Logo Header
  1. Môn Toán
  2. đề kiểm tra giải tích 12 chương 4 (số phức) trường thpt phạm hồng thái – hà nội

đề kiểm tra giải tích 12 chương 4 (số phức) trường thpt phạm hồng thái – hà nội

Bạn đang xem tài liệu đề kiểm tra giải tích 12 chương 4 (số phức) trường thpt phạm hồng thái – hà nội được biên soạn theo học toán mới nhất. Tài liệu này hệ thống hóa kiến thức một cách khoa học, phù hợp cho mọi lộ trình học từ cơ bản đến nâng cao. Hãy khai thác triệt để nội dung để bứt phá điểm số và tự tin chinh phục mọi kỳ thi nhé!

Phân tích và Đánh giá Tài liệu Ôn Tập Giải tích 12 – Chương 4: Số Phức (Trường THPT Phạm Hồng Thái, Hà Nội)

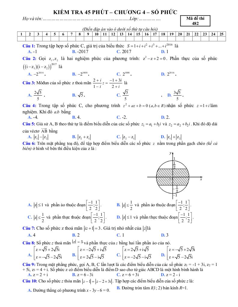
Tài liệu ôn tập Giải tích 12, tập trung vào chương 4 về số phức, do trường THPT Phạm Hồng Thái – Hà Nội biên soạn, là một nguồn tài liệu hữu ích cho học sinh đang chuẩn bị cho kỳ thi THPT Quốc gia. Với cấu trúc gồm 17 trang, tài liệu cung cấp một hệ thống bài tập trắc nghiệm đa dạng, được phân chia thành 8 mã đề khác nhau.

Cấu trúc và Nội dung:

  1. Số lượng và Hình thức: Tài liệu bao gồm tổng cộng 8 mã đề kiểm tra, mỗi đề chứa 25 câu hỏi trắc nghiệm. Đây là một số lượng bài tập đủ lớn để học sinh có thể rèn luyện kỹ năng giải quyết các dạng bài tập khác nhau liên quan đến số phức.
  2. Phạm vi kiến thức: Chương 4 về số phức trong chương trình Giải tích 12 thường bao gồm các nội dung chính như:
    • Biểu diễn số phức
    • Các phép toán trên số phức (cộng, trừ, nhân, chia)
    • Số phức liên hợp
    • Module của số phức
    • Phương trình bậc hai với hệ số thực
    • Biểu diễn hình học của số phức
    Việc tài liệu bao gồm 8 mã đề cho thấy sự bao phủ kiến thức tương đối toàn diện các chủ đề này.
  3. Đáp án: Việc cung cấp đáp án ở trang cuối tài liệu là một điểm cộng lớn, giúp học sinh tự đánh giá kết quả học tập và rút kinh nghiệm sau khi làm bài.

Đánh giá và Nhận xét:

Tài liệu này có một số ưu điểm đáng chú ý:

  • Tính đa dạng: 8 mã đề với cấu trúc tương tự nhưng có thể thay đổi thứ tự câu hỏi và một số chi tiết nhỏ giúp học sinh tránh việc học thuộc lòng đáp án và tập trung vào việc hiểu bản chất của vấn đề.
  • Tính thực hành: Hình thức trắc nghiệm phù hợp với xu hướng đề thi THPT Quốc gia hiện nay, giúp học sinh làm quen với cách thức đánh giá và rèn luyện kỹ năng làm bài trắc nghiệm nhanh và chính xác.
  • Tính tự học: Với đáp án được cung cấp, học sinh có thể sử dụng tài liệu này để tự học, tự kiểm tra kiến thức và củng cố những phần còn yếu.

