Logo Header
  1. Môn Toán
  2. đề cuối kỳ 2 toán 12 năm 2024 – 2025 trường thpt hướng hóa – quảng trị

đề cuối kỳ 2 toán 12 năm 2024 – 2025 trường thpt hướng hóa – quảng trị

Bạn đang xem tài liệu đề cuối kỳ 2 toán 12 năm 2024 – 2025 trường thpt hướng hóa – quảng trị được biên soạn theo môn toán mới nhất. Tài liệu này hệ thống hóa kiến thức một cách khoa học, phù hợp cho mọi lộ trình học từ cơ bản đến nâng cao. Hãy khai thác triệt để nội dung để bứt phá điểm số và tự tin chinh phục mọi kỳ thi nhé!

giaibaitoan.com xin giới thiệu đến quý thầy cô giáo và các em học sinh lớp 12 đề kiểm tra cuối học kỳ 2 môn Toán 12 năm học 2024 – 2025 của trường THPT Hướng Hóa, tỉnh Quảng Trị. Đề thi này là một tài liệu tham khảo hữu ích cho việc ôn tập và chuẩn bị cho kỳ thi sắp tới.

Đề thi có cấu trúc đa dạng, bao gồm ba hình thức: trắc nghiệm nhiều phương án lựa chọn (40%), trắc nghiệm đúng sai (40%) và trắc nghiệm trả lời ngắn (20%). Tổng thời gian làm bài là 90 phút. Đề thi đi kèm với đáp án chi tiết cho mã đề 1201 và 1202, giúp học sinh tự đánh giá kết quả và rút kinh nghiệm.

Dưới đây là trích dẫn một số câu hỏi tiêu biểu từ đề thi, thể hiện rõ các chủ đề và mức độ khó của đề:

  1. Bài toán về ứng dụng của tọa độ trong không gian: Trong một khu du lịch, du khách trải nghiệm Zipline từ tháp I (A) đến tháp II (B). Với tọa độ A(3;3;15) và B(21;28;10), tìm tọa độ của du khách ở độ cao 12m và tính giá trị biểu thức P = 5a + b – c. Bài toán này đòi hỏi học sinh nắm vững kiến thức về phương trình đường thẳng trong không gian và khả năng giải quyết bài toán thực tế.
  2. Bài toán về quỹ đạo chuyển động và giới hạn phạm vi quan sát: Một thiên thạch chuyển động từ M(-12;29;10) theo phương song song với vectơ u(-12;17;5). Hệ thống quan sát có giới hạn độ cao 6630 km so với mực nước biển (bán kính Trái Đất 6370 km). Xác định vị trí cuối cùng của thiên thạch trong phạm vi theo dõi. Bài toán này kết hợp kiến thức về phương trình tham số của đường thẳng, điều kiện về khoảng cách và ứng dụng vào thực tiễn theo dõi thiên thạch.
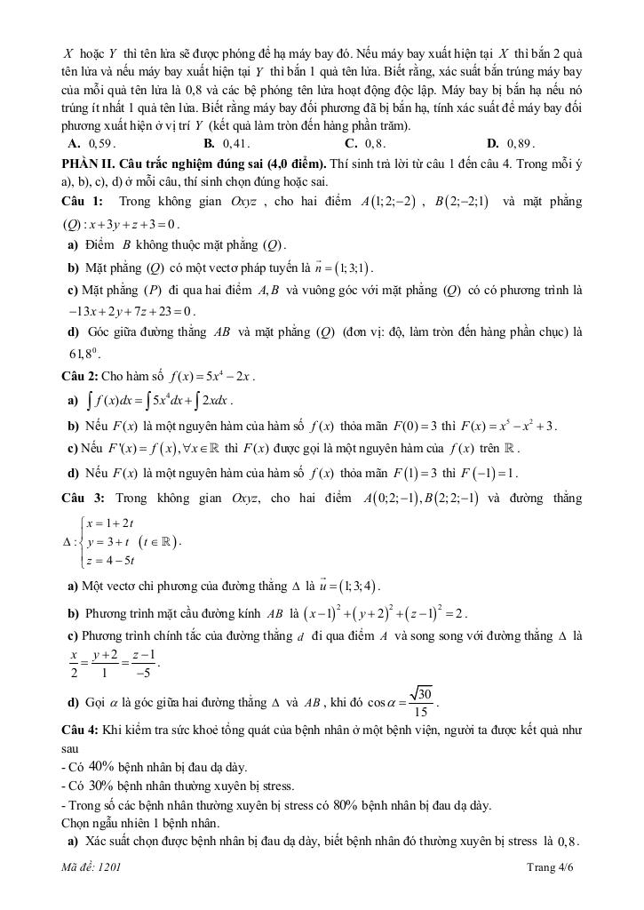
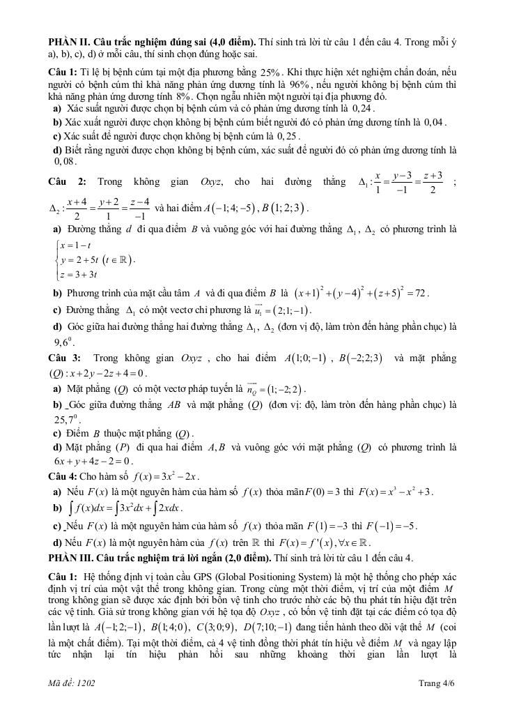
  3. Bài toán về xác suất và thống kê: Máy bay đối phương xuất hiện ở X (xác suất 0.55) hoặc Y. Bắn tên lửa (2 quả tại X, 1 quả tại Y) với xác suất trúng mỗi quả là 0.8. Biết máy bay bị bắn hạ, tính xác suất máy bay xuất hiện ở Y. Bài toán này yêu cầu học sinh vận dụng kiến thức về xác suất có điều kiện, quy tắc cộng xác suất và các phép toán xác suất cơ bản.

