Logo Header
  1. Môn Toán
  2. đề kiểm tra chương 1 hình học 11 cơ bản trường thpt hải lăng – quảng trị

đề kiểm tra chương 1 hình học 11 cơ bản trường thpt hải lăng – quảng trị

Bạn đang xem tài liệu đề kiểm tra chương 1 hình học 11 cơ bản trường thpt hải lăng – quảng trị được biên soạn theo soạn toán mới nhất. Tài liệu này hệ thống hóa kiến thức một cách khoa học, phù hợp cho mọi lộ trình học từ cơ bản đến nâng cao. Hãy khai thác triệt để nội dung để bứt phá điểm số và tự tin chinh phục mọi kỳ thi nhé!
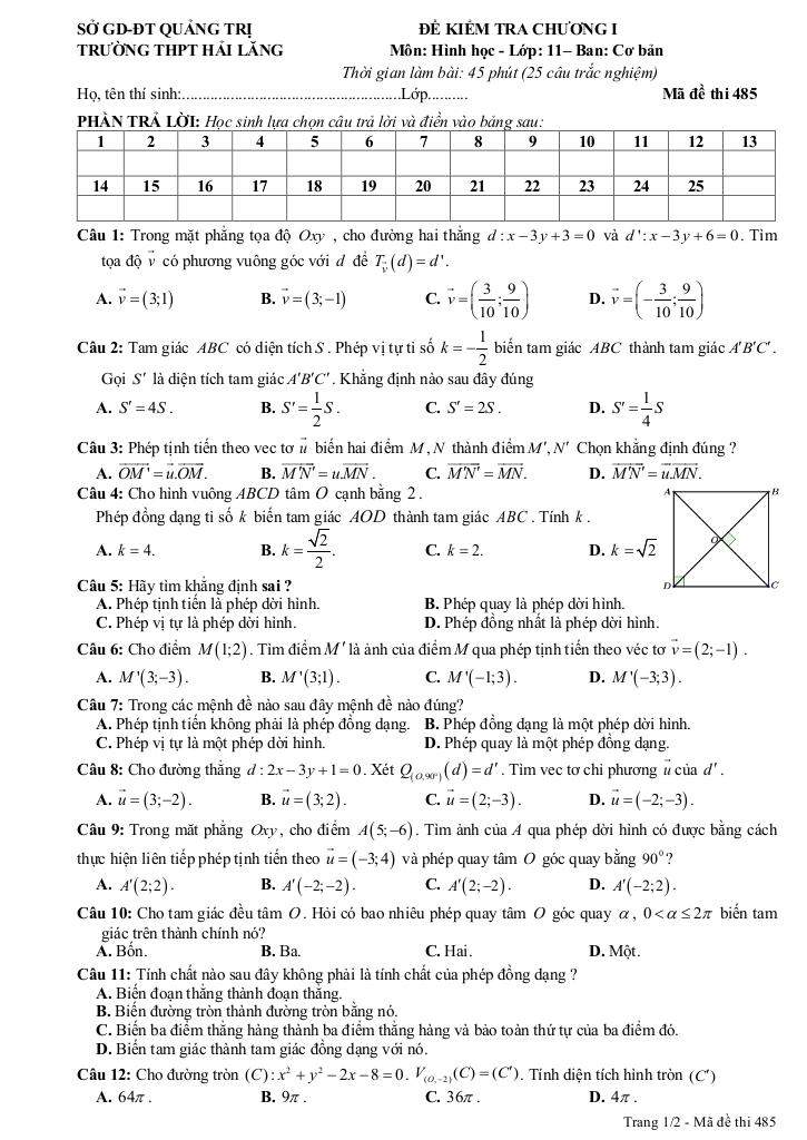
## Phân tích Đề Kiểm Tra Chương 1 Hình Học 11 – Phép Biến Hình: Đánh Giá và Nhận Xét Chuyên Sâu Bài viết này tập trung phân tích đề kiểm tra chương 1 môn Hình học 11, thuộc chương trình cơ bản của trường THPT Hải Lăng, Quảng Trị. Đề thi có cấu trúc gồm 4 mã đề, mỗi đề 25 câu trắc nghiệm, với thời gian làm bài 45 phút, tập trung vào nội dung phép biến hình, cụ thể là phép dời hình và phép đồng dạng trong mặt phẳng. Đề thi được cung cấp kèm đáp án, hỗ trợ quá trình tự học và ôn tập cho học sinh. **Đánh giá chung về đề thi:** Đề thi có cấu trúc rõ ràng, bám sát nội dung trọng tâm của chương học. Các câu hỏi trắc nghiệm được xây dựng ở mức độ nhận biết, thông hiểu và vận dụng, giúp đánh giá khả năng nắm vững kiến thức lý thuyết và kỹ năng giải quyết bài toán cơ bản của học sinh. Việc có nhiều mã đề giúp tăng tính khách quan và giảm thiểu tình trạng gian lận trong quá trình kiểm tra. **Phân tích chi tiết một số câu hỏi trích dẫn:** * **Câu hỏi 1: "Trong các mệnh đề nào sau đây mệnh đề nào đúng?"** Câu hỏi này kiểm tra sự hiểu biết cơ bản về bản chất của các phép biến hình. Đáp án đúng là **A. Phép quay là một phép đồng dạng**. * **Phân tích:** Phép quay bảo toàn khoảng cách giữa các điểm, nhưng có thể thay đổi kích thước của hình. Do đó, nó là một phép đồng dạng. Các lựa chọn khác sai vì: * Phép vị tự không phải là phép dời hình vì nó có thể thay đổi kích thước của hình. * Phép đồng dạng không phải là phép dời hình vì nó có thể thay đổi kích thước của hình. * Phép tịnh tiến là một trường hợp đặc biệt của phép đồng dạng (với tỉ số k = 1). * **Câu hỏi 2: "Tính chất nào sau đây không phải là tính chất của phép đồng dạng?"** Đáp án đúng là **B. Biến đường tròn thành đường tròn bằng nó**. * **Phân tích:** Phép đồng dạng biến đường tròn thành một đường tròn *đồng dạng* với nó, tức là có cùng tỉ số giữa bán kính, chứ không nhất thiết bằng nhau. Các tính chất còn lại đều là tính chất của phép đồng dạng: * Biến tam giác thành tam giác đồng dạng với nó là định nghĩa của phép đồng dạng. * Biến ba điểm thẳng hàng thành ba điểm thẳng hàng và bảo toàn thứ tự là tính chất quan trọng của phép đồng dạng. * Biến đoạn thẳng thành đoạn thẳng (có độ dài tỉ lệ) là tính chất cơ bản của phép đồng dạng. * **Câu hỏi 3: "Tìm mệnh đề sai trong các mệnh đề sau:"** Đáp án đúng là **C. Phép tịnh tiến biến đường thẳng thành đường thẳng song song với đường thẳng đã cho**. * **Phân tích:** Phép tịnh tiến biến đường thẳng thành một đường thẳng *song song hoặc trùng* với đường thẳng đã cho, tùy thuộc vào vectơ tịnh tiến. Nếu vectơ tịnh tiến song song với đường thẳng, thì đường thẳng mới song song với đường thẳng cũ. Nếu vectơ tịnh tiến nằm trên đường thẳng, thì đường thẳng mới trùng với đường thẳng cũ. Các mệnh đề còn lại đều đúng: * Phép tịnh tiến bảo toàn quan hệ thẳng hàng. * Phép tịnh tiến biến tam giác thành tam giác bằng tam giác đã cho (tính chất bảo toàn khoảng cách). * Phép tịnh tiến bảo toàn khoảng cách giữa hai điểm bất kì. **Nhận xét:** Các câu hỏi trích dẫn cho thấy đề thi tập trung vào việc kiểm tra sự hiểu biết về định nghĩa, tính chất của các phép biến hình, đặc biệt là phép dời hình và phép đồng dạng. Các câu hỏi được trình bày rõ ràng, dễ hiểu, tuy nhiên đòi hỏi học sinh phải nắm vững kiến thức lý thuyết và có khả năng phân tích, suy luận logic để đưa ra đáp án chính xác. **Tài liệu hỗ trợ:** Việc cung cấp file WORD cho giáo viên là một điểm cộng, giúp giáo viên dễ dàng chỉnh sửa và sử dụng đề thi trong quá trình giảng dạy và kiểm tra. **Kết luận:** Đề kiểm tra chương 1 Hình học 11 trường THPT Hải Lăng – Quảng Trị là một đề thi chất lượng, bám sát chương trình và có khả năng đánh giá tốt kiến thức của học sinh về phép biến hình. Đề thi này có thể được sử dụng làm tài liệu tham khảo hữu ích cho học sinh và giáo viên trong quá trình ôn tập và giảng dạy.
Chinh phục đỉnh cao Toán 11 và đặt nền móng vững chắc cho cánh cửa Đại học với nội dung đề kiểm tra chương 1 hình học 11 cơ bản trường thpt hải lăng – quảng trị trong chuyên mục Ôn tập Toán lớp 11 trên nền tảng soạn toán! Bộ bài tập toán trung học phổ thông, được biên soạn chuyên sâu, bám sát chặt chẽ chương trình Toán lớp 11 và định hướng các kỳ thi quan trọng, cam kết tối ưu hóa toàn diện quá trình ôn luyện. Qua đó, học sinh không chỉ làm chủ kiến thức phức tạp mà còn rèn luyện tư duy giải quyết vấn đề, sẵn sàng cho các kỳ thi và chương trình đại học, nhờ phương pháp tiếp cận trực quan, logic và mang lại hiệu quả học tập vượt trội.
images-post/de-kiem-tra-chuong-1-hinh-hoc-11-co-ban-truong-thpt-hai-lang-quang-tri-01.jpgimages-post/de-kiem-tra-chuong-1-hinh-hoc-11-co-ban-truong-thpt-hai-lang-quang-tri-02.jpgimages-post/de-kiem-tra-chuong-1-hinh-hoc-11-co-ban-truong-thpt-hai-lang-quang-tri-03.jpgimages-post/de-kiem-tra-chuong-1-hinh-hoc-11-co-ban-truong-thpt-hai-lang-quang-tri-04.jpgimages-post/de-kiem-tra-chuong-1-hinh-hoc-11-co-ban-truong-thpt-hai-lang-quang-tri-05.jpgimages-post/de-kiem-tra-chuong-1-hinh-hoc-11-co-ban-truong-thpt-hai-lang-quang-tri-06.jpgimages-post/de-kiem-tra-chuong-1-hinh-hoc-11-co-ban-truong-thpt-hai-lang-quang-tri-07.jpgimages-post/de-kiem-tra-chuong-1-hinh-hoc-11-co-ban-truong-thpt-hai-lang-quang-tri-08.jpgimages-post/de-kiem-tra-chuong-1-hinh-hoc-11-co-ban-truong-thpt-hai-lang-quang-tri-09.jpgimages-post/de-kiem-tra-chuong-1-hinh-hoc-11-co-ban-truong-thpt-hai-lang-quang-tri-10.jpg

File đề kiểm tra chương 1 hình học 11 cơ bản trường thpt hải lăng – quảng trị PDF Chi Tiết

TÌM KIẾM THEO TỪ KHÓA