Logo Header
  1. Môn Toán
  2. đề kiểm tra giải tích 12 chương 4 (số phức) trường thpt hoàng văn thụ – yên bái

đề kiểm tra giải tích 12 chương 4 (số phức) trường thpt hoàng văn thụ – yên bái

Bạn đang xem tài liệu đề kiểm tra giải tích 12 chương 4 (số phức) trường thpt hoàng văn thụ – yên bái được biên soạn theo tài liệu toán mới nhất. Tài liệu này hệ thống hóa kiến thức một cách khoa học, phù hợp cho mọi lộ trình học từ cơ bản đến nâng cao. Hãy khai thác triệt để nội dung để bứt phá điểm số và tự tin chinh phục mọi kỳ thi nhé!

Đánh giá chi tiết tài liệu ôn tập Giải tích 12 – Chương 4: Số phức (Trường THPT Hoàng Văn Thụ – Yên Bái)

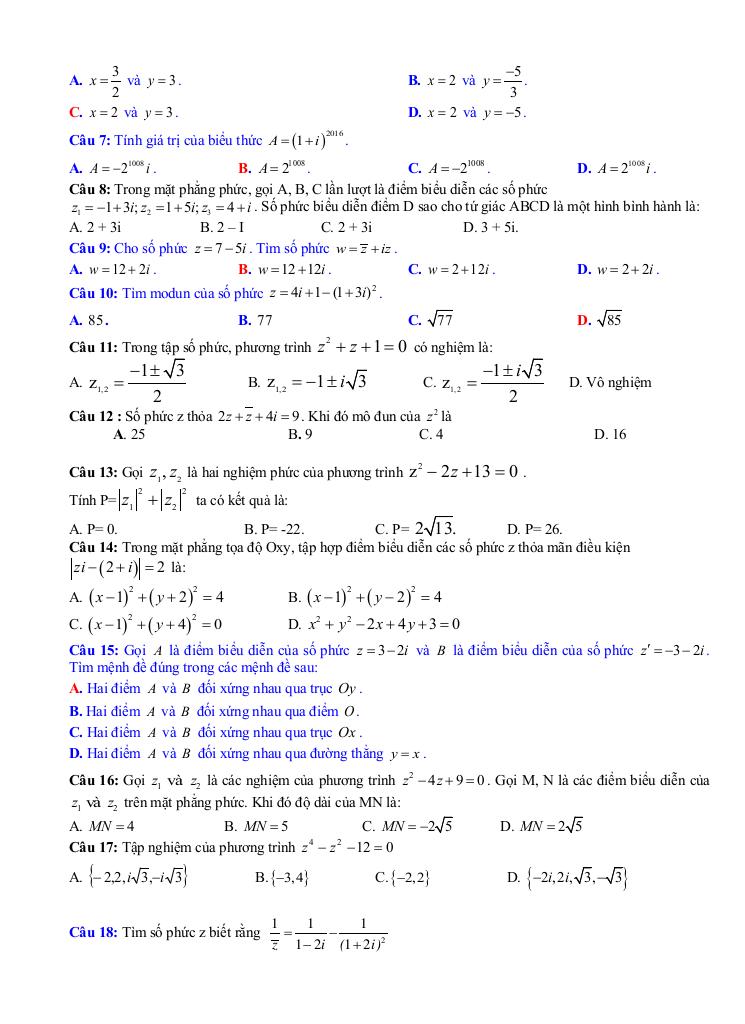
Tài liệu ôn tập Giải tích 12 chương 4 về số phức của trường THPT Hoàng Văn Thụ – Yên Bái là một nguồn tài liệu hữu ích cho học sinh trong quá trình chuẩn bị cho các bài kiểm tra 1 tiết. Với cấu trúc gồm 9 trang và 3 đề thi, mỗi đề bao gồm 25 câu hỏi trắc nghiệm, tài liệu này cung cấp một lượng bài tập đáng kể để học sinh rèn luyện và củng cố kiến thức.

Phân tích cấu trúc và nội dung:

