giaibaitoan.com xin giới thiệu đến quý thầy cô và các em học sinh lớp 12 đề kiểm tra định kỳ môn Giải tích 12, chương 4 (Số phức) năm học 2018 – 2019 của trường THPT Cây Dương, tỉnh Kiên Giang. Đề thi có mã 234, cấu trúc dưới dạng trắc nghiệm với 25 câu hỏi, được thiết kế để đánh giá mức độ nắm vững kiến thức và kỹ năng giải quyết bài toán về số phức của học sinh trong thời gian 45 phút. Điểm đặc biệt, đề thi này đã được cung cấp kèm đáp án chi tiết, hỗ trợ quá trình tự học và ôn luyện.
Đánh giá chung về đề thi:
Đề thi tập trung vào các nội dung cốt lõi của chương Số phức, bao gồm:
Mức độ khó của đề thi được đánh giá là vừa phải, có sự phân hóa rõ ràng giữa các câu hỏi, từ đó giúp đánh giá chính xác năng lực của học sinh. Các câu hỏi được trình bày rõ ràng, mạch lạc, tránh gây nhầm lẫn cho thí sinh.
Phân tích một số câu hỏi tiêu biểu:
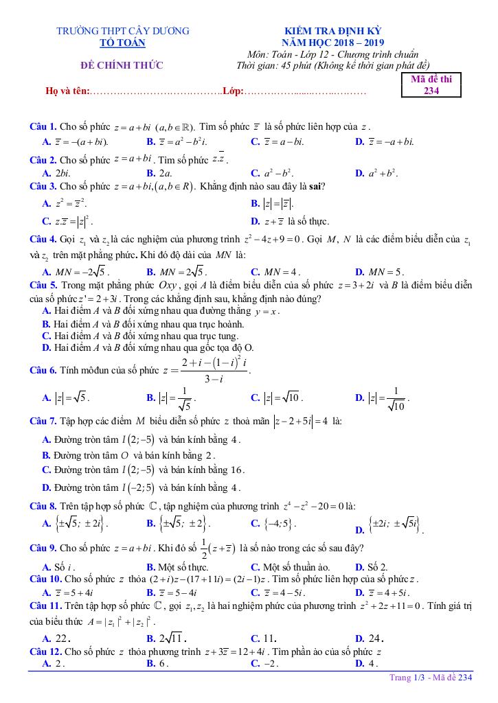
Câu 1: Trong mặt phẳng phức Oxy, gọi A là điểm biểu diễn của số phức z = 3 + 2i và B là điểm biểu diễn của số phức z’ = 2 + 3i. Trong các khẳng định sau, khẳng định nào đúng?
Đây là một câu hỏi cơ bản, kiểm tra khả năng hiểu và vận dụng kiến thức về biểu diễn hình học của số phức. Để giải quyết bài toán này, học sinh cần xác định tọa độ của điểm A và B trên mặt phẳng phức, sau đó kiểm tra các tính chất đối xứng của hai điểm này qua các đường thẳng và gốc tọa độ.
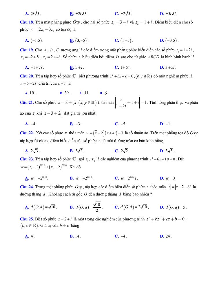
Câu 2: Xét các số phức z thỏa mãn w = (z – 2)(z + 4i) – 7 là số thuần ảo. Trên mặt phẳng tọa độ Oxy, tập hợp tất cả các điểm biểu diễn các số phức z là một đường tròn có bán kính bằng?
Câu hỏi này đòi hỏi học sinh phải biến đổi biểu thức w để tìm điều kiện để w là số thuần ảo. Sau đó, học sinh cần xác định tập hợp các điểm z thỏa mãn điều kiện đó. Đây là một bài toán kết hợp kiến thức về số phức và hình học phẳng.
Câu 3: Trong mặt phẳng phức Oxy, tập hợp các điểm biểu diễn số phức z thỏa mãn |z| = |z – 2 – 6i| là đường thẳng d. Khoảng cách từ gốc O đến đường thẳng d bằng bao nhiêu?
Bài toán này kiểm tra khả năng hiểu và vận dụng định nghĩa về môđun của số phức và phương trình đường thẳng trong mặt phẳng phức. Học sinh cần biến đổi phương trình |z| = |z – 2 – 6i| để tìm phương trình đường thẳng d, sau đó tính khoảng cách từ gốc tọa độ đến đường thẳng d.
Tài liệu hỗ trợ:
Để phục vụ công tác giảng dạy và học tập, giaibaitoan.com cung cấp file WORD của đề thi này. Quý thầy cô có thể tải xuống tại:
File WORD (dành cho quý thầy, cô): TẢI XUỐNG
Hy vọng đề thi này sẽ là tài liệu hữu ích cho các em học sinh trong quá trình ôn tập và chuẩn bị cho các kỳ thi sắp tới.





