Logo Header
  1. Môn Toán
  2. đề cuối kỳ 2 toán 12 năm 2024 – 2025 trường thpt lê hồng phong – đắk lắk

đề cuối kỳ 2 toán 12 năm 2024 – 2025 trường thpt lê hồng phong – đắk lắk

Bạn đang xem tài liệu đề cuối kỳ 2 toán 12 năm 2024 – 2025 trường thpt lê hồng phong – đắk lắk được biên soạn theo soạn toán mới nhất. Tài liệu này hệ thống hóa kiến thức một cách khoa học, phù hợp cho mọi lộ trình học từ cơ bản đến nâng cao. Hãy khai thác triệt để nội dung để bứt phá điểm số và tự tin chinh phục mọi kỳ thi nhé!

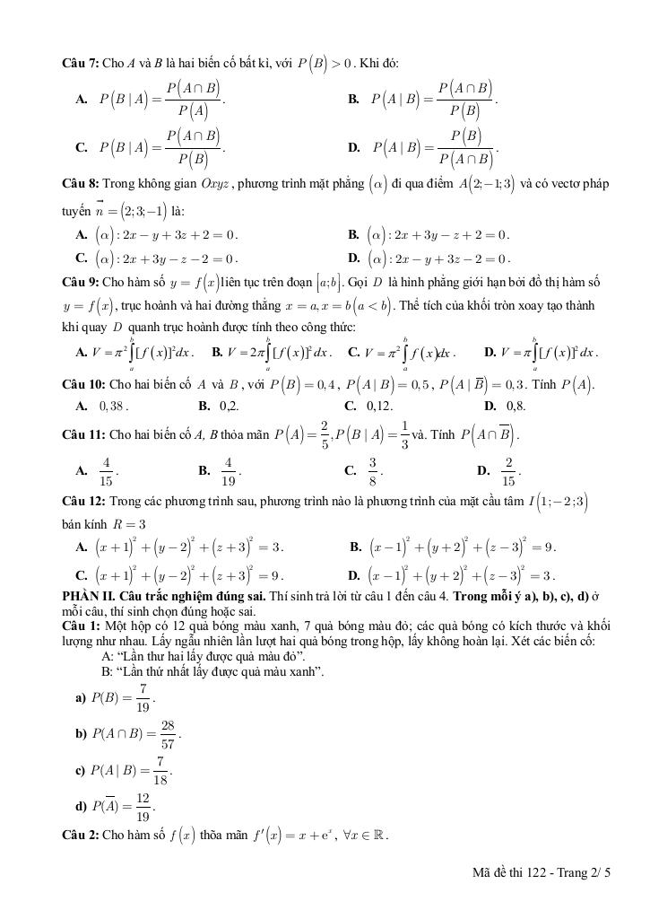
giaibaitoan.com xin giới thiệu đến quý thầy cô giáo và các em học sinh bộ đề kiểm tra đánh giá cuối học kỳ 2 môn Toán 12 năm học 2024 – 2025 của trường THPT Lê Hồng Phong, tỉnh Đắk Lắk. Đề thi được cung cấp kèm đáp án chi tiết cho các mã đề 121, 122, 123 và 124, hỗ trợ tối đa công tác giảng dạy và ôn tập.

Bộ đề thi này là một tài liệu tham khảo hữu ích, giúp học sinh làm quen với cấu trúc đề thi và rèn luyện kỹ năng giải quyết các dạng bài tập thường gặp trong chương trình Toán 12. Đồng thời, đề thi cũng là công cụ đánh giá năng lực học tập của học sinh một cách khách quan và chính xác.

