Logo Header
  1. Môn Toán
  2. đề kiểm tra 1 tiết đại số và giải tích 11 chương 1 trường thpt tân hiệp – kiên giang

đề kiểm tra 1 tiết đại số và giải tích 11 chương 1 trường thpt tân hiệp – kiên giang

Bạn đang xem tài liệu đề kiểm tra 1 tiết đại số và giải tích 11 chương 1 trường thpt tân hiệp – kiên giang được biên soạn theo môn toán mới nhất. Tài liệu này hệ thống hóa kiến thức một cách khoa học, phù hợp cho mọi lộ trình học từ cơ bản đến nâng cao. Hãy khai thác triệt để nội dung để bứt phá điểm số và tự tin chinh phục mọi kỳ thi nhé!
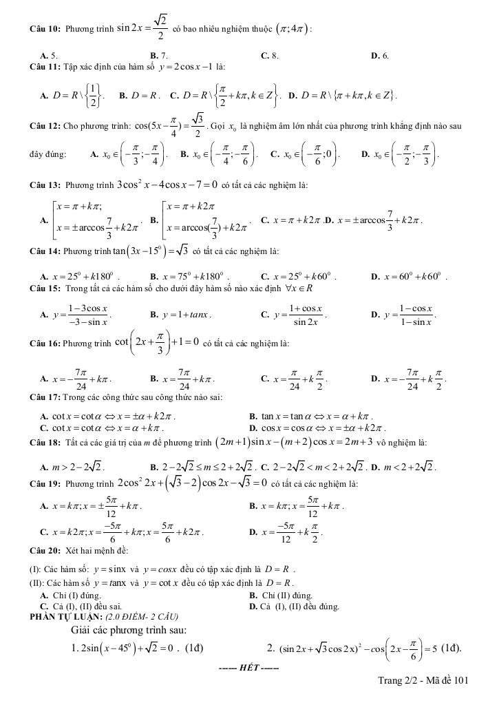
## Phân tích Đề Kiểm Tra 1 Tiết Đại Số và Giải Tích 11 – Chương Hàm Số Lượng Giác và Phương Trình Lượng Giác (THPT Tân Hiệp, Kiên Giang) Bài viết này sẽ phân tích chi tiết đề kiểm tra 1 tiết môn Đại Số và Giải Tích 11, chương 1 của trường THPT Tân Hiệp, tỉnh Kiên Giang (mã đề 101). Đề thi tập trung vào kiến thức về hàm số lượng giác và phương trình lượng giác, một chủ đề quan trọng trong chương trình học. **Cấu trúc đề thi:** Đề thi được cấu trúc thành hai phần rõ ràng: * **Phần trắc nghiệm:** Gồm 20 câu hỏi, đánh giá khả năng nắm vững kiến thức lý thuyết và kỹ năng vận dụng nhanh các công thức, định nghĩa cơ bản. * **Phần tự luận:** Gồm 2 bài toán, đòi hỏi học sinh phải trình bày lời giải chi tiết, thể hiện khả năng phân tích và giải quyết vấn đề. **Đánh giá chung:** Đề thi có độ khó vừa phải, bao phủ các kiến thức trọng tâm của chương. Các câu hỏi trắc nghiệm được xây dựng đa dạng, giúp kiểm tra nhiều khía cạnh khác nhau của chủ đề. Phần tự luận tập trung vào việc giải phương trình lượng giác, đòi hỏi học sinh phải nắm vững các phương pháp giải và kỹ năng biến đổi lượng giác. Việc đề thi có đáp án và lời giải chi tiết là một điểm cộng, giúp học sinh tự đánh giá kết quả và rút kinh nghiệm. **Phân tích một số câu hỏi tiêu biểu:** * **Câu hỏi 1 (Trắc nghiệm):** "Xét phương trình sin x = a. Mệnh đề nào sau đây đúng?" Câu hỏi này kiểm tra sự hiểu biết của học sinh về miền giá trị của hàm sin. Đáp án đúng là **B. Phương trình luôn có nghiệm ∀a ∈ R.** Điều này bởi vì miền giá trị của hàm sin là [-1; 1], do đó với mọi giá trị *a* thuộc tập số thực, phương trình sin x = a luôn có nghiệm. Các đáp án A, C, D đều giới hạn giá trị của *a* không cần thiết. * **Câu hỏi 2 (Trắc nghiệm):** "Xét hai mệnh đề: (I): Các hàm số: y = sinx và y = cosx đều có tập xác định là D = R. (II): Các hàm số y = tanx và y = cotx đều có tập xác định là D = R." Câu hỏi này kiểm tra kiến thức về tập xác định của các hàm số lượng giác. Đáp án đúng là **A. Chỉ (I) đúng.