Đánh giá và nhận xét:

  • Đề thi có cấu trúc rõ ràng, phân bổ hợp lý các dạng câu hỏi.
  • Các câu hỏi được xây dựng dựa trên kiến thức trọng tâm của chương trình Toán 12, đặc biệt là các chủ đề về tọa độ trong không gian, đường thẳng và mặt phẳng, và xác suất thống kê.
  • Đề thi có tính ứng dụng cao, gắn liền với các tình huống thực tế, giúp học sinh rèn luyện kỹ năng giải quyết vấn đề.
  • Mức độ khó của đề thi tương đối, có sự phân hóa rõ rệt, phù hợp với nhiều đối tượng học sinh.

Nhìn chung, đây là một đề thi chất lượng, có giá trị tham khảo cao cho học sinh và giáo viên trong quá trình ôn tập và giảng dạy môn Toán 12.

Chinh phục điểm cao Kỳ thi Tốt nghiệp THPT Quốc gia môn Toán, rộng mở cánh cửa Đại học với nội dung đề cuối kỳ 2 toán 12 năm 2024 – 2025 trường thpt hướng hóa – quảng trị trong chuyên mục đề toán lớp 12 trên nền tảng môn toán! Bộ bài tập lý thuyết toán thpt, được biên soạn chuyên sâu, bám sát cấu trúc đề thi và chương trình Toán 12, cam kết tối ưu hóa toàn diện lộ trình ôn luyện. Qua đó, học sinh không chỉ làm chủ mọi dạng bài thi mà còn trang bị chiến thuật làm bài hiệu quả, tự tin đạt kết quả đột phá, tạo nền tảng vững chắc cho Kỳ thi Tốt nghiệp THPT Quốc gia và hành trang vững vàng vào đại học, nhờ phương pháp tiếp cận trực quan, khoa học và mang lại hiệu quả học tập vượt trội.
images-post/de-cuoi-ky-2-toan-12-nam-2024-2025-truong-thpt-huong-hoa-quang-tri-01.jpgimages-post/de-cuoi-ky-2-toan-12-nam-2024-2025-truong-thpt-huong-hoa-quang-tri-02.jpgimages-post/de-cuoi-ky-2-toan-12-nam-2024-2025-truong-thpt-huong-hoa-quang-tri-03.jpgimages-post/de-cuoi-ky-2-toan-12-nam-2024-2025-truong-thpt-huong-hoa-quang-tri-04.jpgimages-post/de-cuoi-ky-2-toan-12-nam-2024-2025-truong-thpt-huong-hoa-quang-tri-05.jpgimages-post/de-cuoi-ky-2-toan-12-nam-2024-2025-truong-thpt-huong-hoa-quang-tri-06.jpgimages-post/de-cuoi-ky-2-toan-12-nam-2024-2025-truong-thpt-huong-hoa-quang-tri-07.jpgimages-post/de-cuoi-ky-2-toan-12-nam-2024-2025-truong-thpt-huong-hoa-quang-tri-08.jpgimages-post/de-cuoi-ky-2-toan-12-nam-2024-2025-truong-thpt-huong-hoa-quang-tri-09.jpgimages-post/de-cuoi-ky-2-toan-12-nam-2024-2025-truong-thpt-huong-hoa-quang-tri-10.jpg

File đề cuối kỳ 2 toán 12 năm 2024 – 2025 trường thpt hướng hóa – quảng trị PDF Chi Tiết

TÌM KIẾM THEO TỪ KHÓA