đề kiểm tra chung hình học 11 chương 1 năm 2018 – 2019 trường lê quý đôn – bình phước
Bạn đang xem tài liệu đề kiểm tra chung hình học 11 chương 1 năm 2018 – 2019 trường lê quý đôn – bình phước được biên soạn theo
học toán mới nhất. Tài liệu này hệ thống hóa kiến thức một cách khoa học, phù hợp cho mọi lộ trình học từ cơ bản đến nâng cao. Hãy khai thác triệt để nội dung để bứt phá điểm số và tự tin chinh phục mọi kỳ thi nhé!
## Phân tích Đề Kiểm Tra Chung Hình học 11 – Chương 1: Phép Dời Hình và Phép Đồng Dạng (Năm học 2018-2019, THPT Lê Quý Đôn, Bình Phước)
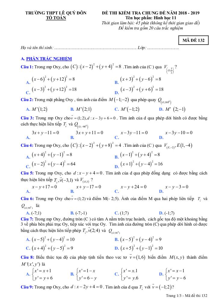
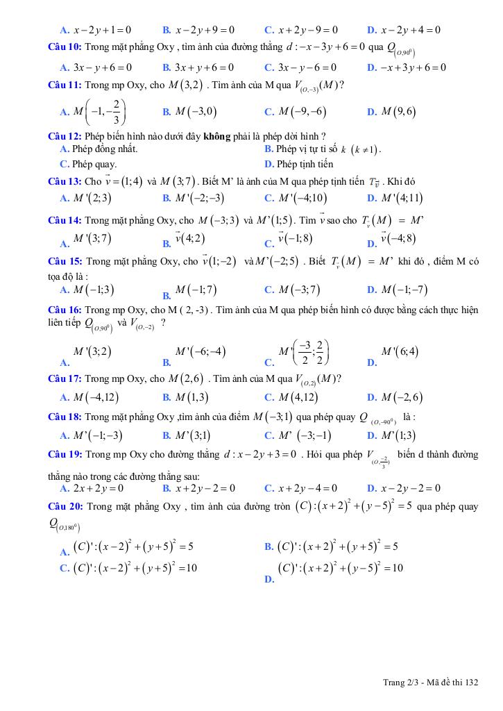
Bài viết này sẽ đi sâu vào phân tích cấu trúc, nội dung và độ khó của đề kiểm tra chung Hình học 11 chương 1, năm học 2018-2019, trường THPT Lê Quý Đôn, Bình Phước (mã đề 132). Đề thi bao gồm 20 câu trắc nghiệm và 3 câu tự luận, được thiết kế trong thời gian 45 phút, trải dài trên 3 trang. Nội dung chính tập trung vào kiến thức về phép dời hình và phép đồng dạng trong mặt phẳng. Điểm đặc biệt của đề thi là có kèm đáp án và lời giải chi tiết, hỗ trợ quá trình ôn tập và tự học của học sinh.
**1. Đánh giá chung về cấu trúc đề thi:**
Đề thi có sự kết hợp hợp lý giữa các dạng câu hỏi trắc nghiệm và tự luận. Câu hỏi trắc nghiệm giúp kiểm tra nhanh kiến thức lý thuyết và khả năng nhận biết các phép biến hình. Các câu tự luận đòi hỏi học sinh vận dụng kiến thức đã học để giải quyết các bài toán cụ thể, thể hiện khả năng phân tích và tính toán. Tỷ lệ câu hỏi và thời gian làm bài là phù hợp, tạo điều kiện để học sinh hoàn thành bài thi một cách tốt nhất.
**2. Phân tích nội dung chi tiết:**
Đề thi tập trung vào các nội dung cốt lõi của chương trình học, bao gồm:
* **Phép dời hình:** Nhận biết các phép dời hình (phép đồng nhất, phép tịnh tiến, phép quay). Xác định ảnh của một điểm, một đường thẳng, một đường tròn qua phép dời hình.
* **Phép đồng dạng:** Hiểu khái niệm phép đồng dạng, hệ số đồng dạng. Xác định ảnh của một hình qua phép đồng dạng.
* **Kết hợp các phép biến hình:** Thực hiện liên tiếp các phép dời hình và phép đồng dạng để tìm ảnh của một hình.
