Logo Header
  1. Môn Toán
  2. đề cuối kỳ 2 toán 12 năm 2024 – 2025 trường thpt thị xã quảng trị

đề cuối kỳ 2 toán 12 năm 2024 – 2025 trường thpt thị xã quảng trị

Bạn đang xem tài liệu đề cuối kỳ 2 toán 12 năm 2024 – 2025 trường thpt thị xã quảng trị được biên soạn theo toán mới nhất. Tài liệu này hệ thống hóa kiến thức một cách khoa học, phù hợp cho mọi lộ trình học từ cơ bản đến nâng cao. Hãy khai thác triệt để nội dung để bứt phá điểm số và tự tin chinh phục mọi kỳ thi nhé!

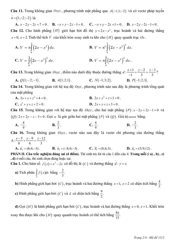
giaibaitoan.com xin giới thiệu đến quý thầy cô giáo và các em học sinh lớp 12 đề kiểm tra cuối học kỳ 2 môn Toán 12 năm học 2024 – 2025 của trường THPT Thị xã Quảng Trị, tỉnh Quảng Trị. Đề thi được cung cấp kèm theo đáp án chi tiết và hướng dẫn chấm điểm, là tài liệu ôn tập hữu ích cho học sinh trước kỳ thi quan trọng.

Đề thi năm nay có cấu trúc bám sát chương trình Toán 12, tập trung vào các chủ đề trọng tâm như xác suất thống kê, hình học không gian và ứng dụng của đạo hàm trong hình học. Các câu hỏi được thiết kế với mức độ khó tăng dần, đòi hỏi học sinh không chỉ nắm vững kiến thức lý thuyết mà còn cần có kỹ năng giải quyết vấn đề linh hoạt và chính xác.

Dưới đây là trích dẫn một số câu hỏi tiêu biểu trong đề thi:

  1. Câu hỏi về xác suất có điều kiện: Trường THPT Thị xã Quảng Trị có 20% học sinh tham gia câu lạc bộ âm nhạc, trong số đó có 75% học sinh biết chơi đàn guitar. Ngoài ra, trong số học sinh không tham gia câu lạc bộ âm nhạc có 10% học sinh biết chơi đàn guitar. Chọn ngẫu nhiên 1 học sinh của trường. Giả sử học sinh đó biết chơi đàn guitar, xác suất để chọn được học sinh thuộc câu lạc bộ âm nhạc là bao nhiêu? (làm tròn đến hàng phần trăm).
  2. Nhận xét: Đây là một bài toán xác suất có điều kiện điển hình, yêu cầu học sinh vận dụng công thức Bayes để giải quyết. Bài toán đòi hỏi sự phân tích kỹ đề và xác định chính xác các sự kiện để áp dụng công thức một cách hiệu quả.

  3. Câu hỏi về xác suất và chiến lược: Trên mặt bàn có 5 lá bài đỏ và 5 lá bài đen chưa được lật. An thực hiện lật ngẫu nhiên lần lượt từng lá bài, trước khi lật từng lá bài An phải đoán màu của lá bài đó và luôn đoán sao cho xác suất đoán đúng màu của lá bài sắp lật là lớn nhất. Xác suất lần lật bài thứ 3, An đoán đúng màu của lá bài đó là bao nhiêu? (làm tròn kết quả đến hàng phần trăm).
  4. Nhận xét: Bài toán này không chỉ kiểm tra kiến thức về xác suất mà còn đánh giá khả năng tư duy logic và xây dựng chiến lược của học sinh. Việc An luôn đoán màu sao cho xác suất đúng là lớn nhất đòi hỏi học sinh phải xem xét sự thay đổi của số lượng bài mỗi màu sau mỗi lần lật.

