Logo Header
  1. Môn Toán
  2. bộ đề kiểm tra 1 tiết giải tích 12 chương 4 (số phức) có đáp án

bộ đề kiểm tra 1 tiết giải tích 12 chương 4 (số phức) có đáp án

Bạn đang xem tài liệu bộ đề kiểm tra 1 tiết giải tích 12 chương 4 (số phức) có đáp án được biên soạn theo đề thi toán mới nhất. Tài liệu này hệ thống hóa kiến thức một cách khoa học, phù hợp cho mọi lộ trình học từ cơ bản đến nâng cao. Hãy khai thác triệt để nội dung để bứt phá điểm số và tự tin chinh phục mọi kỳ thi nhé!

giaibaitoan.com xin giới thiệu đến quý thầy cô giáo và các em học sinh lớp 12 bộ tài liệu "Bộ đề kiểm tra 1 tiết Giải tích 12 – Chương 4: Số phức (có đáp án)". Đây là một nguồn tài liệu ôn tập và luyện thi vô cùng hữu ích, được biên soạn bởi đội ngũ giáo viên giàu kinh nghiệm của nhóm Toán VD – VDC.

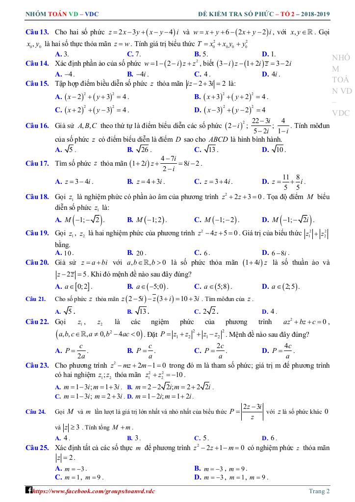
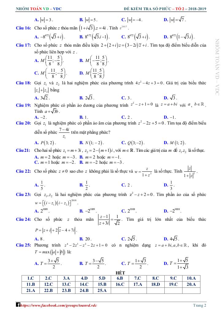
Bộ đề bao gồm 21 trang, tập hợp 06 đề kiểm tra trắc nghiệm khách quan, mỗi đề gồm 25 câu hỏi. Nội dung tập trung vào các kiến thức trọng tâm của chương Số phức, giúp học sinh nắm vững lý thuyết và rèn luyện kỹ năng giải đề.

Đánh giá chung về bộ đề:

  • Tính bao quát: Bộ đề bao phủ nhiều khía cạnh của chương Số phức, từ các khái niệm cơ bản về số phức, phép toán trên số phức, đến biểu diễn hình học của số phức và ứng dụng của số phức trong giải toán.
  • Độ khó đa dạng: Các câu hỏi trong bộ đề được phân loại theo mức độ khó, từ dễ đến khó, giúp học sinh có thể tự đánh giá năng lực và tập trung vào những phần kiến thức còn yếu.
  • Tính thực tiễn: Các câu hỏi được xây dựng dựa trên cấu trúc đề thi thường gặp, giúp học sinh làm quen với hình thức thi và rèn luyện kỹ năng làm bài thi trắc nghiệm.
  • Đáp án chi tiết: Bộ đề đi kèm với đáp án chi tiết, giúp học sinh tự kiểm tra và đánh giá kết quả học tập.

Phân tích một số câu hỏi tiêu biểu:

