Phân tích Đề Kiểm Tra Đại Số và Giải Tích 11 – Trường THPT Đống Đa, Hà Nội (Năm học 2018-2019)
Đề kiểm tra Đại số và Giải tích 11 chương 1 của trường THPT Đống Đa, Hà Nội (mã đề 210) được thực hiện ngày 11/10/2018, có cấu trúc gồm 25 câu trắc nghiệm khách quan, thời gian làm bài 45 phút. Đề tập trung đánh giá kiến thức của học sinh về chủ đề hàm số lượng giác và phương trình lượng giác – một trong những nội dung trọng tâm của chương trình lớp 11.
Nhìn chung, đề thi có độ khó tương đối, đòi hỏi học sinh không chỉ nắm vững lý thuyết mà còn cần có kỹ năng biến đổi và giải quyết bài toán một cách linh hoạt. Các câu hỏi được thiết kế để kiểm tra khả năng vận dụng kiến thức vào các tình huống cụ thể, cũng như khả năng phân tích và đánh giá tính đúng sai của một lời giải.
Dưới đây là phân tích chi tiết một số câu hỏi tiêu biểu:
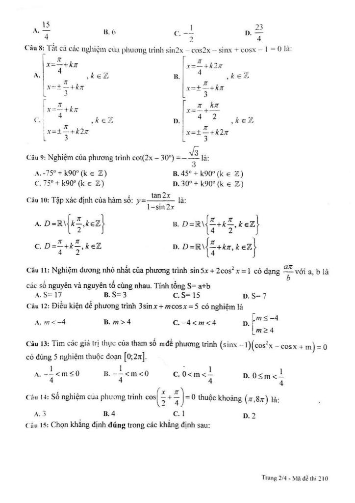
Đây là một bài toán yêu cầu học sinh phải biến đổi phương trình lượng giác về dạng đơn giản để tìm nghiệm. Việc sử dụng các công thức lượng giác cơ bản (ví dụ: sin2x + cos2x = 1) và kỹ năng giải phương trình lượng giác là rất quan trọng. Yêu cầu nghiệm có dạng aπ/b với a, b nguyên tố cùng nhau cũng đòi hỏi học sinh phải chú ý đến việc rút gọn phân số.
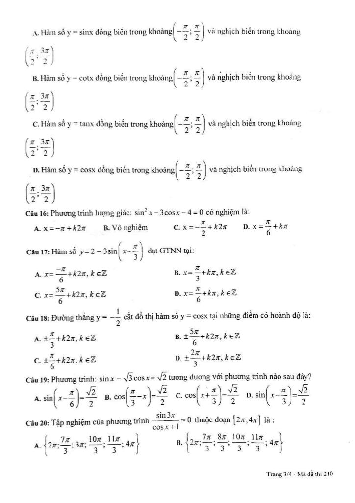
Bài toán này thuộc dạng phương trình lượng giác chứa tham số. Để giải quyết, học sinh cần phân tích phương trình thành các phương trình thành phần, xét số nghiệm của từng phương trình thành phần trên đoạn [0;2π] và tìm điều kiện để tổng số nghiệm của phương trình ban đầu là 5. Bài toán này đòi hỏi sự hiểu biết sâu sắc về đồ thị hàm số lượng giác và khả năng kết hợp các kiến thức khác nhau.
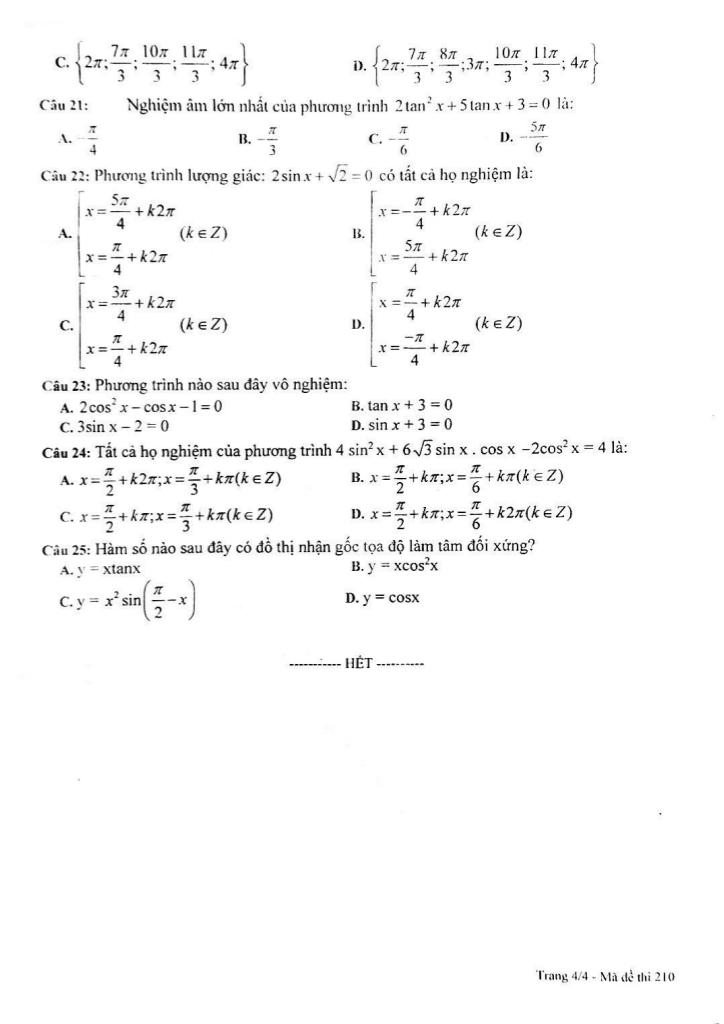
Câu hỏi này tập trung vào việc kiểm tra khả năng phân tích và đánh giá một lời giải phương trình lượng giác. Học sinh cần theo dõi từng bước biến đổi và chỉ ra bước sai (nếu có). Trong trường hợp này, việc phân tích kỹ lưỡng cho thấy lời giải sai từ bước 1. Cụ thể, việc chia cả hai vế cho (2cosx + 1) mà không xét trường hợp (2cosx + 1) = 0 có thể dẫn đến mất nghiệm. Đây là một lỗi sai phổ biến mà học sinh thường mắc phải khi giải phương trình lượng giác.
Đáp án đúng: A. Lời giải trên sai từ bước 1.
Đánh giá chung:
Đề kiểm tra Đại số và Giải tích 11 trường THPT Đống Đa là một đề thi tốt, có khả năng đánh giá chính xác kiến thức và kỹ năng của học sinh về chủ đề hàm số lượng giác và phương trình lượng giác. Đề thi có tính phân loại rõ ràng, giúp giáo viên đánh giá được mức độ nắm vững kiến thức của từng học sinh. Các câu hỏi được thiết kế đa dạng, bao gồm cả các câu hỏi lý thuyết và bài tập vận dụng, giúp học sinh rèn luyện được nhiều kỹ năng khác nhau.
Để đạt kết quả tốt trong các bài kiểm tra tương tự, học sinh cần:



