Logo Header
  1. Môn Toán
  2. đề kiểm tra đại số và giải tích 11 chương 1 (lượng giác) trường thpt đức thọ – hà tĩnh

đề kiểm tra đại số và giải tích 11 chương 1 (lượng giác) trường thpt đức thọ – hà tĩnh

Bạn đang xem tài liệu đề kiểm tra đại số và giải tích 11 chương 1 (lượng giác) trường thpt đức thọ – hà tĩnh được biên soạn theo đề thi toán mới nhất. Tài liệu này hệ thống hóa kiến thức một cách khoa học, phù hợp cho mọi lộ trình học từ cơ bản đến nâng cao. Hãy khai thác triệt để nội dung để bứt phá điểm số và tự tin chinh phục mọi kỳ thi nhé!
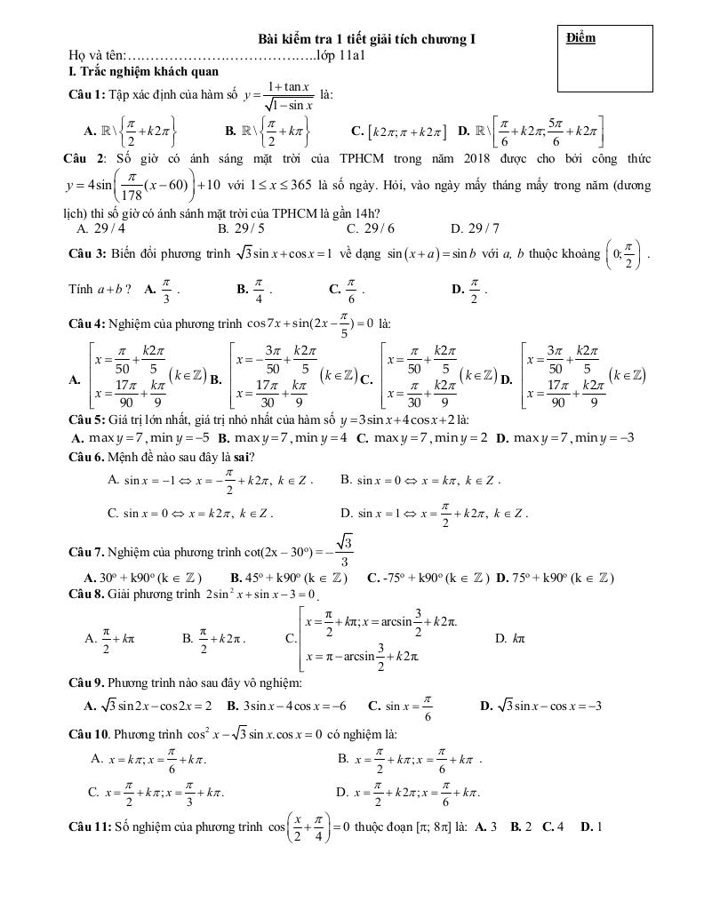
## Phân tích Đề Kiểm Tra Đại Số và Giải Tích 11 – Hàm Số Lượng Giác và Phương Trình Lượng Giác (THPT Đức Thọ, Hà Tĩnh) Bài viết này sẽ đi sâu vào phân tích một đề kiểm tra Đại số và Giải tích 11, tập trung vào chủ đề hàm số lượng giác và phương trình lượng giác, được sử dụng tại trường THPT Đức Thọ, Hà Tĩnh. Đề thi bao gồm 15 câu trắc nghiệm và 2 câu tự luận, cho thấy sự cân bằng giữa việc kiểm tra kiến thức nền tảng và khả năng vận dụng linh hoạt của học sinh. **Đánh giá chung:** Đề thi có cấu trúc khá điển hình cho một bài kiểm tra chương. Các câu hỏi trắc nghiệm có lẽ tập trung vào việc kiểm tra các công thức, tính chất cơ bản của hàm số lượng giác, và các kỹ năng giải phương trình lượng giác đơn giản. Phần tự luận đòi hỏi học sinh phải trình bày chi tiết, áp dụng các phương pháp giải phức tạp hơn và thể hiện sự hiểu biết sâu sắc về lý thuyết. **Phân tích chi tiết một số câu hỏi tiêu biểu:** * **Câu 1: Tìm giá trị lớn nhất và nhỏ nhất của hàm số y = 3sinx + 4cosx + 1** Đây là một câu hỏi kinh điển trong việc ứng dụng phương pháp đưa về dạng *y = A sin(x + φ)*. Để giải quyết bài toán này, học sinh cần: 1. Xác định *A = √(3² + 4²) = 5*. 2. Tìm *φ* sao cho *cos φ = 3/5* và *sin φ = 4/5*. 3. Viết lại hàm số dưới dạng *y = 5sin(x + φ) + 1*. 4. Kết luận giá trị lớn nhất là *5 + 1 = 6* và giá trị nhỏ nhất là *-5 + 1 = -4*. Đáp án đúng là **C. max y = 6, min y = -4**. Câu hỏi này đánh giá khả năng vận dụng linh hoạt của học sinh trong việc biến đổi và sử dụng các tính chất của hàm số lượng giác. * **Câu 2: Ứng dụng hàm số lượng giác vào thực tế – Số giờ có ánh sáng mặt trời ở TPHCM** Câu hỏi này mang tính ứng dụng cao, giúp học sinh thấy được sự liên hệ giữa toán học và thực tế cuộc sống. Để giải quyết, học sinh cần: 1. Đặt *y = 14* và giải phương trình *14 = 4sin(π/178(x – 60)) + 10*. 2. Suy ra *sin(π/178(x – 60)) = 1*. 3. Giải phương trình lượng giác cơ bản *π/178(x – 60) = π/2 + k2π* (với *k* là số nguyên). 4. Tìm *x* tương ứng với *k = 0* và kiểm tra xem giá trị *x* có nằm trong khoảng *1 ≤ x ≤ 365* hay không. 