  5. Câu hỏi về ứng dụng của hình học không gian và vectơ: Bán kính Trái Đất lấy bằng 6400km, khi gắn hệ trục toạ độ Oxyz thì bề mặt Trái Đất là mặt cầu có phương trình x2 + y2 + z2 = 64, đường xích đạo nằm trên mặt phẳng (Oxy). Một tàu vũ trụ X rời khỏi bề mặt Trái Đất theo phương tiếp tuyến với đường tròn vĩ tuyến tại điểm A(5;23;4), với giả thiết rằng sau khi rời khỏi bề mặt Trái Đất tàu vũ trụ X bay theo quỹ đạo thẳng với tốc độ không đổi bằng 8 km/s. Hỏi sau đúng 20 phút kể từ khi rời khỏi bề mặt Trái Đất thì khoảng cách từ tàu vũ trụ đến một điểm trên đường tròn xích đạo ngắn nhất bằng bao nhiêu kilomet (làm tròn kết quả đến hàng đơn vị)?
  6. Nhận xét: Đây là một bài toán kết hợp kiến thức về hình học không gian, vectơ và ứng dụng thực tế. Học sinh cần xác định được phương trình đường thẳng quỹ đạo của tàu vũ trụ, tìm hình chiếu của tàu vũ trụ lên mặt phẳng xích đạo và tính khoảng cách ngắn nhất từ hình chiếu đó đến đường tròn xích đạo.

File WORD (dành cho quý thầy, cô): TẢI XUỐNG

Hy vọng đề thi này sẽ là tài liệu tham khảo hữu ích cho quá trình ôn tập và chuẩn bị cho kỳ thi cuối học kỳ 2 môn Toán 12 của các em học sinh. giaibaitoan.com sẽ tiếp tục cập nhật thêm nhiều đề thi và tài liệu học tập chất lượng khác trong thời gian tới.

Chinh phục điểm cao Kỳ thi Tốt nghiệp THPT Quốc gia môn Toán, rộng mở cánh cửa Đại học với nội dung đề cuối kỳ 2 toán 12 năm 2024 – 2025 trường thpt thị xã quảng trị trong chuyên mục toán 12 trên nền tảng toán! Bộ bài tập toán thpt, được biên soạn chuyên sâu, bám sát cấu trúc đề thi và chương trình Toán 12, cam kết tối ưu hóa toàn diện lộ trình ôn luyện. Qua đó, học sinh không chỉ làm chủ mọi dạng bài thi mà còn trang bị chiến thuật làm bài hiệu quả, tự tin đạt kết quả đột phá, tạo nền tảng vững chắc cho Kỳ thi Tốt nghiệp THPT Quốc gia và hành trang vững vàng vào đại học, nhờ phương pháp tiếp cận trực quan, khoa học và mang lại hiệu quả học tập vượt trội.
images-post/de-cuoi-ky-2-toan-12-nam-2024-2025-truong-thpt-thi-xa-quang-tri-01.jpgimages-post/de-cuoi-ky-2-toan-12-nam-2024-2025-truong-thpt-thi-xa-quang-tri-02.jpgimages-post/de-cuoi-ky-2-toan-12-nam-2024-2025-truong-thpt-thi-xa-quang-tri-03.jpgimages-post/de-cuoi-ky-2-toan-12-nam-2024-2025-truong-thpt-thi-xa-quang-tri-04.jpgimages-post/de-cuoi-ky-2-toan-12-nam-2024-2025-truong-thpt-thi-xa-quang-tri-05.jpgimages-post/de-cuoi-ky-2-toan-12-nam-2024-2025-truong-thpt-thi-xa-quang-tri-06.jpgimages-post/de-cuoi-ky-2-toan-12-nam-2024-2025-truong-thpt-thi-xa-quang-tri-07.jpgimages-post/de-cuoi-ky-2-toan-12-nam-2024-2025-truong-thpt-thi-xa-quang-tri-08.jpgimages-post/de-cuoi-ky-2-toan-12-nam-2024-2025-truong-thpt-thi-xa-quang-tri-09.jpgimages-post/de-cuoi-ky-2-toan-12-nam-2024-2025-truong-thpt-thi-xa-quang-tri-10.jpg

File đề cuối kỳ 2 toán 12 năm 2024 – 2025 trường thpt thị xã quảng trị PDF Chi Tiết

TÌM KIẾM THEO TỪ KHÓA