giaibaitoan.com xin giới thiệu đến quý thầy cô giáo và các em học sinh lớp 11 đề khảo sát học sinh giỏi môn Toán cấp trường năm học 2024 – 2025 của trường THPT Bố Hạ, tỉnh Bắc Giang. Đề thi được đánh giá là có độ khó phù hợp, bám sát chương trình Toán 11, đồng thời có tính phân loại học sinh tốt, giúp nhà trường đánh giá năng lực học sinh một cách chính xác.
Cấu trúc đề thi bao gồm:
Thời gian làm bài là 120 phút. Đề thi đi kèm với đáp án chi tiết và hướng dẫn chấm điểm, hỗ trợ tối đa cho công tác giảng dạy và ôn luyện.
Kỳ thi đã được tổ chức vào ngày 27 tháng 02 năm 2025.
Dưới đây là một số ví dụ về các câu hỏi trong đề thi:
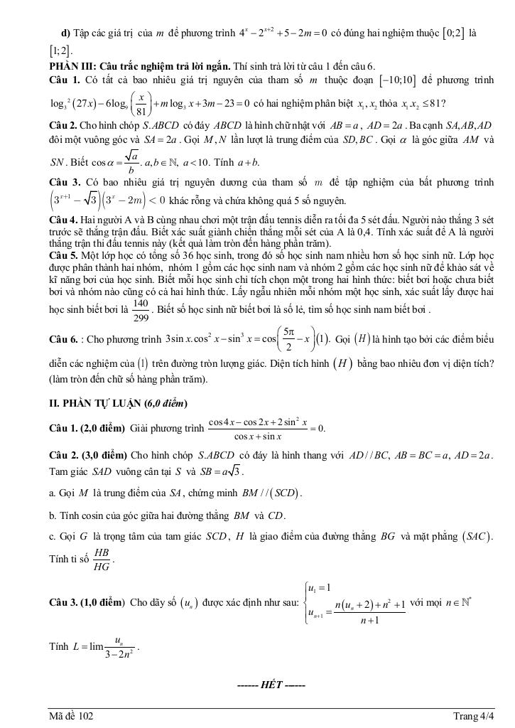
Ví dụ 1: Hai người A và B cùng nhau chơi một trận đấu tennis diễn ra tối đa 5 sét đấu. Người nào thắng 3 sét trước sẽ thắng trận đấu. Biết xác suất giành chiến thắng mỗi sét của A là 0,4. Tính xác suất để A là người thắng trận thi đấu tennis này (kết quả làm tròn đến hàng phần trăm).
Nhận xét: Đây là một bài toán về xác suất, đòi hỏi học sinh phải nắm vững kiến thức về phân phối nhị thức và tính toán xác suất của các trường hợp có thể xảy ra. Bài toán này kiểm tra khả năng vận dụng kiến thức vào thực tế và kỹ năng giải quyết vấn đề của học sinh.
Ví dụ 2: Một lớp học có tổng số 36 học sinh, trong đó số học sinh nam nhiều hơn số học sinh nữ. Lớp học được phân thành hai nhóm, nhóm 1 gồm các học sinh nam và nhóm 2 gồm các học sinh nữ để khảo sát về kĩ năng bơi của học sinh. Biết mỗi học sinh chỉ tích chọn một trong hai hình thức: biết bơi hoặc chưa biết bơi và nhóm nào cũng có cả hai hình thức. Lấy ngẫu nhiên mỗi nhóm một học sinh, xác suất lấy được hai học sinh biết bơi là 140/299. Biết số học sinh nữ biết bơi là số lẻ, tìm số học sinh nam biết bơi.
Nhận xét: Bài toán này kết hợp kiến thức về tổ hợp, xác suất và điều kiện ràng buộc. Học sinh cần phân tích kỹ đề bài, thiết lập các phương trình và sử dụng các kỹ năng giải toán để tìm ra đáp án. Việc số học sinh nữ biết bơi là số lẻ là một yếu tố quan trọng cần lưu ý khi giải bài toán.
Ví dụ 3: Ông Đạt gửi tổng cộng 320 triệu đồng ở hai ngân hàng X và Y theo phương thức lãi kép. Số tiền thứ nhất gửi ở ngân hàng X với lãi suất 2,1% một quý (1 quý: 3 tháng) trong thời gian 15 tháng. Số tiền còn lại gửi ở ngân hàng Y với lãi suất 0,73% một tháng trong thời gian 9 tháng. Tổng tiền lãi đạt được ở hai ngân hàng là 27507768 đồng. Hỏi số tiền ông Đạt gửi lần lượt ở ngân hàng X và Y là bao nhiêu (làm tròn kết quả đến hàng đơn vị)?
Nhận xét: Đây là một bài toán thực tế về lãi kép, đòi hỏi học sinh phải nắm vững công thức tính lãi kép và kỹ năng giải hệ phương trình. Bài toán này kiểm tra khả năng áp dụng kiến thức toán học vào các tình huống tài chính và kỹ năng tính toán chính xác.
File WORD (dành cho quý thầy, cô): TẢI XUỐNG