Tuy nhiên, để tài liệu trở nên hoàn thiện hơn, có thể cân nhắc một số gợi ý sau:

  • Phân loại theo mức độ khó: Sắp xếp các câu hỏi theo mức độ khó (dễ, trung bình, khó) sẽ giúp học sinh có thể tập trung vào những dạng bài phù hợp với trình độ của mình.
  • Giải thích đáp án: Thay vì chỉ cung cấp đáp án, việc giải thích chi tiết cách giải từng câu hỏi sẽ giúp học sinh hiểu rõ hơn về phương pháp giải và tránh những sai lầm tương tự trong tương lai.
  • Bổ sung lý thuyết: Mặc dù tài liệu tập trung vào bài tập, nhưng việc tóm tắt ngắn gọn các khái niệm và công thức quan trọng liên quan đến số phức sẽ giúp học sinh có một cái nhìn tổng quan và hệ thống hơn về kiến thức.

Kết luận:

Nhìn chung, tài liệu ôn tập Giải tích 12 – Chương 4: Số phức của trường THPT Phạm Hồng Thái – Hà Nội là một tài liệu hữu ích và đáng tin cậy cho học sinh. Với cấu trúc rõ ràng, nội dung phong phú và đáp án đầy đủ, tài liệu này sẽ góp phần giúp học sinh nắm vững kiến thức về số phức và đạt kết quả tốt trong kỳ thi THPT Quốc gia.

Chinh phục điểm cao Kỳ thi Tốt nghiệp THPT Quốc gia môn Toán, rộng mở cánh cửa Đại học với nội dung đề kiểm tra giải tích 12 chương 4 (số phức) trường thpt phạm hồng thái – hà nội trong chuyên mục đề thi toán 12 trên nền tảng học toán! Bộ bài tập toán trung học phổ thông, được biên soạn chuyên sâu, bám sát cấu trúc đề thi và chương trình Toán 12, cam kết tối ưu hóa toàn diện lộ trình ôn luyện. Qua đó, học sinh không chỉ làm chủ mọi dạng bài thi mà còn trang bị chiến thuật làm bài hiệu quả, tự tin đạt kết quả đột phá, tạo nền tảng vững chắc cho Kỳ thi Tốt nghiệp THPT Quốc gia và hành trang vững vàng vào đại học, nhờ phương pháp tiếp cận trực quan, khoa học và mang lại hiệu quả học tập vượt trội.
images-post/de-kiem-tra-giai-tich-12-chuong-4-so-phuc-truong-thpt-pham-hong-thai-ha-noi-01.jpgimages-post/de-kiem-tra-giai-tich-12-chuong-4-so-phuc-truong-thpt-pham-hong-thai-ha-noi-02.jpgimages-post/de-kiem-tra-giai-tich-12-chuong-4-so-phuc-truong-thpt-pham-hong-thai-ha-noi-03.jpgimages-post/de-kiem-tra-giai-tich-12-chuong-4-so-phuc-truong-thpt-pham-hong-thai-ha-noi-04.jpgimages-post/de-kiem-tra-giai-tich-12-chuong-4-so-phuc-truong-thpt-pham-hong-thai-ha-noi-05.jpgimages-post/de-kiem-tra-giai-tich-12-chuong-4-so-phuc-truong-thpt-pham-hong-thai-ha-noi-06.jpgimages-post/de-kiem-tra-giai-tich-12-chuong-4-so-phuc-truong-thpt-pham-hong-thai-ha-noi-07.jpgimages-post/de-kiem-tra-giai-tich-12-chuong-4-so-phuc-truong-thpt-pham-hong-thai-ha-noi-08.jpgimages-post/de-kiem-tra-giai-tich-12-chuong-4-so-phuc-truong-thpt-pham-hong-thai-ha-noi-09.jpgimages-post/de-kiem-tra-giai-tich-12-chuong-4-so-phuc-truong-thpt-pham-hong-thai-ha-noi-10.jpg

File đề kiểm tra giải tích 12 chương 4 (số phức) trường thpt phạm hồng thái – hà nội PDF Chi Tiết

TÌM KIẾM THEO TỪ KHÓA