Logo Header
  1. Môn Toán
  2. đề kiểm tra 45 phút đs và gt 11 chương 1 năm 2018 – 2019 trường đoàn thượng – hải dương

đề kiểm tra 45 phút đs và gt 11 chương 1 năm 2018 – 2019 trường đoàn thượng – hải dương

Bạn đang xem tài liệu đề kiểm tra 45 phút đs và gt 11 chương 1 năm 2018 – 2019 trường đoàn thượng – hải dương được biên soạn theo toán học mới nhất. Tài liệu này hệ thống hóa kiến thức một cách khoa học, phù hợp cho mọi lộ trình học từ cơ bản đến nâng cao. Hãy khai thác triệt để nội dung để bứt phá điểm số và tự tin chinh phục mọi kỳ thi nhé!

Phân tích Đề Kiểm tra 45 phút Đại số và Hình học 11 – Chương 1 (Hàm số lượng giác và Phương trình lượng giác) – Trường THPT Đoàn Thượng, Hải Dương (Năm học 2018-2019, Mã đề 132)

Đề kiểm tra 45 phút này được thiết kế nhằm đánh giá mức độ nắm vững kiến thức và kỹ năng của học sinh lớp 11 trong chương trình học về hàm số lượng giác và phương trình lượng giác. Với cấu trúc 25 câu trắc nghiệm khách quan, đề thi bao phủ các khía cạnh quan trọng của chủ đề, đòi hỏi học sinh không chỉ hiểu lý thuyết mà còn vận dụng linh hoạt vào giải quyết các bài toán cụ thể. Thời gian làm bài 1 tiết (45 phút) đòi hỏi học sinh phải phân bổ thời gian hợp lý để hoàn thành tất cả các câu hỏi.

Điểm đáng chú ý của đề thi là việc phân loại câu hỏi theo mức độ nhận thức, giúp giáo viên có thể đánh giá chính xác hơn năng lực của từng học sinh. Đề thi có kèm đáp án, tạo điều kiện thuận lợi cho việc tự học và ôn tập của học sinh.

Đánh giá chi tiết một số câu hỏi tiêu biểu:

  1. Câu hỏi 1: “Tìm số điểm phân biệt biểu diễn các nghiệm của phương trình (sin2x)^2 – cos2x + 1 = 0 trên đường tròn lượng giác.”
    Nhận xét: Đây là một câu hỏi đòi hỏi học sinh phải biến đổi phương trình lượng giác về dạng đơn giản, sau đó tìm nghiệm và xác định số nghiệm phân biệt trên đường tròn lượng giác. Câu hỏi này kiểm tra kiến thức về công thức lượng giác cơ bản, kỹ năng giải phương trình lượng giác và khả năng hình dung nghiệm trên đường tròn đơn vị.
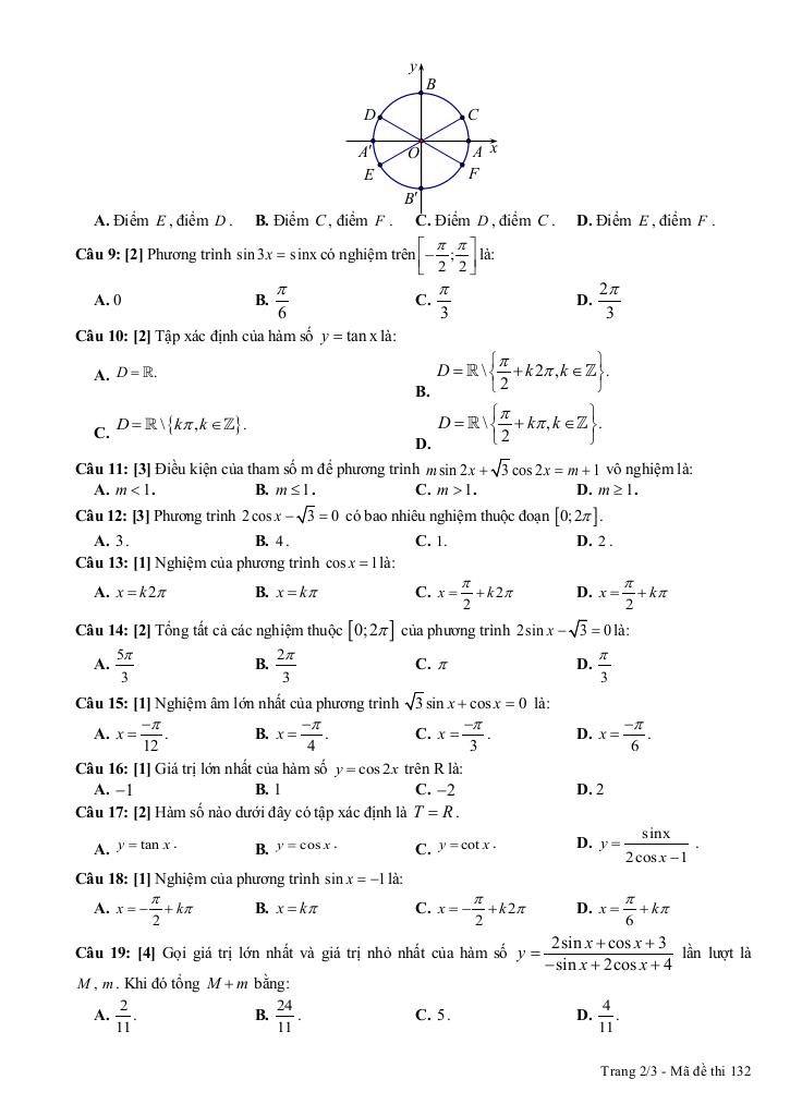
  2. Câu hỏi 2: “Nghiệm của phương trình 2sinx + 1 = 0 được biểu diễn trên đường tròn lượng giác ở hình bên là những điểm nào?”
    Nhận xét: Câu hỏi này tập trung vào việc kết hợp giải phương trình lượng giác với biểu diễn nghiệm trên đường tròn lượng giác. Học sinh cần giải phương trình để tìm các giá trị của x, sau đó xác định các điểm tương ứng trên đường tròn. Câu hỏi này đánh giá khả năng liên hệ giữa đại số và hình học lượng giác.
  3. Câu hỏi 3: “Gọi giá trị lớn nhất và giá trị nhỏ nhất của hàm số y = (2sinx + cosx + 3)/(-sinx + 2cosx + 4) lần lượt là M, m. Khi đó tổng M + m bằng?”
    Nhận xét: Đây là một câu hỏi nâng cao, đòi hỏi học sinh phải sử dụng các phương pháp tìm giá trị lớn nhất và giá trị nhỏ nhất của hàm số lượng giác. Một cách tiếp cận phổ biến là đặt t = tanx, sau đó biểu diễn hàm số theo t và giải bài toán tìm cực trị của hàm số một biến. Câu hỏi này kiểm tra kiến thức về đạo hàm (nếu học sinh đã được học), kỹ năng biến đổi và giải quyết bài toán tối ưu.