5. Chuyển đổi giá trị *x* sang ngày tháng dương lịch. Việc giải chính xác câu hỏi này đòi hỏi học sinh phải nắm vững kiến thức về hàm số lượng giác, phương trình lượng giác và kỹ năng tính toán. * **Câu 3: Xác định phương trình vô nghiệm** Câu hỏi này kiểm tra khả năng phân tích và đánh giá điều kiện có nghiệm của phương trình lượng giác. * **A. √3sin2x – cos2x = 2:** Có thể viết lại thành *2(√3/2 sin2x - 1/2 cos2x) = 2* hay *sin(2x - π/6) = 1*. Phương trình này có nghiệm. * **B. sin3x – 4cosx = -6:** Vì *sin3x ≤ 1* và *-4cosx ≤ 4*, nên *sin3x – 4cosx ≤ 5*. Do đó, phương trình này vô nghiệm. * **C. sinx = π/6:** Vì *π/6 ≈ 0.5236* và *sinx ≤ 1*, phương trình này có nghiệm. * **D. √3sinx – cosx = -3:** Có thể viết lại thành *2(√3/2 sinx - 1/2 cosx) = -3* hay *sin(x - π/6) = -3/2*. Phương trình này vô nghiệm vì *sin(x - π/6) ≤ 1*. Tuy nhiên, đáp án **B. sin3x – 4cosx = -6** là đáp án chính xác nhất vì giới hạn của hàm số lượng giác không thể đạt được giá trị -6. **Nhận xét:** Đề thi này có độ khó vừa phải, phù hợp với trình độ của học sinh lớp 11. Các câu hỏi được thiết kế đa dạng, bao gồm cả lý thuyết và ứng dụng, giúp đánh giá toàn diện năng lực của học sinh. Việc cung cấp file WORD cho giáo viên là một điểm cộng, tạo điều kiện thuận lợi cho việc sử dụng và chỉnh sửa đề thi. Để nâng cao chất lượng đề thi, có thể bổ sung thêm các câu hỏi tự luận có tính phân loại cao, đòi hỏi học sinh phải vận dụng kiến thức một cách sáng tạo và linh hoạt. Đồng thời, việc cập nhật các dạng bài tập mới, liên quan đến các ứng dụng thực tế của hàm số lượng giác và phương trình lượng giác cũng là một yếu tố quan trọng.
Chinh phục đỉnh cao Toán 11 và đặt nền móng vững chắc cho cánh cửa Đại học với nội dung đề kiểm tra đại số và giải tích 11 chương 1 (lượng giác) trường thpt đức thọ – hà tĩnh trong chuyên mục toán lớp 11 trên nền tảng đề thi toán! Bộ bài tập toán trung học phổ thông, được biên soạn chuyên sâu, bám sát chặt chẽ chương trình Toán lớp 11 và định hướng các kỳ thi quan trọng, cam kết tối ưu hóa toàn diện quá trình ôn luyện. Qua đó, học sinh không chỉ làm chủ kiến thức phức tạp mà còn rèn luyện tư duy giải quyết vấn đề, sẵn sàng cho các kỳ thi và chương trình đại học, nhờ phương pháp tiếp cận trực quan, logic và mang lại hiệu quả học tập vượt trội.
images-post/de-kiem-tra-dai-so-va-giai-tich-11-chuong-1-luong-giac-truong-thpt-duc-tho-ha-tinh-1.jpgimages-post/de-kiem-tra-dai-so-va-giai-tich-11-chuong-1-luong-giac-truong-thpt-duc-tho-ha-tinh-2.jpgimages-post/de-kiem-tra-dai-so-va-giai-tich-11-chuong-1-luong-giac-truong-thpt-duc-tho-ha-tinh-3.jpgimages-post/de-kiem-tra-dai-so-va-giai-tich-11-chuong-1-luong-giac-truong-thpt-duc-tho-ha-tinh-4.jpgimages-post/de-kiem-tra-dai-so-va-giai-tich-11-chuong-1-luong-giac-truong-thpt-duc-tho-ha-tinh-5.jpgimages-post/de-kiem-tra-dai-so-va-giai-tich-11-chuong-1-luong-giac-truong-thpt-duc-tho-ha-tinh-6.jpg

File đề kiểm tra đại số và giải tích 11 chương 1 (lượng giác) trường thpt đức thọ – hà tĩnh PDF Chi Tiết

TÌM KIẾM THEO TỪ KHÓA