Logo Header
  1. Môn Toán
  2. đề kiểm tra 1 tiết chương 1 hình học 11 trường thpt xuân giang – hà nội

đề kiểm tra 1 tiết chương 1 hình học 11 trường thpt xuân giang – hà nội

Bạn đang xem tài liệu đề kiểm tra 1 tiết chương 1 hình học 11 trường thpt xuân giang – hà nội được biên soạn theo toán học mới nhất. Tài liệu này hệ thống hóa kiến thức một cách khoa học, phù hợp cho mọi lộ trình học từ cơ bản đến nâng cao. Hãy khai thác triệt để nội dung để bứt phá điểm số và tự tin chinh phục mọi kỳ thi nhé!

Phân tích Đề Kiểm Tra 1 Tiết Chương 1 Hình Học 11 – Trường THPT Xuân Giang, Hà Nội (Năm học 2019-2020)

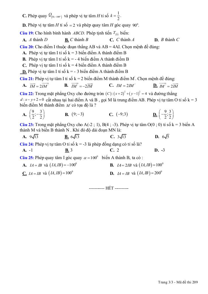
Đề kiểm tra 1 tiết của trường THPT Xuân Giang, Hà Nội, được thiết kế nhằm đánh giá mức độ nắm vững kiến thức cơ bản về phép dời hình và phép đồng dạng trong mặt phẳng tọa độ, thuộc chương 1 Hình học 11. Đề thi mã 209, với hình thức trắc nghiệm khách quan gồm 25 câu hỏi, được thực hiện trong thời gian 45 phút, cho thấy yêu cầu học sinh cần có khả năng giải quyết bài toán nhanh chóng và chính xác.

Đánh giá chung về cấu trúc và nội dung đề thi:

  • Hình thức: Việc lựa chọn hình thức trắc nghiệm giúp đề thi bao phủ được nhiều kiến thức trong chương, đồng thời đánh giá khả năng nhận biết và vận dụng các định nghĩa, tính chất của phép dời hình và phép đồng dạng.
  • Nội dung: Các câu hỏi tập trung vào các nội dung cốt lõi như:
    • Xác định ảnh của đường tròn qua phép đồng dạng (kết hợp phép quay và phép vị tự).
    • Vận dụng tính chất của phép tịnh tiến và các đường thẳng song song.
    • Tìm hiểu về phép vị tự và xác định tỉ số của phép vị tự khi biến một điểm thành một điểm khác trên đoạn thẳng.
  • Độ khó: Nhìn chung, đề thi có độ khó vừa phải, đòi hỏi học sinh phải nắm vững lý thuyết và có kỹ năng giải toán cơ bản. Một số câu hỏi có tính chất vận dụng, yêu cầu học sinh phải suy luận và kết hợp các kiến thức khác nhau để tìm ra đáp án đúng.

Phân tích chi tiết một số câu hỏi tiêu biểu:

  1. Câu 1 (Phép đồng dạng): Bài toán yêu cầu tìm phương trình đường tròn (C’) là ảnh của đường tròn (C) qua phép đồng dạng. Đây là một câu hỏi điển hình để kiểm tra khả năng vận dụng công thức biến đổi tọa độ điểm qua phép quay và phép vị tự, đồng thời hiểu được mối liên hệ giữa các yếu tố của đường tròn (tâm và bán kính) qua phép đồng dạng. Việc giải quyết bài toán này đòi hỏi học sinh phải thực hiện chính xác các phép toán và hiểu rõ ý nghĩa hình học của các phép biến hình.
  2. Câu 2 (Phép tịnh tiến và đường thẳng song song): Câu hỏi này kiểm tra sự hiểu biết về tính chất bảo toàn khoảng cách và tính song song của phép tịnh tiến. Học sinh cần nhận ra rằng phép tịnh tiến theo vectơ AB sẽ biến đường thẳng Δ song song với AB thành một đường thẳng Δ’ cũng song song với AB. Đây là một câu hỏi mang tính chất lý thuyết, giúp đánh giá khả năng nắm vững các tính chất cơ bản của phép dời hình.
  3. Câu 3 (Phép vị tự): Bài toán này yêu cầu xác định tỉ số của phép vị tự biến điểm A thành điểm B khi I thuộc đoạn AB và AB = 4AI. Để giải quyết bài toán này, học sinh cần hiểu rõ định nghĩa của phép vị tự và mối quan hệ giữa khoảng cách từ tâm vị tự đến các điểm tương ứng trước và sau phép vị tự. Trong trường hợp này, tỉ số k của phép vị tự là k = AB/AI = 4.

Nhận xét:

Đề kiểm tra 1 tiết chương 1 Hình học 11 trường THPT Xuân Giang, Hà Nội là một đề thi được xây dựng khá tốt, có tính phân loại học sinh rõ ràng. Đề thi tập trung vào các kiến thức trọng tâm của chương, đồng thời có sự kết hợp giữa các câu hỏi lý thuyết và vận dụng. Việc cung cấp đáp án (đã được gạch chân) là một điểm cộng, giúp học sinh tự đánh giá kết quả học tập và rút kinh nghiệm cho các bài kiểm tra tiếp theo.

Chinh phục đỉnh cao Toán 11 và đặt nền móng vững chắc cho cánh cửa Đại học với nội dung đề kiểm tra 1 tiết chương 1 hình học 11 trường thpt xuân giang – hà nội trong chuyên mục Sách giáo khoa Toán 11 trên nền tảng toán học! Bộ bài tập toán trung học phổ thông, được biên soạn chuyên sâu, bám sát chặt chẽ chương trình Toán lớp 11 và định hướng các kỳ thi quan trọng, cam kết tối ưu hóa toàn diện quá trình ôn luyện. Qua đó, học sinh không chỉ làm chủ kiến thức phức tạp mà còn rèn luyện tư duy giải quyết vấn đề, sẵn sàng cho các kỳ thi và chương trình đại học, nhờ phương pháp tiếp cận trực quan, logic và mang lại hiệu quả học tập vượt trội.
images-post/de-kiem-tra-1-tiet-chuong-1-hinh-hoc-11-truong-thpt-xuan-giang-ha-noi-1.jpgimages-post/de-kiem-tra-1-tiet-chuong-1-hinh-hoc-11-truong-thpt-xuan-giang-ha-noi-2.jpgimages-post/de-kiem-tra-1-tiet-chuong-1-hinh-hoc-11-truong-thpt-xuan-giang-ha-noi-3.jpgimages-post/de-kiem-tra-1-tiet-chuong-1-hinh-hoc-11-truong-thpt-xuan-giang-ha-noi-4.jpgimages-post/de-kiem-tra-1-tiet-chuong-1-hinh-hoc-11-truong-thpt-xuan-giang-ha-noi-5.jpgimages-post/de-kiem-tra-1-tiet-chuong-1-hinh-hoc-11-truong-thpt-xuan-giang-ha-noi-6.jpg

File đề kiểm tra 1 tiết chương 1 hình học 11 trường thpt xuân giang – hà nội PDF Chi Tiết

TÌM KIẾM THEO TỪ KHÓA