  1. Câu hỏi về biểu diễn hình học của số phức: "Trong mặt phẳng phức, gọi A, B, C lần lượt là điểm biểu diễn của các số phức z1 = 3 + 2i, z2 = 3 – 2i, z3 = -3 – 2i. Khẳng định nào sau đây là sai?" Câu hỏi này đòi hỏi học sinh phải nắm vững kiến thức về biểu diễn hình học của số phức, đặc biệt là các tính chất đối xứng qua trục tọa độ và khoảng cách từ điểm đến gốc tọa độ. Việc phân tích các phương án lựa chọn đòi hỏi sự cẩn thận và chính xác.
  2. Câu hỏi về ứng dụng của số phức trong hình học: "Cho số phức z biết rằng các điểm biểu diễn hình học của các số phức z; iz và z + iz tạo thành một tam giác có diện tích bằng 18. Môdun của số phức z bằng?" Đây là một câu hỏi nâng cao, đòi hỏi học sinh phải kết hợp kiến thức về số phức với kiến thức về hình học giải tích để giải quyết. Cần sử dụng công thức tính diện tích tam giác và tính chất của phép nhân số phức.
  3. Câu hỏi về điều kiện để số phức là số thực: "Cho hai số phức z1 = m + 3i, z2 = 2 – (m + 1)i với m thuộc R. Tìm các giá trị của m để z1, z2 là số thực." Câu hỏi này kiểm tra khả năng vận dụng điều kiện để một số phức là số thực (phần ảo bằng 0) và kỹ năng giải phương trình bậc nhất.

Kết luận:

Bộ đề kiểm tra 1 tiết Giải tích 12 – Chương 4: Số phức (có đáp án) là một tài liệu tham khảo hữu ích cho cả thầy cô và học sinh. Bộ đề không chỉ cung cấp các bài tập đa dạng và phong phú mà còn giúp học sinh hiểu sâu sắc hơn về kiến thức và rèn luyện kỹ năng giải đề. giaibaitoan.com hy vọng bộ đề này sẽ góp phần vào việc nâng cao chất lượng dạy và học môn Toán của quý thầy cô và các em học sinh.

Chinh phục điểm cao Kỳ thi Tốt nghiệp THPT Quốc gia môn Toán, rộng mở cánh cửa Đại học với nội dung bộ đề kiểm tra 1 tiết giải tích 12 chương 4 (số phức) có đáp án trong chuyên mục đề thi toán 12 trên nền tảng đề thi toán! Bộ bài tập toán thpt, được biên soạn chuyên sâu, bám sát cấu trúc đề thi và chương trình Toán 12, cam kết tối ưu hóa toàn diện lộ trình ôn luyện. Qua đó, học sinh không chỉ làm chủ mọi dạng bài thi mà còn trang bị chiến thuật làm bài hiệu quả, tự tin đạt kết quả đột phá, tạo nền tảng vững chắc cho Kỳ thi Tốt nghiệp THPT Quốc gia và hành trang vững vàng vào đại học, nhờ phương pháp tiếp cận trực quan, khoa học và mang lại hiệu quả học tập vượt trội.
images-post/bo-de-kiem-tra-1-tiet-giai-tich-12-chuong-4-so-phuc-co-dap-an-01.jpgimages-post/bo-de-kiem-tra-1-tiet-giai-tich-12-chuong-4-so-phuc-co-dap-an-02.jpgimages-post/bo-de-kiem-tra-1-tiet-giai-tich-12-chuong-4-so-phuc-co-dap-an-03.jpgimages-post/bo-de-kiem-tra-1-tiet-giai-tich-12-chuong-4-so-phuc-co-dap-an-04.jpgimages-post/bo-de-kiem-tra-1-tiet-giai-tich-12-chuong-4-so-phuc-co-dap-an-05.jpgimages-post/bo-de-kiem-tra-1-tiet-giai-tich-12-chuong-4-so-phuc-co-dap-an-06.jpgimages-post/bo-de-kiem-tra-1-tiet-giai-tich-12-chuong-4-so-phuc-co-dap-an-07.jpgimages-post/bo-de-kiem-tra-1-tiet-giai-tich-12-chuong-4-so-phuc-co-dap-an-08.jpgimages-post/bo-de-kiem-tra-1-tiet-giai-tich-12-chuong-4-so-phuc-co-dap-an-09.jpgimages-post/bo-de-kiem-tra-1-tiet-giai-tich-12-chuong-4-so-phuc-co-dap-an-10.jpg

File bộ đề kiểm tra 1 tiết giải tích 12 chương 4 (số phức) có đáp án PDF Chi Tiết

TÌM KIẾM THEO TỪ KHÓA