  1. Số lượng đề thi: Việc cung cấp 3 đề thi giúp học sinh có cơ hội làm quen với nhiều dạng bài tập khác nhau, từ đó đánh giá được mức độ nắm vững kiến thức của bản thân một cách toàn diện hơn.
  2. Hình thức đề thi: Đề thi trắc nghiệm với 25 câu hỏi mỗi đề là một lựa chọn phù hợp để kiểm tra nhanh kiến thức cơ bản và khả năng vận dụng các công thức, định lý liên quan đến số phức.
  3. Độ bao phủ kiến thức: Để đánh giá chính xác hơn về độ bao phủ kiến thức của tài liệu, cần xem xét chi tiết nội dung các câu hỏi trắc nghiệm trong mỗi đề thi. Tuy nhiên, dựa trên thông tin cung cấp, có thể dự đoán tài liệu sẽ tập trung vào các chủ đề chính của chương số phức như:
    • Biểu diễn số phức
    • Các phép toán trên số phức (cộng, trừ, nhân, chia)
    • Số phức liên hợp
    • Module của số phức
    • Phương trình bậc hai với hệ số thực
    • Biểu diễn hình học của số phức
  4. Mức độ khó: Mức độ khó của các câu hỏi trắc nghiệm cũng là một yếu tố quan trọng cần xem xét. Một tài liệu ôn tập tốt nên có sự phân hóa về độ khó, từ các câu hỏi dễ để kiểm tra kiến thức cơ bản đến các câu hỏi khó để thách thức khả năng tư duy và vận dụng của học sinh.

Nhận xét chung:

Tài liệu này có tiềm năng trở thành một công cụ hỗ trợ học tập hiệu quả cho học sinh lớp 12 trong quá trình ôn tập chương số phức. Tuy nhiên, để tối ưu hóa hiệu quả sử dụng, tài liệu nên được bổ sung thêm:

  • Đáp án và lời giải chi tiết: Việc cung cấp đáp án và lời giải chi tiết cho từng câu hỏi sẽ giúp học sinh tự đánh giá kết quả làm bài và hiểu rõ hơn về phương pháp giải quyết các dạng bài tập khác nhau.
  • Phân loại câu hỏi theo chủ đề: Việc phân loại câu hỏi theo chủ đề sẽ giúp học sinh dễ dàng tập trung ôn tập vào những phần kiến thức còn yếu.
  • Các bài tập tự luận: Bên cạnh các câu hỏi trắc nghiệm, việc bổ sung thêm các bài tập tự luận sẽ giúp học sinh rèn luyện kỹ năng trình bày bài toán một cách logic và chặt chẽ.

Nhìn chung, tài liệu ôn tập Giải tích 12 chương 4 về số phức của trường THPT Hoàng Văn Thụ – Yên Bái là một khởi đầu tốt. Với những bổ sung và cải tiến phù hợp, tài liệu này có thể trở thành một nguồn tài liệu tham khảo giá trị cho học sinh và giáo viên.

Chinh phục điểm cao Kỳ thi Tốt nghiệp THPT Quốc gia môn Toán, rộng mở cánh cửa Đại học với nội dung đề kiểm tra giải tích 12 chương 4 (số phức) trường thpt hoàng văn thụ – yên bái trong chuyên mục đề toán 12 trên nền tảng tài liệu toán! Bộ bài tập toán trung học phổ thông, được biên soạn chuyên sâu, bám sát cấu trúc đề thi và chương trình Toán 12, cam kết tối ưu hóa toàn diện lộ trình ôn luyện. Qua đó, học sinh không chỉ làm chủ mọi dạng bài thi mà còn trang bị chiến thuật làm bài hiệu quả, tự tin đạt kết quả đột phá, tạo nền tảng vững chắc cho Kỳ thi Tốt nghiệp THPT Quốc gia và hành trang vững vàng vào đại học, nhờ phương pháp tiếp cận trực quan, khoa học và mang lại hiệu quả học tập vượt trội.
images-post/de-kiem-tra-giai-tich-12-chuong-4-so-phuc-truong-thpt-hoang-van-thu-yen-bai-1.jpgimages-post/de-kiem-tra-giai-tich-12-chuong-4-so-phuc-truong-thpt-hoang-van-thu-yen-bai-2.jpgimages-post/de-kiem-tra-giai-tich-12-chuong-4-so-phuc-truong-thpt-hoang-van-thu-yen-bai-3.jpgimages-post/de-kiem-tra-giai-tich-12-chuong-4-so-phuc-truong-thpt-hoang-van-thu-yen-bai-4.jpgimages-post/de-kiem-tra-giai-tich-12-chuong-4-so-phuc-truong-thpt-hoang-van-thu-yen-bai-5.jpgimages-post/de-kiem-tra-giai-tich-12-chuong-4-so-phuc-truong-thpt-hoang-van-thu-yen-bai-6.jpgimages-post/de-kiem-tra-giai-tich-12-chuong-4-so-phuc-truong-thpt-hoang-van-thu-yen-bai-7.jpgimages-post/de-kiem-tra-giai-tich-12-chuong-4-so-phuc-truong-thpt-hoang-van-thu-yen-bai-8.jpgimages-post/de-kiem-tra-giai-tich-12-chuong-4-so-phuc-truong-thpt-hoang-van-thu-yen-bai-9.jpg

File đề kiểm tra giải tích 12 chương 4 (số phức) trường thpt hoàng văn thụ – yên bái PDF Chi Tiết

TÌM KIẾM THEO TỪ KHÓA