Phân tích Đề Kiểm Tra 1 Tiết Đại Số và Giải Tích 11 – Chương 1 (THPT Thị xã Quảng Trị)
Đề kiểm tra 1 tiết môn Đại số và Giải tích 11, chương 1 của trường THPT Thị xã Quảng Trị (ban Khoa học Tự nhiên) được thiết kế với cấu trúc gồm 4 mã đề, phân chia theo buổi học (2 mã đề cho buổi sáng và 2 mã đề cho buổi chiều). Mỗi mã đề bao gồm 3 bài toán tự luận, đòi hỏi học sinh vận dụng kiến thức và kỹ năng giải quyết vấn đề trong thời gian 45 phút. Điểm đáng chú ý là đề thi được cung cấp kèm theo lời giải chi tiết, hỗ trợ quá trình ôn tập và tự học của học sinh, cũng như công tác giảng dạy của giáo viên.
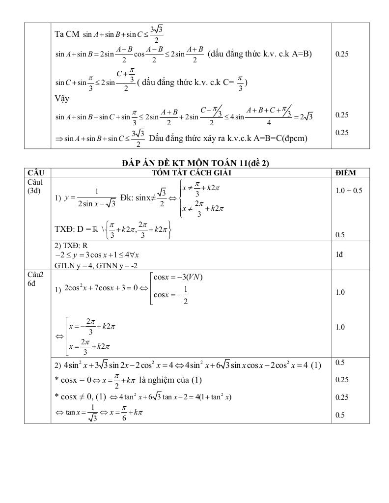
Nội dung chi tiết các bài toán và nhận xét:
Đề bài: Cho tam giác ABC có các góc A, B, C thỏa mãn giaibaitoan.com = 3√3/8. Chứng minh tam giác ABC đều.
Nhận xét: Đây là một bài toán điển hình về ứng dụng bất đẳng thức AM-GM trong lượng giác. Để giải quyết bài toán này, học sinh cần nhận ra rằng sinA, sinB, sinC đều không vượt quá 1. Việc sử dụng bất đẳng thức AM-GM cho sinA, sinB, sinC sẽ dẫn đến kết luận sinA = sinB = sinC = √3/2, từ đó suy ra A = B = C = 60°, chứng minh tam giác ABC đều. Bài toán này đánh giá khả năng tư duy logic và vận dụng bất đẳng thức của học sinh.
Đề bài: Cho tam giác ABC thỏa mãn 2sinA + 3sinB + 4sinC = cosC/2 + 3cosB/2 + 5cosA/2. Chứng minh tam giác ABC đều.
Nhận xét: Bài toán này có độ khó cao hơn bài toán 1. Để giải quyết, học sinh cần biến đổi phương trình lượng giác đã cho một cách khéo léo, sử dụng các công thức lượng giác cơ bản và các tính chất của tam giác. Một hướng tiếp cận là sử dụng công thức hạ bậc để đưa phương trình về dạng đơn giản hơn, sau đó kết hợp với các điều kiện của tam giác để chứng minh A = B = C. Bài toán này kiểm tra sự linh hoạt trong việc sử dụng công thức lượng giác và khả năng phân tích bài toán.
Đề bài: Tìm giá trị lớn nhất và giá trị nhỏ nhất của hàm số lượng giác: y = 2(cosx)^2 – 1.
Nhận xét: Đây là một bài toán cơ bản về hàm số lượng giác. Học sinh có thể giải quyết bài toán này bằng cách sử dụng các phương pháp sau: (1) Biến đổi hàm số về dạng y = cos2x, sau đó dựa vào miền giá trị của hàm cosin để tìm ra giá trị lớn nhất và nhỏ nhất. (2) Sử dụng phương pháp đạo hàm để tìm cực trị của hàm số. Bài toán này đánh giá khả năng nắm vững kiến thức về hàm số lượng giác và các phương pháp giải toán cơ bản.
Đánh giá chung:
Nhìn chung, đề kiểm tra 1 tiết này có độ phân hóa tốt, bao gồm các bài toán từ cơ bản đến nâng cao, giúp đánh giá một cách toàn diện kiến thức và kỹ năng của học sinh trong chương 1. Các bài toán đều tập trung vào các chủ đề quan trọng như bất đẳng thức lượng giác, phương trình lượng giác và hàm số lượng giác. Việc cung cấp lời giải chi tiết là một điểm cộng, tạo điều kiện thuận lợi cho quá trình tự học và ôn tập của học sinh.
Tài liệu tham khảo:
File WORD (dành cho quý thầy, cô): TẢI XUỐNG





