Logo Header
  1. Môn Toán
  2. đề kiểm tra giải tích 12 chương 4 (số phức) trường thpt châu văn liêm – cần thơ

đề kiểm tra giải tích 12 chương 4 (số phức) trường thpt châu văn liêm – cần thơ

Bạn đang xem tài liệu đề kiểm tra giải tích 12 chương 4 (số phức) trường thpt châu văn liêm – cần thơ được biên soạn theo tài liệu toán mới nhất. Tài liệu này hệ thống hóa kiến thức một cách khoa học, phù hợp cho mọi lộ trình học từ cơ bản đến nâng cao. Hãy khai thác triệt để nội dung để bứt phá điểm số và tự tin chinh phục mọi kỳ thi nhé!

Đánh giá chi tiết đề kiểm tra Giải tích 12 – Chương 4: Số phức (Trường THPT Châu Văn Liêm – Cần Thơ)

Đề kiểm tra Giải tích 12 chương 4 về số phức của trường THPT Châu Văn Liêm – Cần Thơ được cấu trúc với hai phần rõ ràng: trắc nghiệm và tự luận. Đây là một cấu trúc phổ biến và hiệu quả trong đánh giá kiến thức của học sinh, cho phép kiểm tra cả khả năng nắm vững lý thuyết và kỹ năng vận dụng vào giải quyết bài toán.

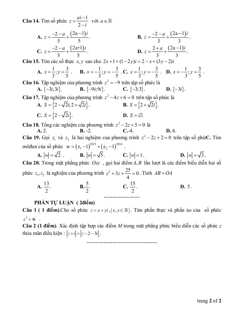
Phần trắc nghiệm (20 câu):

  • Mục đích: Phần trắc nghiệm với 20 câu hỏi đóng vai trò quan trọng trong việc đánh giá nhanh chóng mức độ hiểu biết cơ bản của học sinh về các khái niệm, định nghĩa, tính chất và công thức liên quan đến số phức.
  • Nội dung dự kiến: Các câu hỏi trắc nghiệm có thể bao gồm:
    1. Xác định phần thực, phần ảo của số phức.
    2. Biểu diễn số phức trên mặt phẳng phức.
    3. Thực hiện các phép toán cộng, trừ, nhân, chia số phức.
    4. Tìm số phức liên hợp.
    5. Giải các phương trình bậc hai với hệ số thực có nghiệm phức.
    6. Tính mô-đun của số phức.
    7. Nhận biết các dạng biểu diễn của số phức (dạng đại số, lượng giác).
  • Đánh giá: Số lượng câu hỏi trắc nghiệm lớn (20 câu) cho thấy đề thi chú trọng đến việc kiểm tra kiến thức nền tảng và khả năng nhận biết của học sinh.

Phần tự luận (2 bài):

  • Mục đích: Phần tự luận với 2 bài tập yêu cầu học sinh trình bày chi tiết các bước giải, thể hiện khả năng phân tích, suy luận logic và vận dụng kiến thức vào giải quyết các bài toán phức tạp hơn.
  • Nội dung dự kiến: Các bài tập tự luận có thể tập trung vào:
    1. Giải phương trình bậc hai, bậc ba với hệ số phức.
    2. Chứng minh các đẳng thức liên quan đến số phức.
    3. Tìm tập hợp các điểm biểu diễn số phức thỏa mãn một điều kiện cho trước.
    4. Ứng dụng số phức vào giải các bài toán hình học.
  • Đánh giá: Số lượng bài tập tự luận ít (2 bài) cho thấy đề thi tập trung vào việc đánh giá khả năng giải quyết vấn đề và trình bày lập luận của học sinh hơn là kiểm tra số lượng kiến thức đã học.

Nhận xét chung:

Đề kiểm tra được thiết kế với sự cân bằng giữa hai hình thức đánh giá: trắc nghiệm và tự luận. Điều này giúp đánh giá toàn diện năng lực của học sinh trong việc nắm vững và vận dụng kiến thức về số phức. Việc phân bổ số lượng câu hỏi/bài tập giữa hai phần cho thấy đề thi có xu hướng tập trung vào việc kiểm tra kiến thức nền tảng và kỹ năng giải quyết vấn đề.

Để đạt kết quả tốt trong kỳ kiểm tra này, học sinh cần nắm vững các khái niệm, định nghĩa, tính chất và công thức liên quan đến số phức, đồng thời luyện tập giải nhiều dạng bài tập khác nhau để rèn luyện kỹ năng và tư duy toán học.

Chinh phục điểm cao Kỳ thi Tốt nghiệp THPT Quốc gia môn Toán, rộng mở cánh cửa Đại học với nội dung đề kiểm tra giải tích 12 chương 4 (số phức) trường thpt châu văn liêm – cần thơ trong chuyên mục đề thi toán 12 trên nền tảng tài liệu toán! Bộ bài tập toán thpt, được biên soạn chuyên sâu, bám sát cấu trúc đề thi và chương trình Toán 12, cam kết tối ưu hóa toàn diện lộ trình ôn luyện. Qua đó, học sinh không chỉ làm chủ mọi dạng bài thi mà còn trang bị chiến thuật làm bài hiệu quả, tự tin đạt kết quả đột phá, tạo nền tảng vững chắc cho Kỳ thi Tốt nghiệp THPT Quốc gia và hành trang vững vàng vào đại học, nhờ phương pháp tiếp cận trực quan, khoa học và mang lại hiệu quả học tập vượt trội.
images-post/de-kiem-tra-giai-tich-12-chuong-4-so-phuc-truong-thpt-chau-van-liem-can-tho-1.jpgimages-post/de-kiem-tra-giai-tich-12-chuong-4-so-phuc-truong-thpt-chau-van-liem-can-tho-2.jpg

File đề kiểm tra giải tích 12 chương 4 (số phức) trường thpt châu văn liêm – cần thơ PDF Chi Tiết

TÌM KIẾM THEO TỪ KHÓA