểu rõ về hàm số tan2x và công thức sin(x + π/2) = cosx là rất quan trọng.
  • Câu hỏi 2: “Với giá trị nào của m thì phương trình sinx – m = 1 có nghiệm?” Đây là một bài toán về điều kiện có nghiệm của phương trình lượng giác. Học sinh cần biến đổi phương trình về dạng sinx = m + 1, sau đó áp dụng điều kiện -1 ≤ sinx ≤ 1 để tìm ra khoảng giá trị của m.
  • Câu hỏi 3: “Xác định m để phương trình lượng giác m.(cosx)^2 – giaibaitoan.com2x – (sinx)^2 + 2 = 0 có nghiệm.” Câu hỏi này phức tạp hơn, đòi hỏi học sinh phải sử dụng các công thức lượng giác để biến đổi phương trình về dạng đơn giản hơn, sau đó tìm điều kiện để phương trình có nghiệm. Việc sử dụng công thức sin2x = 2sinxcosx và cos2x = 1 - sin2x có thể giúp đơn giản hóa phương trình.

Nhận xét:

Đề thi được xây dựng khá hợp lý, bao phủ các kiến thức trọng tâm của chương 1. Mức độ khó của các câu hỏi có sự phân hóa, từ dễ đến khó, giúp đánh giá được năng lực của học sinh một cách toàn diện. Việc cung cấp file WORD cho giáo viên là một điểm cộng, tạo điều kiện thuận lợi cho việc sử dụng và chỉnh sửa đề thi.

Gợi ý ôn tập:

Để đạt kết quả tốt trong các bài kiểm tra tương tự, học sinh cần:

  1. Nắm vững định nghĩa, tính chất của các hàm số lượng giác cơ bản (sin, cos, tan, cot).
  2. Hiểu rõ về tính chẵn, lẻ của hàm số và cách xác định.
  3. Thành thạo các công thức lượng giác cơ bản và kỹ năng biến đổi lượng giác.
  4. Luyện tập giải nhiều dạng bài tập về phương trình lượng giác, đặc biệt là các bài toán về điều kiện có nghiệm.
Chinh phục đỉnh cao Toán 11 và đặt nền móng vững chắc cho cánh cửa Đại học với nội dung đề kiểm tra 1 tiết đại số và giải tích 11 chương 1 trường thpt chu văn an – đăk nông trong chuyên mục Bài tập Toán lớp 11 trên nền tảng đề thi toán! Bộ bài tập lý thuyết toán thpt, được biên soạn chuyên sâu, bám sát chặt chẽ chương trình Toán lớp 11 và định hướng các kỳ thi quan trọng, cam kết tối ưu hóa toàn diện quá trình ôn luyện. Qua đó, học sinh không chỉ làm chủ kiến thức phức tạp mà còn rèn luyện tư duy giải quyết vấn đề, sẵn sàng cho các kỳ thi và chương trình đại học, nhờ phương pháp tiếp cận trực quan, logic và mang lại hiệu quả học tập vượt trội.
images-post/de-kiem-tra-1-tiet-dai-so-va-giai-tich-11-chuong-1-truong-thpt-chu-van-an-dak-nong-01.jpgimages-post/de-kiem-tra-1-tiet-dai-so-va-giai-tich-11-chuong-1-truong-thpt-chu-van-an-dak-nong-02.jpgimages-post/de-kiem-tra-1-tiet-dai-so-va-giai-tich-11-chuong-1-truong-thpt-chu-van-an-dak-nong-03.jpgimages-post/de-kiem-tra-1-tiet-dai-so-va-giai-tich-11-chuong-1-truong-thpt-chu-van-an-dak-nong-04.jpgimages-post/de-kiem-tra-1-tiet-dai-so-va-giai-tich-11-chuong-1-truong-thpt-chu-van-an-dak-nong-05.jpgimages-post/de-kiem-tra-1-tiet-dai-so-va-giai-tich-11-chuong-1-truong-thpt-chu-van-an-dak-nong-06.jpgimages-post/de-kiem-tra-1-tiet-dai-so-va-giai-tich-11-chuong-1-truong-thpt-chu-van-an-dak-nong-07.jpgimages-post/de-kiem-tra-1-tiet-dai-so-va-giai-tich-11-chuong-1-truong-thpt-chu-van-an-dak-nong-08.jpgimages-post/de-kiem-tra-1-tiet-dai-so-va-giai-tich-11-chuong-1-truong-thpt-chu-van-an-dak-nong-09.jpgimages-post/de-kiem-tra-1-tiet-dai-so-va-giai-tich-11-chuong-1-truong-thpt-chu-van-an-dak-nong-10.jpg

File đề kiểm tra 1 tiết đại số và giải tích 11 chương 1 trường thpt chu văn an – đăk nông PDF Chi Tiết

TÌM KIẾM THEO TỪ KHÓA