**3. Ví dụ minh họa các câu hỏi:**
Dưới đây là phân tích chi tiết một số câu hỏi trích dẫn từ đề thi:
* **Câu 1 (Tự luận):** "Trong mặt phẳng Oxy, đường tròn (C) có tâm A nằm trên trục hoành, cách gốc tọa độ một khoảng bằng 3 về phía bên phải trục Oy, tiếp xúc với trục Oy. Tìm ảnh của đường tròn (C) qua phép dời hình có được bằng cách thực hiện liên tiếp phép Tv(2;4) và Q(O;90)."
* **Nhận xét:** Đây là một câu hỏi điển hình về việc kết hợp các phép dời hình. Học sinh cần xác định được tọa độ của tâm đường tròn (C), sau đó áp dụng phép tịnh tiến Tv(2;4) và phép quay Q(O;90) để tìm tọa độ ảnh của tâm đường tròn. Cuối cùng, xác định bán kính của đường tròn ảnh (bán kính không đổi qua phép dời hình) để viết phương trình đường tròn ảnh.
* **Độ khó:** Trung bình – Khá. Đòi hỏi học sinh nắm vững kiến thức về phép tịnh tiến, phép quay và phương trình đường tròn.
* **Câu 2 (Trắc nghiệm):** "Phép biến hình nào dưới đây không phải là phép dời hình?
A. Phép đồng nhất. B. Phép vị tự tỉ số k (k khác 1).
C. Phép quay. D. Phép tịnh tiến."
* **Nhận xét:** Câu hỏi này kiểm tra kiến thức lý thuyết về phép dời hình. Học sinh cần hiểu rõ định nghĩa của phép dời hình và các tính chất của nó.
* **Độ khó:** Dễ.
* **Câu 3 (Tự luận):** "Tìm ảnh của đường tròn (C): x^2 + y^2 – 6x + 4y – 1 = 0 qua phép đồng dạng có được từ việc thực hiện liên tiếp phép tịnh tiến theo véc tơ v(3;-1) và phép V(E;1/2) biết E(1;-1)."
* **Nhận xét:** Câu hỏi này yêu cầu học sinh vận dụng kiến thức về phép đồng dạng, bao gồm phép tịnh tiến và phép vị tự. Học sinh cần tìm tâm và bán kính của đường tròn (C), sau đó áp dụng phép tịnh tiến và phép vị tự để tìm tâm và bán kính của đường tròn ảnh.
* **Độ khó:** Khá – Nâng cao. Đòi hỏi học sinh nắm vững kiến thức về phép tịnh tiến, phép vị tự và phương trình đường tròn.
**4. Lời khuyên cho học sinh:**
* Nắm vững định nghĩa, tính chất của các phép dời hình và phép đồng dạng.
* Luyện tập thành thạo các bài toán về việc tìm ảnh của một điểm, một đường thẳng, một đường tròn qua các phép biến hình.
* Rèn luyện kỹ năng kết hợp các phép biến hình để giải quyết các bài toán phức tạp.
* Sử dụng đáp án và lời giải chi tiết để tự kiểm tra và rút kinh nghiệm.
**5. Tài liệu tham khảo:**
* Sách giáo khoa Hình học 11.
* Sách bài tập Hình học 11.
* Các đề thi thử Hình học 11.
Hy vọng bài phân tích này sẽ giúp học sinh hiểu rõ hơn về đề kiểm tra và có thêm động lực để ôn tập và đạt kết quả tốt trong môn Hình học.
Chinh phục đỉnh cao Toán 11 và đặt nền móng vững chắc cho cánh cửa Đại học với nội dung
đề kiểm tra chung hình học 11 chương 1 năm 2018 – 2019 trường lê quý đôn – bình phước trong chuyên mục
toán 11 trên nền tảng
học toán! Bộ bài tập
toán thpt, được biên soạn chuyên sâu, bám sát chặt chẽ chương trình Toán lớp 11 và định hướng các kỳ thi quan trọng, cam kết tối ưu hóa toàn diện quá trình ôn luyện. Qua đó, học sinh không chỉ làm chủ kiến thức phức tạp mà còn rèn luyện tư duy giải quyết vấn đề, sẵn sàng cho các kỳ thi và chương trình đại học, nhờ phương pháp tiếp cận trực quan, logic và mang lại hiệu quả học tập vượt trội.





File đề kiểm tra chung hình học 11 chương 1 năm 2018 – 2019 trường lê quý đôn – bình phước PDF Chi Tiết