** Mệnh đề (I) đúng vì hàm sin và cos xác định với mọi giá trị của x. Tuy nhiên, mệnh đề (II) sai vì hàm tanx và cotx không xác định tại các điểm mà mẫu số bằng 0 (ví dụ: tanx không xác định khi x = π/2 + kπ, k ∈ Z). * **Câu hỏi 3 (Tự luận):** "Cho phương trình lượng giác: cos(5x – pi/4) = √3/2. Gọi x0 là nghiệm âm lớn nhất của phương trình khẳng định nào sau đây đúng?" Bài toán này yêu cầu học sinh giải phương trình lượng giác và tìm nghiệm âm lớn nhất. Để giải bài toán này, học sinh cần: 1. Tìm nghiệm tổng quát của phương trình cos(5x – π/4) = √3/2. 2. Tìm các nghiệm âm của phương trình. 3. So sánh các nghiệm âm và chọn nghiệm âm lớn nhất. **Nhận xét:** Đề thi này là một công cụ đánh giá hiệu quả kiến thức của học sinh về hàm số lượng giác và phương trình lượng giác. Đề thi có tính phân loại rõ ràng, giúp giáo viên đánh giá được mức độ nắm vững kiến thức của từng học sinh. Việc có đáp án và lời giải chi tiết giúp học sinh tự học và củng cố kiến thức. **Gợi ý ôn tập:** Để đạt kết quả tốt trong các bài kiểm tra tương tự, học sinh nên: * Nắm vững định nghĩa, tính chất và đồ thị của các hàm số lượng giác. * Thành thạo các công thức lượng giác cơ bản. * Luyện tập giải các phương trình lượng giác cơ bản và nâng cao. * Hiểu rõ tập xác định của các hàm số lượng giác. * Rèn luyện kỹ năng trình bày lời giải rõ ràng, logic.
Chinh phục đỉnh cao Toán 11 và đặt nền móng vững chắc cho cánh cửa Đại học với nội dung đề kiểm tra 1 tiết đại số và giải tích 11 chương 1 trường thpt tân hiệp – kiên giang trong chuyên mục Đề thi Toán lớp 11 trên nền tảng môn toán! Bộ bài tập toán thpt, được biên soạn chuyên sâu, bám sát chặt chẽ chương trình Toán lớp 11 và định hướng các kỳ thi quan trọng, cam kết tối ưu hóa toàn diện quá trình ôn luyện. Qua đó, học sinh không chỉ làm chủ kiến thức phức tạp mà còn rèn luyện tư duy giải quyết vấn đề, sẵn sàng cho các kỳ thi và chương trình đại học, nhờ phương pháp tiếp cận trực quan, logic và mang lại hiệu quả học tập vượt trội.
images-post/de-kiem-tra-1-tiet-dai-so-va-giai-tich-11-chuong-1-truong-thpt-tan-hiep-kien-giang-1.jpgimages-post/de-kiem-tra-1-tiet-dai-so-va-giai-tich-11-chuong-1-truong-thpt-tan-hiep-kien-giang-2.jpgimages-post/de-kiem-tra-1-tiet-dai-so-va-giai-tich-11-chuong-1-truong-thpt-tan-hiep-kien-giang-3.jpgimages-post/de-kiem-tra-1-tiet-dai-so-va-giai-tich-11-chuong-1-truong-thpt-tan-hiep-kien-giang-4.jpgimages-post/de-kiem-tra-1-tiet-dai-so-va-giai-tich-11-chuong-1-truong-thpt-tan-hiep-kien-giang-5.jpg

File đề kiểm tra 1 tiết đại số và giải tích 11 chương 1 trường thpt tân hiệp – kiên giang PDF Chi Tiết

TÌM KIẾM THEO TỪ KHÓA