Tổng kết:

Đề kiểm tra 45 phút này là một công cụ đánh giá hiệu quả kiến thức và kỹ năng của học sinh trong chương trình học về hàm số lượng giác và phương trình lượng giác. Các câu hỏi được thiết kế đa dạng, từ cơ bản đến nâng cao, giúp giáo viên có thể đánh giá toàn diện năng lực của học sinh. Việc phân tích kỹ các câu hỏi trong đề thi sẽ giúp học sinh hiểu rõ hơn về cấu trúc đề thi và chuẩn bị tốt hơn cho các kỳ kiểm tra sắp tới.

Chinh phục đỉnh cao Toán 11 và đặt nền móng vững chắc cho cánh cửa Đại học với nội dung đề kiểm tra 45 phút đs và gt 11 chương 1 năm 2018 – 2019 trường đoàn thượng – hải dương trong chuyên mục toán lớp 11 trên nền tảng toán học! Bộ bài tập toán trung học phổ thông, được biên soạn chuyên sâu, bám sát chặt chẽ chương trình Toán lớp 11 và định hướng các kỳ thi quan trọng, cam kết tối ưu hóa toàn diện quá trình ôn luyện. Qua đó, học sinh không chỉ làm chủ kiến thức phức tạp mà còn rèn luyện tư duy giải quyết vấn đề, sẵn sàng cho các kỳ thi và chương trình đại học, nhờ phương pháp tiếp cận trực quan, logic và mang lại hiệu quả học tập vượt trội.
images-post/de-kiem-tra-45-phut-ds-va-gt-11-chuong-1-nam-2018-2019-truong-doan-thuong-hai-duong-01.jpgimages-post/de-kiem-tra-45-phut-ds-va-gt-11-chuong-1-nam-2018-2019-truong-doan-thuong-hai-duong-02.jpgimages-post/de-kiem-tra-45-phut-ds-va-gt-11-chuong-1-nam-2018-2019-truong-doan-thuong-hai-duong-03.jpgimages-post/de-kiem-tra-45-phut-ds-va-gt-11-chuong-1-nam-2018-2019-truong-doan-thuong-hai-duong-04.jpgimages-post/de-kiem-tra-45-phut-ds-va-gt-11-chuong-1-nam-2018-2019-truong-doan-thuong-hai-duong-05.jpgimages-post/de-kiem-tra-45-phut-ds-va-gt-11-chuong-1-nam-2018-2019-truong-doan-thuong-hai-duong-06.jpgimages-post/de-kiem-tra-45-phut-ds-va-gt-11-chuong-1-nam-2018-2019-truong-doan-thuong-hai-duong-07.jpgimages-post/de-kiem-tra-45-phut-ds-va-gt-11-chuong-1-nam-2018-2019-truong-doan-thuong-hai-duong-08.jpgimages-post/de-kiem-tra-45-phut-ds-va-gt-11-chuong-1-nam-2018-2019-truong-doan-thuong-hai-duong-09.jpgimages-post/de-kiem-tra-45-phut-ds-va-gt-11-chuong-1-nam-2018-2019-truong-doan-thuong-hai-duong-10.jpg

File đề kiểm tra 45 phút đs và gt 11 chương 1 năm 2018 – 2019 trường đoàn thượng – hải dương PDF Chi Tiết

TÌM KIẾM THEO TỪ KHÓA