Cấu trúc nội dung đề thi được phân bố theo ma trận sau:

  1. Nguyên hàm và tích phân: Đây là một trong những chủ đề trọng tâm của chương trình Toán 12, chiếm tỷ trọng lớn trong các kỳ thi. Đề thi tập trung vào các kiến thức cơ bản về nguyên hàm, tích phân và ứng dụng của tích phân trong việc tính diện tích hình phẳng.
  2. Phương pháp tọa độ trong không gian: Chủ đề này đòi hỏi học sinh nắm vững các kiến thức về phương trình mặt phẳng, phương trình đường thẳng trong không gian và phương trình mặt cầu. Đề thi thường xuất hiện các bài toán liên quan đến việc xác định mối quan hệ giữa các yếu tố hình học trong không gian.
  3. Xác suất có điều kiện: Đây là một chủ đề nâng cao, đòi hỏi học sinh có khả năng tư duy logic và vận dụng linh hoạt các công thức xác suất. Đề thi tập trung vào các bài toán về xác suất có điều kiện, công thức xác suất toàn phần và công thức Bayes.

File WORD (dành cho quý thầy cô): TẢI XUỐNG

Nhận xét chung:

Ma trận đề thi cho thấy sự cân đối giữa các chủ đề kiến thức quan trọng của chương trình Toán 12. Đề thi không chỉ kiểm tra kiến thức lý thuyết mà còn đánh giá khả năng vận dụng kiến thức vào giải quyết các bài toán thực tế. Việc có đáp án chi tiết cho các mã đề khác nhau là một điểm cộng lớn, giúp học sinh tự đánh giá kết quả và tìm ra những điểm cần cải thiện.

Lưu ý: Đề thi này chỉ là tài liệu tham khảo. Quý thầy cô giáo có thể sử dụng để xây dựng đề thi phù hợp với trình độ và năng lực của học sinh.

Chinh phục điểm cao Kỳ thi Tốt nghiệp THPT Quốc gia môn Toán, rộng mở cánh cửa Đại học với nội dung đề cuối kỳ 2 toán 12 năm 2024 – 2025 trường thpt lê hồng phong – đắk lắk trong chuyên mục giải sgk toán 12 trên nền tảng soạn toán! Bộ bài tập toán trung học phổ thông, được biên soạn chuyên sâu, bám sát cấu trúc đề thi và chương trình Toán 12, cam kết tối ưu hóa toàn diện lộ trình ôn luyện. Qua đó, học sinh không chỉ làm chủ mọi dạng bài thi mà còn trang bị chiến thuật làm bài hiệu quả, tự tin đạt kết quả đột phá, tạo nền tảng vững chắc cho Kỳ thi Tốt nghiệp THPT Quốc gia và hành trang vững vàng vào đại học, nhờ phương pháp tiếp cận trực quan, khoa học và mang lại hiệu quả học tập vượt trội.
images-post/de-cuoi-ky-2-toan-12-nam-2024-2025-truong-thpt-le-hong-phong-dak-lak-01.jpgimages-post/de-cuoi-ky-2-toan-12-nam-2024-2025-truong-thpt-le-hong-phong-dak-lak-02.jpgimages-post/de-cuoi-ky-2-toan-12-nam-2024-2025-truong-thpt-le-hong-phong-dak-lak-03.jpgimages-post/de-cuoi-ky-2-toan-12-nam-2024-2025-truong-thpt-le-hong-phong-dak-lak-04.jpgimages-post/de-cuoi-ky-2-toan-12-nam-2024-2025-truong-thpt-le-hong-phong-dak-lak-05.jpgimages-post/de-cuoi-ky-2-toan-12-nam-2024-2025-truong-thpt-le-hong-phong-dak-lak-06.jpgimages-post/de-cuoi-ky-2-toan-12-nam-2024-2025-truong-thpt-le-hong-phong-dak-lak-07.jpgimages-post/de-cuoi-ky-2-toan-12-nam-2024-2025-truong-thpt-le-hong-phong-dak-lak-08.jpgimages-post/de-cuoi-ky-2-toan-12-nam-2024-2025-truong-thpt-le-hong-phong-dak-lak-09.jpgimages-post/de-cuoi-ky-2-toan-12-nam-2024-2025-truong-thpt-le-hong-phong-dak-lak-10.jpg

File đề cuối kỳ 2 toán 12 năm 2024 – 2025 trường thpt lê hồng phong – đắk lắk PDF Chi Tiết

TÌM KIẾM THEO TỪ KHÓA